Трех- и четырехволновое рассеяние света
МОСКОВСКИЙ ГОСУДАРСТВЕННЫЙ УНИВЕРСИТЕТ
им. М.В.ЛОМОНОСОВА
ФИЗИЧЕСКИЙ ФАКУЛЬТЕТ
ТРЕХ- И ЧЕТЫРЕХВОЛНОВОЕ РАССЕЯНИЕ СВЕТА
НА ПОЛЯРИТОНАХ В КРИСТАЛЛАХ
НИОБАТА ЛИТИЯ С ПРИМЕСЯМИ.
реферат выпускника физического
факультета Лосевского П.С.
Научный руководитель
кандидат физ.-мат. наук,
ст. н. с. Китаева Г. Х.
МОСКВА - 1997
Содержание.
Введение. | 3 |
Глава 1. Рассеяние света на равновесных поляритонах. §1 Рассеяние света в однородных кристаллах. 1.1 Дисперсионная кривая кристалла. 1.2. Интенсивность СПР и симметрия кристалла LiNbO3. §2. Рассеяние света на поляритонах в условиях нелинейной дифракции. §3. Экспериментальная установка для наблюдения СПР. | 5 5 5 7 9 11 |
Глава 2. Исследование характеристик однородных и слоистых кристаллов ниобата лития с различным содержанием примесей методом спектроскопии СПР. §1. Образцы кристаллов LiNbO3. §2 Показатели преломления кристаллов в видимом и инфракрасном диапазоне спектра излучения. 2.1 Дисперсия в видимой и ближней ИК области спектра. 2.2 Дисперсия в поляритонной области спектра. §3. СПР в моно- и полидоменных кристаллах. §4. Толщина слоя в полидоменном LiNbO3. | 12 12 13 13 19 21 24 |
Глава 3. Четырёхфотонное рассеяние света на поляритонах. §1. Обзор эффектов в нецентросимметричных средах. §2. Прямое четырёхфотонное взаимодействие. §3. Каскадные трехволновые процессы. §4. Экспериментальная установка для наблюдения четырехфотонного рассеяния света на поляритонах. | 26 26 27 29 31 |
Глава 4. Исследование характеристик кристаллов методом активной спектроскопии. | 34 |
Заключение. | 44 |
Литература. | 45 |
Введение.
Задачей данной работы является исследование рассеяния света на равновесных и возбуждаемых поляритонных состояниях в кристаллах. К таким типам рассеяния относятся спонтанное параметрическое рассеяние (СПР) и некоторые разновидности четырехфотонного рассеяния. Конечной целью является разработка методики определения оптических характеристик кристаллов с различной структурой методом активной спектроскопии. Образцами для исследования служат кристаллы ниобата лития. В свою очередь, среди них выделяются три группы: пространственно-однородные кристаллы, но с различным содержанием примеси (используются кристаллы с примесью магния и неодима), пространственно-неоднородные монодоменные среды и пространственно-неоднородные полидоменные среды с регулярными слоями роста, которые могут использоваться для квазисинхронного преобразования лазерного излучения.
Для изучения этих трех групп кристаллов используется спонтанное параметрическое рассеяние (СПР) и рассеяние света на поляритонах (РСП) (1). C помощью этого метода можно обнаружить явления, не проявляющиеся в спектрах комбинационного рассеяния света на фононах. Это происходит в тех достаточно распространенных случаях, когда частоты фононов остаются практически неизменными, а меняются только силы осцилляторов или константы затухания фононов. При этом существенным образом изменяется и закон дисперсии поляритонных состояний. В данной работе получены спектры спонтанного рассеяния однородных кристаллов ниобата лития с различной концентрацией примеси магния, измерены показатели преломления в видимой и инфракрасной области спектра. Затем были исследованы кристаллы со слоями роста, некоторые из которых имеют регулярную доменную структуру. В полидоменных кристаллах параметрическое рассеяние при наличии нелинейной дифракции несет в себе информацию не только о дисперсионных характеристиках среды (зависимости средних значений показателей преломления и поглощения, квадратичной восприимчивости как от частот так и от поляризации накачки, сигнальной и поляритонной волн); но и о характеристиках периодической доменной структуры (пространственного распределения оптических свойств).
Также рассматриваются два процесса активной спектроскопии: прямые четырехфотонные процессы и каскадные трехфотонные процессы, связанные с нелинейными восприимчивостями χ(3) и χ(2) соответственно. Первые работы в данной области были начаты еще в конце 60-х годов (2). Эта часть исследования представляет наибольший интерес, так как спектроскопия неравновесных состояний способна дать значительно больше информации в отличие от других методов, которые имеют гораздо меньшую величину полезного сигнала на выходе из исследуемого объекта. Исследованы особенности четырехволновых процессов рассеяния света на поляритонах для создания оптимальной спектроскопической схемы, позволяющей проводить измерения дисперсии поляритонов. Далее результаты четырехволновой методики сравниваются с дисперсией поляритонных состояний, полученной по спектрам трехволнового рассеяния света на поляритонах.
Глава 1. Рассеяние света на равновесных поляритонах.
§1 Рассеяние света в однородных кристаллах.
Параметрическое рассеяние света представляет собой процесс спонтанного распада фотонов накачки (ωL, kL) в кристалле с отличной от нуля квадратичной восприимчивостью на сигнальный (ωS, kS) и холостой фотоны (ωP, kP), либо фотон и поляритон. Волновые векторы и частоты при стоксовом рассеянии удовлетворяют следующим условиям :
, (1)
которые являются законами сохранения импульса и энергии. Частоты собственных механических колебаний кристаллической решётки имеют тот же порядок колебаний, что и частоты инфракрасных электромагнитных волн: от 1011 до 1013 Гц (10-3000 см-1 ). При определенных условиях возможно прямое взаимодействие оптических колебаний решетки с инфракрасными электромагнитными волнами, т.е. существование поляритонных волн.
1.1 Дисперсионная кривая кристалла.
Основные черты частотно-углового спектра СПР определяются дисперсионной кривой ω(k) кристалла. Дисперсионное соотношение кубического (неанизотропного) кристалла в гармоническом приближении в однорезонансном случае имеет вид:
, (2)
где ε
- диэлектрическая проницаемость среды на частотах много больших фундаментальных частот кристаллической решётки, но много меньших частот электронных переходов, f=ε0-ε
- сила осциллятора, ω0 - фундаментальная частота оптического колебания решетки. На рис.1 приведена дисперсионная кривая соответствующая уравнению (2). Если бы поперечные механические колебания и электромагнитные волны были независимы, то первые описывались

Рис.1 Дисперсия кубического кристалла.

Рис.2 Дисперсия анизотропного кристалла.
бы прямыми .ω(k)=ωTO и ω(k)=ωLO, а вторые - прямой ω=
. Запаздывающее взаимодействие между этими колебаниями в кристалле приводит к поляритонным возбуждениям, имеющим смешанную электромеханическую природу. На частотах, больших ωLO находиться верхняя поляритонная ветвь. На частотах между ωTO и ωLO находится запрещенная зона, где среда не прозрачна для объемных волн.
В анизотропных одноосных кристаллах частотам поперечных и продольных колебаний ωТ и ωL соответствуют частоты колебаний, смещения которых параллельны (ωеТ; ωеL) и перпендикулярны (ωоТ; ωоL) оптической оси. На рис.2 изображены дисперсионные кривые, соответствующие случаю, когда вектор
перпендикулярен главной оптической оси кристалла.
1.2. Интенсивность СПР и симметрия кристалла LiNbO3.
Впервые вопрос об интенсивности СПР рассматривался в работе (3). Когда поляритонная частота ωp далека от частоты фонона, достаточно рассматривать квадратичную нелинейную восприимчивость χ(2). Будем рассматривать накачку, как плоскую монохроматическую волну с интенсивностью SL и предположим, что углы рассеяния θp,s на частотах ωp, ωs малы, так что
, где А - сечение рассеивающего объёма V, l - длина кристалла. Тогда мощность, рассеиваемая на частоте ωs в направлении
в единичный спектральный и угловой интервалы, равна(4):
(3)
где
- свертка тензора χ(2) и ортов поляризации соответствующих волн, ns,p,L - показатели преломления на соответствующих частотах, а
- форм-фактор, описывающий частотно-угловую структуру СПР, когда среда прозрачна на всех трёх частотах. В последнем выражении введено обозначение
,.где
- отстройка волнового вектора поляритона от точного синхронизма.
Тензор квадратичной восприимчивости χ(2) однородных кристаллов ниобата лития, использовавшихся в данной работе, имеет вид (5):
, (4)
причём χxxy=-2χyyy, χyxx=-χyyy, χyyz=χxxz, χzyy=χzxx. Кристаллофизические оси ориентированы относительно элементов симметрии следующим образом: ось Z совпадает с оптической осью кристалла, осью симметрии третьего порядка, ось X перпендикулярна плоскости зеркальной симметрии m, а ось Y лежит в этой плоскости. Геометрии рассеяния, которая была реализована в эксперименте, соответствует схематическая запись X(Z,Y)X+ΔZ. Здесь последовательность индексов задаёт направления векторов
соответственно. Последнее выражение X+ΔZ определяет плоскость рассеяния, которая, в свою очередь, задается ориентацией входной щели спектрографа (в данном случае плоскость XZ). В соответствии с видом тензора нелинейной поляризуемости (4) константа нелинейного взаимодействия равна:
(5)
Это означает, что регистрировалось излучение, рассеянное на обыкновенных поляритонах.
§2. Рассеяние света на поляритонах в условиях нелинейной дифракции.
Изменение нелинейной восприимчивости в пространстве оказывает воздействие на протекание параметрического процесса в кристалле. Периодическая модуляция нелинейной восприимчивости влияет на условия пространственного синхронизма(6):
, (6)
где
- вектор обратной решётки, связанный со слоями-доменами, d - толщина слоя,
- единичный вектор, перпендикулярный слоям, m - целое число. Условия временного синхронизма при этом не меняются. Эффективная нелинейная восприимчивость (5) может быть разложена в виде(χeff(2)≡χ):
(7)
Амплитуды пространственных гармоник квадратичной восприимчивости имеют вид:
(8)
Тогда поляризация на частоте рассеянного излучения выглядит следующим образом:
(9)
Отсюда видно, что интенсивность рассеянного излучения в направлении, соответствующем m-ому порядку дифракции, пропорциональна Фурье-амплитуде χm.
Нелинейная дифракция позволяет получить новое уравнение пространственного синхронизма при генерации второй гармоники. В работе (7) исследовали генерацию второй гармоники (ВГ) в слоисто-неоднородном кристалле ниобата бария-натрия. Была прослежена температурная зависимость интенсивности ВГ при нелинейной дифракции света в окрестности сегнетоэлектрического фазового перехода. Выше температуры этого перехода доменов нет, поэтому интенсивность ВГ резко падает, не опускаясь до нуля, так как существует остаточная поляризованность слоёв.
В работе (6) получены спектры нелинейной дифракции в полидоменном кристалле ниобата бария-натрия при параметрическом рассеянии света. При этом вектор нормали слоёв
был перпендикулярен вектору накачки
. Наблюдалось рассеяние в первом и втором порядке дифракции, смещённого по углу относительно нулевого порядка дифракции. По полученным спектрам определены отклонение направления роста слоёв от оптической оси кристалла и период регулярной доменной структуры .
В работе (8) получены одновременно в одном кристалле вторая и третья гармоники излучения 1,064 мкм. При генерации второй гармоники в уравнение волновых векторов входил волновой вектор нелинейной дифракции первого порядка (m=1), а при генерации третьей гармоники - третьего порядка (m=3). Кристалл состоял из участков с периодическими доменами различной толщины. В каждом процессе участвовала область с доменами, толщина которых удовлетворяла уравнению пространственного синхронизма.
§3. Экспериментальная установка для наблюдения СПР.
Основными элементами экспериментальной установки (рис.3) для получения спектров спонтанного параметрического рассеяния на поляритонах (ПР-спектрограф) являются: аргоновый лазер (1) с длиной волны λL=488 нм, нелинейный кристалл (6), две призмы Глана (поляризатор (5) и анализатор (6)), трёхлинзовая оптическая система (8) для получения углового спектра и спектрограф (10) для получения частотного спектра.
Излучение лазера после направляющих зеркал (2) проходит через диафрагмы (3); служащие для контроля положения накачки. Далее поляризатор (5) выделяет поляризацию накачки, параллельную щели спектрографа. Анализатор (6) пропускает сигнальную волну с поляризацией, перпендикулярной выделенной поляризации накачки. Интерференционный фильтр (9) задерживает оставшееся излучение накачки.

Рис.3. Оптическая схема для наблюдения параметрического рассеяния.
1. Ar+лазер ; 2. Зеркало ; 3. Диафрагма ; 4. Длиннофокусная линза ; 5. Призма Глана (поляризатор) ; 6. Образец (кристалл) ; 7. Призма Глана (анализатор) ; 8. Трехлинзовая система ; 9 Интерференционный фильтр ; 10. Спектрограф.
Глава 2. Исследование характеристик однородных и слоистых кристаллов ниобата лития с различным содержанием примесей методом спектроскопии СПР.
§1. Образцы кристаллов LiNbO3.
Исследовались кристаллы ниобата лития с различной концентрацией примесей (Табл.1). Кристалл ниобата лития - одноосный отрицательный в видимой области спектра, имеющий большое двулучепреломление Δn=ne-no~-0.1. Концентрация примесей (Nd и Mg) была измерена с помощью рентгеновского микроанализа. Однородные кристаллы No.4,5,6 выращены вдоль оптической оси Z.
Слоистые кристаллы No.2,3 имели форму параллелепипеда. Примесь неодима практически не влияет на значения показателей преломления. Слои параллельны грани
. Оптическая ось расположена в плоскости ZY под углом 57о к нормали слоев. Кристаллы ниобата лития с вращательными слоями роста и закрепленными на них доменами выращивают путём вытягивания из расплава. В образцах ниобата лития с периодической доменной структурой варьировалась концентрация магния от слоя к слою, соответственно от слоя к слою менялся показатель преломления на малую величину, Δn~10-4 (10). Для выращивания монодоменных кристаллов, которые имеют слои с однонаправленным вектором спонтанной поляризации, прикладывают небольшое напряжение к образцу.
ТАБЛИЦА 1.
Кристалл LiNbO3 No. | Концентрация магния. NMg ,масс.% | Концентрация неодима. NNd ,масс.% |
1 | 0 | 0 |
2 | 0.33 | 0.31 |
3 | 0.41 | 0.32 |
4 | 0.68 | 0 |
5 | 0.79 | 0 |
6 | 1.04 | 0 |
§2 Показатели преломления кристаллов в видимом и инфракрасном
диапазоне спектра излучения.
2.1 Дисперсия в видимой и ближней ИК области спектра.
Были измерены дисперсионные характеристики кристаллов Nd:Mg:LiNbO3 (No.2,3) в видимом и ближнем ИК диапазоне методом наименьшего отклонения луча, используя гониометр-спектрометр ГС-5. Для этого из части кристалла вырезалась призма. На частоте 1.06 мкм для визуализации излучения использовался прибор ночного видения. Абсолютная ошибка измерения составляла в среднем
0.0002. Значения no и ne являются средними по области кристалла, значительно превышающей период модуляции линейной и нелинейной восприимчивостей. Результаты измерения показателей преломления кристаллов No.5,6 представлены в работе (10). Значения обыкновенного и необыкновенного показателей преломления в кристалле ниобата лития без примесей No.1 получены в статье (11). Сравнение полученных данных и результатов работ (10,11) позволяет судить о влиянии примеси на дисперсионные характеристики. На Рис.4,5 приведены зависимости изменения no и ne от концентрации примеси магния на длине волны 546 нм и 1064 нм. Видно, что зависимости имеют одинаковый характер в различных областях спектра, причем наличие примеси неодима в кристаллах No.2,3 не влияет заметно на ход этих кривых.
Дисперсионные характеристики no(λ) и ne(λ) рассматриваемых кристаллов могут быть описаны формулой Селмейера:
, (10)
где A,B,C,D - коэффициенты Селмейера. Значения коэффициентов Селмейера для кристаллов No 1,2,3,5,6 даны в таблице 2, при этом длина волны используется в нанометрах. С использованием этих коэффициентов были построены дисперсионные кривые, а затем посчитано Δno(λ) и Δne(λ) - отличие дисперсий кристаллов с примесями от дисперсий беспримесного кристалла (рис.6,7), также на графики нанесены экспериментальные точки. Можно заметить, что поведение дисперсии необыкновенного показателя преломления полидоменного кристалла No.2 сильно отличается от хода Δne(λ) монодоменных кристаллов. Особенности в спектральном поведении показателя преломления полидоменного кристалла могут быть объяснены влиянием зарядов, находящихся на стенках доменов.
Таблица 2.
Коэффициенты Селмейера кристаллов ниобата лития
с различной концентрацией примеси магния.
Кристалл No. | Поляризация | A | 10-4B | 10-4C | 108D |
1 | o e | 4.9025 4.5808 | 11.8522 9.9699 | 4.6746 4.3743 | 2.5609 2.1225 |
2 | o e | 4.911 4.5999 | 11.3803 8.3609 | 5.0317 6.2881 | 3.0712 4.69 |
3 | o e | 4.9001 4.5581 | 11.5737 9.7078 | 4.8182 4.4267 | 3.0052 2.3873 |
5 | o e | 4.9007 4.5574 | 11.2695 9.2166 | 4.9275 4.7665 | 3.9162 3.1645 |
6 | o e | 4.8853 4.5667 | 11.0338 8.7097 | 5.0611 5.3125 | 3.7467 3.7893 |

Рис.4. Зависимость изменения показателей преломления в кристаллах ниобата лития от
концентрации примеси магния на длине волны 546 нм.

Рис.5. Зависимость изменения показателей преломления в кристаллах ниобата лития от
концентрации примеси магния на длине волны 1064 нм.

Рис.6. Кривые отличия дисперсий необыкновенного показателя преломления кристаллов с примесью магния от дисперсий беспримесного кристалла и экспериментальные точки для кристаллов No 2....n,
No 3....l,
No 5....s,
No 6....t.

Рис.7. Кривые отличия дисперсий обыкновенного показателя преломления кристаллов с примесью магния от дисперсий беспримесного кристалла и экспериментальные точки для кристаллов No 2....n,
No 3....l,
No 5....s,
No 6....t.
2.2 Дисперсия в поляритонной области спектра.
Дисперсионные характеристики кристаллов в среднем ИК диапазоне мы получили используя спонтанное параметрическое рассеяние. Этот метод позволяет измерить мнимую и действительную часть диэлектрической проницаемости в области спектра, где поглощение кристалла велико: на частотах фононного поляритона и на верхней поляритонной ветви. В отличие от прямого измерения мы получаем информацию об ИК спектре используя дисперсионные характеристики в видимой области спектра. При процессе СПР частоты и волновые вектора взаимодействующих волн должны удовлетворять условиям частотного и пространственного синхронизма (1). Если мы знаем дисперсию кристалла на частотах накачки и сигнальной волны, то мы можем получить дисперсию на поляритонных частотах, используя уравнения (1). На установке, изображенной на рис.3, получены двумерные частотно-угловые распределения интенсивности рассеянного излучения кристаллов No.2,3,4,5. По этим спектрам определена дисперсия обыкновенного показателя преломления кристаллов на частотах 1.7-10 мкм и 17,5-20,8 мкм. На нижней поляритонной ветви указана ошибка, которая появляется при измерении частоты и угла рассеяния сигнальной волны. На верхней поляритонной ветви ошибка не превышает размера символа, обозначающего экспериментальную точку. Таким образом погрешность измерения показателей преломления спектра методом СПР не позволяет нам заметить влияние примеси на дисперсию кристаллов в ИК области. Следует заметить, что только в кристалле No.5 использовалась геометрия рассеяния, в которой “эллипс” рассеяния на верхней поляритонной ветви достигал длиноволной области видимой части спектра. Возможно, если рассмотреть все кристаллы в той геометрии рассеяния, в которой можно получить дисперсию верхней поляритонной ветви на частотах поляритона больших 3000 см-1, то мы сможем обнаружить отличие в дисперсионных характеристиках кристаллов на соответствующих частотах. Но вблизи фононной частоты методом СПР это сделать невозможно, так как дисперсия здесь имеет большую крутизну.

Рис.8. Поляритонная дисперсия кристаллов: No.2........n,
No.3........s,
No.4........l,
No.5........Ћ.
§3. СПР в моно- и полидоменных кристаллах.
В слоистых кристаллах может наблюдаться линейная дифракция света. Линейная дифракция может происходить на вариациях диэлектрической проницаемости, то есть изменении показателя преломления кристалла. Волновой вектор дифрагированного луча должен лежать на той же поверхности Френеля, что и падающий луч, так как линейная дифракция происходит без изменения частоты излучения. При параметрическом рассеянии дифрагировать может любая из волн участвующих во взаимодействии (накачка, рассеянная, поляритон), если её волновой вектор в кристалле удовлетворяет предыдущему условию. На рис.9,10 даны два спектра для монодоменного No.3 и полидоменного No.2 кристаллов соответственно с одинаковой толщиной слоев и в одинаковой геометрии (вне кристалла угол между накачкой и нормалью к слоям 9,6о). Особенностью рассеяния в области частот от 4000 см-1 до 900 см-1 является падение интенсивности до нуля в окрестности 1700 см-1. Это явление объясняется интерференцией электронной и решёточной частей восприимчивости (12).
В случае монодоменного кристалла наблюдается несколько дополнительных “эллипсов” в красной области спектра. Это явление нельзя объяснить, как линейную дифракцию, так как происходит изменение частоты по сравнению с основным “эллипсом”. А внутри кристалла вектор
, нормальный слоям, почти параллелен накачке, поэтому он не может перевести волновой вектор
на ту же поверхность Френеля. Аналогичная ситуация для сигнальной волны, так как она рассеивается на небольшой угол. Возникновение дополнительных “эллипсов” на спектре (рис.9) можно объяснить неоднородностью кристалла или отклонением его состава от состава, соответствующего химической формуле. В ниобате лития отличие, как правило, заключается в несоответствии числа атомов лития в элементарной ячейке числу, определяемому химической формулой. Этот эффект можно тоже отнести к пространственной неоднородности кристалла. Судя по спектру, можно сказать, что в кристалле существует четыре области с различным собственным составом. Согласно (13) в видимом диапазоне спектра обыкновенный показатель преломления не зависит от стехиометрии кристалла. Однако в инфракрасном диапазоне эта зависимость достаточно сильная. Можно определить показатель преломления поляритона по перестроечным кривым для областей кристалла различного состава. Например, на частоте 2700 см-1 он имеет значения np=2.133; 2.143; 2.154; 2.167. Это соответствует максимальному разбросу коэффициента стехиометрии на 0.01.
В полидоменных кристаллах дополнительно к вариациям показателя преломления варьируется нелинейная восприимчивость второго порядка. Но она может изменятся гораздо сильнее линейной характеристики, в нашем образце χ(2) меняется от - |χ(2) | до + |χ(2) | от слоя к слою. Нелинейная дифракция происходит на вариациях этой нелинейной восприимчивости. Соседние домены имеют антипараллельную поляризацию, причём вектора поляризации ориентированы вдоль оптической оси кристалла. На рис.10 изображен спектр полидоменного кристалла ниобата лития No.2. Кроме основного “эллипса” верхней поляритонной ветви, видна часть “эллипса” рассеяния в первый порядок нелинейной дифракции. Рассеяние в другие дифракционные максимумы не наблюдается, так как для них не выполняется условие пространственного синхронизма. Также на спектре, кроме поляритонного рассеяния на фононе 580 см-1 , видна часть поляритонного рассеяния в первый дифракционный максимум. На рис.11 изображен спектр этого же кристалла No.2 в другой геометрии рассеяния (угол между накачкой и нормалью к слоям -9,2о вне кристалла). “Эллипс” рассеяния на верхней поляритонной ветви увеличился и касается кривой рассеяния в первый дифракционный максимум. Теперь мы имеем рассеяние в нулевой и первый порядки дифракции на одинаковых частотах, это позволяет определить период доменной структуры.
Рис.9. Спектр параметрического рассеяния в монодоменном Nd:Mg:LiNbO3.
=47.4o вне кристалла.
Рис.10. Спектр параметрического рассеяния в полидоменном Nd:Mg:LiNbO3 .
=47.4o вне кристалла.
Рис.11. Спектр параметрического рассеяния в полидоменном Nd:Mg:LiNbO3 .
=66.2o вне кристалла.
§4. Толщина слоя в полидоменном LiNbO3.
На рис.13. изображена дисперсия обыкновенного показателя преломления полидоменного кристалла ниобата лития No.2 на верхней поляритонной ветви, которая получена по перестроечным кривым рис.10,11. Эта дисперсия используется при вычислении волнового вектора обратной решётки, соответствующей доменной структуре кристалла. Так как при нелинейной дифракции в условие пространственного синхронизма входят четыре волновых вектора, то для этого явления доступна более обширная частотная и угловая область при параметрическом рассеянии, чем для линейной дифракции. Векторная диаграмма этого взаимодействия изображена на рис.12. Волновой вектор обратной решётки можно получить из уравнений:
(11)
Вектор
по порядку величины такой же, как и волновой вектор поляритона, поэтому не выполняется условие пространственного синхронизма для нелинейной дифракции во второй и последующие максимумы. Толщина слоя была получена из уравнений (11) при рассеянии на поляритонах с различными частотами в трёх геометриях
=47.4o, 57о, 66.2o. Ее значение составило d=5.6±0.1 мкм.

Рис.12. Векторная диаграмма взаимодействия параметрического
рассеяния и нелинейной дифракции.

Рис.13. Дисперсия обыкновенного показателя преломления полидоменного кристалла ниобата лития, полученная в различных геометриях:
l
=47.4o вне кристалла.
¦
=66.2o вне кристалла.
Глава 3. Четырёхфотонное рассеяние света на поляритонах.
§1. Обзор эффектов в нецентросимметричных средах.
Случай нецентросимметричной среды является наиболее общим при рассмотрении процессов активной спектроскопии. В кристаллах без центра симметрии в интенсивность сигнала активной спектроскопии комбинационного рассеяния (АСКР) дают вклад как прямые четырёхфотонные процессы, так и каскадные трёхволновые процессы, идущие через промежуточные возбуждённые состояния. Эти процессы идут на различных нелинейных восприимчивостях: на кубической и квадратичной соответственно. Вследствие когерентности рассеяния различные вклады не суммируются, а интерферируют. Поэтому они могут приводить к значительным изменениям спектров АСКР: деформации формы линии и появлению дублетной структуры(14). Детально проанализировано явление интерференции трех- и четырехволнового механизма образования рассеянных волн в работе (15).
В работе (2) получено возбуждение поляритонной волны методом четырехфотонной спектроскопии в кристалле GaP. Был определен показатель преломления и коэффициент затухания для трех частот поляритонной волны. Однако при расчете коэффициента затухания не учитывались расходимости лучей, немонохроматичность возбуждающих накачек, а также влияние длины взаимодействия на ширину линии рассеяния. Также проводились эксперименты с возбуждением поверхностных поляритонов в кристалле GaP (16).
При каскадном процессе, состоящем из двух трехволновых взаимодействий, сначала возбуждается поляритонное состояние с волновым вектором равным эффективному возбуждающему, которое может распространяться за пределы области возбуждения. Затем на нём рассеивается пробная волна. В связи с этим генерация сигнала может иметь гораздо большую нелокальность. В работе (17) исследовались пикосекундные поляритонные возбуждения в хлориде аммония. Сначала возбуждался поляритон двумя накачками, а затем пускался пробный луч со сдвигом в пространстве в направлении распространения поляритона и с задержкой во времени. При этом наблюдалось рассеяние на поляритоне вне области его возбуждения. Это позволило измерить групповую скорость поляритона прямым методом, а не через производную
. Также было измерено время жизни возбужденного поляритонного состояния.
§2. Прямое четырёхфотонное взаимодействие.
Рассмотрим стоксову компоненту рассеянного излучения (рис.14). Соотношение между частотами для данного случая выполняется в виде:
(12)
где ωL-частота пробного излучения, подаваемого на образец, ωs - частота рассеянного на поляритоне излучения. При этом для наблюдения эффективного прямого процесса должно выполняться условие пространственного синхронизма:
(13)
Приведем выражение для интенсивности сигнальной волны с частотой ωs (18):
, (14)
IL, I
, I
-интенсивность волн с частотами ωL, ω
и ω
,
- расстройка волновых векторов, l -длина взаимодействия в кристалле. Численный коэффициент, зависящий от симметрии кристалла, здесь и далее опущен. В эффективную кубическую восприимчивость входят кубические восприимчивости прямого и каскадного процессов:
.. В свою очередь восприимчивость прямого процесса делится на резонансную и нерезонансную части:
. В частности, резонансная часть кубической восприимчивости в однорезонансном приближении составляет:
, (15)
где
- производная чисто электронной поляризуемости в равновесном положении ядер, N, M - концентрация и масса ядер соответственно. В последнем выражении
, где ωph - фононная частота, Г- коэффициент, описывающий затухание (полуширина на полувысоте фононной линии рассеяния). Резонансная восприимчивость возрастает при приближении разностной частоты к частоте фонона.

Рис.14. Прямой четырехфотонный процесс.
§3. Каскадные трехволновые процессы.
В четырехфотонные процессы в нецентросимметричных кристаллах вносят свой вклад каскадные трехволновые процессы (рис.15). В данном случае создается повышенная (по сравнению с равновесной) населённость поляритонных состояний “разогревающими” лучами с частотами ω1, ω2. Каскадному когерентному рассеянию соответствует частное решение неоднородного волнового уравнения, в правой части которого стоит нелинейная поляризация, возбуждённая “разогревающими” лучами. Кроме соотношений (12) и (13), в данном случае необходимо выполнение ещё одного условия пространственного синхронизма:
(16)

Рис.15. Каскадный трехволновый процесс.
Такой процесс является когерентным, потому что происходит рассеяние пробной волны непосредственно на возбуждении с волновым вектором
. Каскадная восприимчивость третьего порядка когерентного процесса задаётся выражением:
(17)
Знаменатель этого выражения указывает на то, что на интенсивность в выражении (14) влияет еще одна расстройка волновых векторов:
. Процессы с возбуждением поляритонного состояния и последующего рассеяния на нем происходят как два трехволновых процесса на квадратичной восприимчивости χ(2) (19). Квадратичная восприимчивость тоже делится на резонансную и нерезонансную части. Нерезонансная составляющая
где β- квадратичная поляризуемость, а резонансная составляющая:
(16)
μ- дипольный момент молекулы.
Вклады от прямого четырехфотонного процесса, идущего на кубической нелинейности, и от двухступенчатых трехволновых процессов могут быть соизмеримы. Используя различия в условиях фазового синхронизма, можно разделять прямые и каскадные процессы.
§4. Экспериментальная установка для наблюдения четырехфотонного рассеяния света на поляритонах.
В большинстве выполненных ранее работ использовалась традиционная схема КАРС-спектроскопии, в которой одна из накачек является дважды вырожденной с точки зрения процесса четырехволнового смешения, и регистрация сигнала ведется на антистоксовой частоте. В данном случае использовался наиболее общий вариант четырехволнового взаимодействия, в котором все волны имеют разные частоты и регистрируется стоксова компонента рассеянного излучения. Схема экспериментальной установки приведена на рис.16. Источниками волн возбуждающего излучения с частотами ω1 и ω2 служат YAG:Nd+3-лазер и перестраиваемый лазер на кристалле
, имеющие длины волн генерации λ1=1,064 мкм и λ2 в интервале 1,08-1,22 мкм соответственно и работающие с частотой повторения 1-33 Гц. Накачкой для перестраиваемого лазера на кристалле с центрами окраски служит излучение основной гармоники YAG:Nd+3-лазера, прошедшее через YAG:Nd+3-усилитель и поляризационную призму Глана-Томсона ПГ1. В качестве зондирующей волны используется излучение второй гармоники YAG:Nd+3-лазера (длина волны λL=532 нм), генерируемой удвоителем частоты ГВГ, которое отделяется от излучения основной гармоники при помощи зеркала с селективным по частоте коэффициентом отражения. Благодаря использованию источников ближнего ИК диапазона для возбуждения поляритонной волны, паразитные засветки, вызванные люминесценцией исследуемой среды под действием их излучения, попадают в ИК диапазон, далекий от области регистрации сигнала, лежащей в видимой части спектра. Необходимая поляризация лучей, падающих на кристалл, определяется поляризационными призмами Глана-Томсона ПГ1 и ПГ2. Углы падания лучей накачки на исследуемый кристалл задаются системой зеркал З2-З4. Кроме того, введение в лучи накачек дополнительных фокусирующих линз Л1-Л3 позволяет варьировать значение плотности мощности накачек в области их взаимодействия и их угловую расходимость. Рассеянное излучение собирается трехлинзовой системой ЛС в плоскости входной щели спектрографа СП, пройдя предварительно через поляризационную призму Глана-Томсона ПГ3, служащую анализатором рассеянного излучения и отсекающую прошедшее через образец О излучение пробной волны.
На выходе спектрографа формировалась двумерная частотно-угловая картина рассеяния. Отклонение луча по горизонтали соответствовало частоте рассеянной волны, по вертикали - углу рассеяния в плоскости волновых векторов накачек. Устройство кассетной части спектрографа позволяет проводить как фотографическую, так и электронную регистрацию сигнала. В последнем случае приемником сигнала служит ФЭУ2, работающий в аналоговом режиме. Его сигнал через широкополосный усилитель с регулируемым коэффициентом передачи поступает в быстродействующий стробируемый АЦП интегрирующего типа, входящий в состав крейта КАМАК и далее в управляющую ЭВМ типа IBM PC/AT. Управляющая ЭВМ посредством блоков, входящих в состав крейта КАМАК, осуществляет синхронизацию и управление работой отдельных узлов установки. В настоящем варианте установки, при фотоэлектронной регистрации спектра, ФЭУ был неподвижен, и перед ним была помещена щель переменной ширины с микрометрическим винтом. Сканирование спектра по частоте осуществлялось путем поворота призменной части спектрографа шаговым двигателем ШД1. Другой двигатель ШД2 служит для поворота кристалла в плоскости, содержащей все лучи накачек, что дает возможность изменять расстройку фазового синхронизма в образце. Дополнительный фотоприемник ФЭУ1 служит для контроля мощности накачки. Использование прерывателя пробного луча ПЛ позволяет автоматически вычитать фон, связанный с засветкой фотоприемника излучением суммарной частоты двух инфракрасных лазеров. Оптическая схема установки ориентирована на регистрацию стоксовой компоненты рассеянного излучения. Это позволяет легко переходить от наблюдения спонтанного трехфотонного рассеяния света на поляритонах к наблюдению рассеяния на когерентно возбужденных состояниях среды простым включением ИК накачек, поскольку в обоих случаях рассеянное излучение лежит в одном частотно-угловом интервале.
Глава 4. Исследование характеристик кристаллов методом активной спектроскопии.
Четырехволновое рассеяние света возбуждалось в кристаллах ниобата лития, легированных магнием Mg:LiNbO3 c концентрацией примеси Мg 0.68масс.% и 0.79масс.% (кристаллы No.4,5). Данные по показателям преломления в видимой и ближней ИК области для кристалла No.4 были получены путем интерполяции данных для кристаллов No.3,5. В эксперименте возбуждался поляритон в окрестностях частот 541см-1, 550см-1, 558.5см-1, 560см-1. Для этого для каждого выбранного значения частоты поляритона ωP устанавливается частота генерации перестраиваемого лазера ω2 в соответствии со вторым уравнением из (12). Затем лучи ИК накачек направлялись на кристалл под фиксированными углами θ1 и θ2 к направлению распространения зондирующей накачки. Далее измерялась зависимость интенсивности сигнала на частоте ωS=ωL-ω1+ω2 от угла поворота кристалла α в плоскости волновых векторов накачек.
Спектральные ширины линий накачек составляли приблизительно 1см-1 для излучения основной и второй гармоник YAG:Nd+3-лазера и не более 6см-1 для перестраиваемого лазера. Ширины линий рождавшегося сигнального излучения полностью соответствовали частотной структуре накачек. Пиковая мощность накачек на входе в кристалл: пробной волны ~0.25 Мвт, первого возбуждающего луча ~0.05 Мвт, второго возбуждающего луча ~0.01 Мвт. В эксперименте использовались накачки с частотами ωL и ω1 с необыкновенной поляризацией, излучение перестраиваемого
-лазера имело обыкновенную поляризацию. Величина интенсивности сигнала четырехфотонного рассеяния при точной настройке углового синхронизма существенно - почти на 4 порядка - превышала интенсивность спонтанного трехволнового рассеяния. При этом сигнал спонтанного рассеяния собирался со всей длины образца ~1 см, а сигнал четырехфотонного рассеяния - лишь с области пересечения лучей накачек длиной ~0,5-1мм.
Для каждой фиксированной сигнальной (а, значит, и поляритонной) частоты область решений условий точного синхронизма в пространстве углов α, θ1 и θ2 представляет собой участок кривой. С учетом возможной расстройки синхронизма эта кривая должна размываться. Для каждой разности частот ω1-ω2=ωP была проведена серия измерений формы линии Is(α), в которой взаимная ориентация зондирующей волны и одной из ИК накачек оставалась постоянной на входе кристалла, а угол падения другой ИК накачки менялся от постанова к постанову. Типичный вид отдельной формы линии рассеяния приведен на рис.17. На нижней оси абсцисс отложена расстройка пространственного синхронизма прямого процесса, на верхней оси абсцисс отложен угол поворота кристалла. Линия рассеяния имеет один ярко выраженный максимум с угловой шириной порядка 0.50, в единицах волновых расстроек - 600 см-1 . Однако, по ширине этой линии нельзя определить величину поглощения, так как существенна расходимость лучей. Было проверено, что при уменьшении расходимости первого возбуждающего луча уменьшается ширина линии рассеяния. Также в интенсивность сигнала складывается рассеяние на соседних частотах с определенной расстройкой, так как возбуждается поляритон с частотной шириной порядка 5 см-1. Каждая серия подобных измерений формы линии Is(α), снятая при фиксированном угле θ2 и переменном угле θ1, представляла собой распределение Is(a,θ1).
На верхнем графике рис.18 на плоскости координат угол поворота кристалла α - угол падения ИК волны θ1 представлены результаты измерений для одной серии, в рамках которой сохранялись постоянными угол падения θ2=410 и центральная частота генерации ω2 перестраиваемого ИК лазера, при которой возбуждается поляритон на частоте νp=541 см-1. Точками отмечены положения максимумов экспериментально наблюдавшихся кривых Is(α). Размер вертикальных штрихов соответствует ширинам максимумов. На нижнем графике рис.18 представлена интенсивность рассеянного излучения в максимуме при каждом положении угла θ1. При прохождении этой серии измерений при углах заведения первого “разогревающего” луча θ1=600-680, последовательно возбуждался поляритон на частотах νp=539-543 см-1. Наблюдалось увеличение интенсивности рассеянной волны при θ1=640-650, так как интенсивность второго “разогревающего” луча имеет максимум на частоте, соответствующей частоте поляритона νp=541 см-1. Зная взаимную ориентацию и длины волновых векторов
, можно определить из уравнений (13) и (16) длину волнового вектора и показатель преломления поляритона. Основную ошибку в точность измерения показателя преломления вносит ширина линии генерации перестраемого лазера.
На графиках рис.19 представлены результаты серии измерений для угла θ2=29.50 и центральной частоты генерации ω2 перестраиваемого ИК лазера, при которой возбуждается поляритон на частоте νp=550 см-1. В данном случае наблюдается максимальная интенсивность сигнальной волны при угле θ1=570, это говорит о том, что при этом угле возбуждается поляритон на частоте νp=550 см-1. На рис.20 представлены перестроечные кривые серии измерений для двух кристаллов с концентрацией примеси магния 0.68масс.% и 0.79масс.% для угла θ2=18.50. При этом возбуждается поляритон в окрестности частоты νp=560 см-1. Очевидно отличие в перестроечных кривых и в положении максимума интенсивности рассеянной волны для двух кристаллов. На рис.21 представлена перестроечная кривая серии измерений для кристалла с концентрацией примеси магния 0.41масс.% для угла θ2=00. Этот кристалл имеет отличное от двух предыдущих кристаллов направление оси Z, поэтому необходимы другие значения углов заведения лучей, чтобы возбудить такую же частоту поляритона. Аналогично можно определить показатель преломления поляритона для этих трех образцов кристаллов на частоте νp=560 см-1.
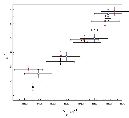
Полученные с помощью четырехволновой методики значения обыкновенного показателя преломления на частоте 560 см-1 для кристаллов с различной концентрацией магния равны: no(0.41масс.%Mg)=6.53, no(0.68масс.%Mg)=6.37, no(0.79масс.%Mg)=6.2. Основную долю в погрешность измерения no вносит точность измерения частоты перестраемого лазера и частотная ширина его генерации. Однако, при фиксированной частоте поляритона точность измерения частоты перестраемого лазера на ошибку величины изменения показателя преломления не влияет. Поэтому в данном случае ошибка измерения изменения показателя преломления в зависимости от концентрации примеси не превышает ±0.02. Таким образом, мы можем сказать, что на верхнем фононном поляритоне проявляется аналогичная зависимость, как и в видимом диапазоне: при увеличении концентрации примеси показатель преломления падает.

Рис.17. Форма линии рассеяния при повороте кристалла.

Рис.18. Перестроечная кривая α(θ1) и интенсивность рассеянного излучения I(θ1) при угле падения θ2=410 и возбуждении поляритона в окрестности частоты νp=541см-1 для кристалла ниобата лития с концентрацией примеси магния 0.68масс.%.

Рис.19. Перестроечная кривая α(θ1) и интенсивность рассеянного излучения I(θ1) при угле падения θ2=29,50 и возбуждении поляритона в окрестности частоты νp=550 см-1 для кристалла ниобата лития с концентрацией примеси магния 0.68масс.%.

Рис.20. Перестроечная кривая α(θ1) и интенсивность рассеянного излучения I(θ1) при угле падения θ2=18,50 и возбуждении поляритона в окрестности частоты νp=560 см-1 для кристаллов ниобата лития с концентрацией примеси магния:
0.68масс.% l; 0.79масс.% n.

Рис.21. Перестроечная кривая α(θ1) и интенсивность рассеянного излучения I(θ1) при угле падения θ2=00 и возбуждении поляритона в окрестности частоты νp=560см-1 для кристалла ниобата лития с концентрацией примеси магния 0.41масс.%.

Рис.22. Дисперсия поляритонов, измеренная по трехволновой и четырехволновой методике для кристаллов ниобата лития с концентрацией примеси магния:
0.41масс.% s; 0.68масс.% l; 0.79масс.% Ћ.
.
Заключение.
В работе исследовались кристаллы ниобата лития с различной концентрацией магния. При этом использовались метод спонтанного параметрического рассеяния и четырехволновое смешение.
1. Получены зависимости показателей преломления в видимом и ближнем инфракрасном диапазоне от концентрации примеси магния. Концентрация примеси магния менялась в пределах 0-1%.
2. Обнаружено аномальное поведение необыкновенного показателя преломления в полидоменном кристалле.
3. Наблюдалась нелинейная дифракция при спонтанном параметрическом рассеянии в полидоменном кристалле. Определен период доменной структуры в полидоменном кристалле методом СПР.
4. Получены дисперсии обыкновенного показателя преломления на поляритонных частотах для кристаллов с различной концентрацией примеси методом СПР. Однако, этот метод не позволил обнаружить отличия дисперсионных характеристик кристаллов в дальней инфракрасной области.
5. Измерен обыкновенный показатель преломления на поляритоне фонона 580 см-1 для трех концентраций примеси магния методом четырехволнового смешения. Этот метод дает гораздо большую точность, что позволило обнаружить разницу в показателе преломления для кристаллов с различной концентрацией примеси магния.
6. Разработана методика четырехволнового смешения на когерентно возбуждаемых поляритонах.
Список литературы.
1. Д.Н.Клышко. Фотоны и нелинейная оптика, Наука, М., 1980 г.
2. J.P.Coffinet and F. De Martini. Phys.Rev.Lett. vol.22, №2, pp.60-64 (1969).
3. Д.Н.Клышко. Письма в ЖЭТФ, 6, 490, 1967.
4. Д.Н.Клышко, В.Ф.Куцов, А.Н.Пенин, Б.Ф.Полковников. ЖЭТФ, 62,
1846, 1972.
5. Ф.Цернике, Д.Мидвинтер. ”Прикладная нелинейная оптика”. “Мир”; М.; 1976.
6. А.Л.Александровский, Г.Х.Китаева, С.П.Кулик, А.Н.Пенин. “Нелинейная дифракция при параметрическом рассеянии света”.ЖЭТФ, 63, 613-615, 1986.
7. А.Л.Александровский, П.Посмыкевич, И.А.Яковлев. ФТТ, 25, 1199, 1983.
8. A.L.Aleksandrovski, I.I.Naumova, V.V.Tarasenko. Ferroelectrics, 141, 147-152, 1993.
9. А.Л.Александровский, О.А.Глико, И.И.Наумова, В.И.Прялкин. “Линейная и нелинейная дифракционные решетки в монокристаллах ниобата лития с периодической доменной структурой”. Квантовая электроника, т.23, №7, с. 1-3, 1996.
10. А.Л.Александровский, Г.И.Ершова, Г.Х.Китаева, С.П.Кулик, И.И.Наумова, В.В. Тарасенко.”Дисперсия показателей преломления в кристаллах LiNbO3:Mg и LiNbO3:Y”. Квантовая электроника, 18, 254-256, фев., 1991.
11. Г.М.Георгиев, Г.Х.Китаева, А.Г.Михайловский, А.Н.Пенин, Н.М.Рубинина. Физ. Тверд. Тела (Ленинград), 16, 3524, 1974.
12. Д.Н.Клышко, А.Н.Пенин, Б.Ф.Поливанов. “Параметрическая люминисценция и рассеяние света на поляритонах”. Письма в ЖЭТФ, 2, 11-14, 1970.
13. Winter F.X, Claus R. Optic Communication, 6, 22-25, 1972.
14. Ю.Н.Поливанов, А.Т.Суходольский. “Наблюдение интерференции прямых и каскадных процессов при активной спектроскопии поляритонов”. Письма в ЖЭТФ, 25, 240-244, 1977.
15. В.Л.Стрижевский, Ю.Н.Яшкир. . Квантовая электроника, т.2, №5, стр.995, 1975.
16. F.DeMartini, G.Giuliani, P.Mataloni, E.Palange and Y.R.Shen. Phys.Rev.Lett. vol.37, №7, pp.440-443, 1976.
17. G.M.Gale, F.Vallee, and C.Flitzanis. Phys.Rev.Lett. vol.57, №15, pp.1867-1870, 1986.
18. Ахманов С.А., Коротеев Н.И. “Методы нелинейной оптики в спектроскопии рассеяния света”. с. 38, 1981.
19. Д.Н.Клышко. Квантовая электроника, т. 2, 2, c. 265-271,1974.