Углеродные нанотрубки
Государственный комитет Российской Федерации
по высшему образованию
Российский Государственный Авиационный
Технологический Университет
имени К.Э. Циолковского - (МАТИ)
____________________________________________________
Отчет о практике
Тема: “Углеродные нанотрубки”
Руководитель: Городцов В.А.
Выполнили студенты: Кузнецов В.Ю.
Шапиро Р.А.
Москва 1998г.
Введение
В настоящее время технология достигла критической точки своего развития, когда применение микрообъектов уже невозможно. Нужно переходить на новый - наноуровень. В связи с этим возникла необходимость получения транзисторов, проволок с размерами примерно от 1 до 20 нанометров. В 1985г. была найдено решение этой проблемы - открыты нанотрубки, а с 1990г. научились получать их в объемах, достаточных для изучения.
В этой работе перед нами была поставлена задача разобраться в природе углеродных нанотрубок, рассмотреть некоторые их свойства и возможные методы применения.
И хотя пока существует множество проблем и трудностей с получением и изучением физико-химических свойств, ясно одно - за нанотехнологиями будущее.
Рассмотрение фуллеренов и нанотрубок невозможно, если не разобраться в природе этих явлений. Для начала рассмотрим состав фуллеренов и нанотрубок.
Углерод - химический элемент, символ С, атомный номер 6, атомная масса 12.011. Обычными формами существования углерода в свободном состоянии является алмаз и графит, встречаются в природе. Основными отличиями в строении алмаза и графита - кристаллическая решетка.

Рис. 1. Структура кристаллической решетки алмаза.
Алмаз. Структура кристаллической решетки показана на рис. 1. Элементарная ячейка кристалла алмаза представляет собой тетраэдр, в центре и четырех вершинах которого расположены атомы углерода. Атомы, расположенные в вершинах тетраэдра, образуют центр нового тетраэдра и, таким образом, также окружены каждый еще четырьмя атомами и т.д. Координационное число углерода в решетке алмаза, следовательно, равно четырем. Все атомы углерода в кристаллической решетке расположены на одинаковом расстоянии (154 пм) друг от друга. Каждый из них связан с другими неполярной ковалентной связью и образует в кристалле, каких бы размеров он ни был, одну гигантскую молекулу.
Графит. Структура кристаллической решетки графита показана на рис. 2. Кристаллы графита построены из параллельных друг другу плоскостей, в которых расположены атомы углерода по углам правильных шестиугольников. Расстояние между соседними атомами углерода (сторона каждого шестиугольника) 143 пм, между соседними плоскостями 335 пм. Каждая промежуточная плоскость несколько смещена по отношению к соседним плоскостям, как это видно на рисунке. Каждый атом углерода связан с тремя соседними в плоскостях атомами неполярными ковалентными связями. Каждый атом углерода в атомной решетке графита связан с тремя соседними атомами углерода, тремя sp2—sp2 общими электронными парами, расположенными в соответствии с sp2 - гибридизацией, под углами в 120 град, т. е. каждые четыре связанных между собой атома углерода в графите расположены в центре и вершинах равностороннего треугольника. Четвертые валентные электроны каждого атома располагаются между плоскостями и ведут себя подобно электронам металла, чем и объясняется электрическая проводимость графита в направлении плоскостей. Связь между атомами углерода, расположенными в соседних плоскостях, очень слабая (межмолекулярная, или ван-дер-ваальсова), хотя отчасти, благодаря присутствию электронов проводимости, похожа на металлическую. В связи с такими особенностями кристаллы графита легко расслаиваются на отдельные чешуйки даже при малых нагрузках.
Рис. 2. Структура кристаллической решетки графита.
Уникальная способ-ность атомов углерода соединяться между собой с образованием прочных и длинных цепей и циклов привела к возникновению громадного числа разнообразных соедине-ний углерода, изучаемых органической химией.
Теплопроводность графита, измеренная в направлении плоскости слоев, в пять раз больше теплопроводности, изме-ренной в поперечном направлении; электричес-кая проводимость в плоскостном направлении в десять тысяч раз превышает проводимость в поперечном направ-лении.
Электронная конфи-гурация атома углерода такова: 1s2 2s2 2p2. Следовательно, его четыре внешних электрона не одинаковы — они соответствуют различным орбиталям; два электрона не спарены. В связанном состоянии (валентном) один из электронов 2s переходит на р-орбиталь (для этого понадобится около 96 ккал/моль) так, что состояние атома может быть выражено: 1s2 2s 2p3. В результате мы получим атом с тремя 2р и одним 2s-электроном: 2s2px2py2pz.
Возможны несколько видов гибридизации: sp, sp2 и sp3.

Рис. 3. Схема гибритизации электронных состояний:
а - образование двух sp-гибритных облаков
б - образование трех sp2-гибритных облаков
в - образование четырех sp3-гибритных облаков
При гибридизации типа sp смешиваются атомные орбитали s и р. При этом орбитали, например, рy и рz не меняются, а орбитали рx и s дают гибридную форму. Так как гибридная функция может иметь вид s+p или s-р, то получаются две орбитали, направ-ленные диамет-рально противопо-ложно друг другу (рис. 3а).
Если происхо-дит гибридизация s и двух р-функций, например рx и ру (рz остается неизменной), то получаются три тригональные атом-ные орбитали типа sp2. Эти орбитали на схеме имеют вид клеверного листа (рис. 3б). Этот вид гибридных орбита-лей оказался очень важным для описания двойных связей.
При гибридизации типа sp3 смешиваются все атомные орбитали s и р. При этом все орбитали дают гибридную форму. Гибридные орбитали имеют отчетливую направленность: орбитали атома углерода направлены к углам тетраэдра, в центре которого помещается атом углерода. Схематически усиление направленности — ориентация электронного облака — показано на рисунке 3в. Очевидно, что это есть следствие ослабления частей атомных орбиталей, имеющих разные знаки, и усиление частей атомных орбиталей, имеющих одинаковые знаки.
Получение нанотрубок. Наиболее широко распространенный метод получения углеродных нанотрубок использует термическое распыление графитового электрода в плазме дугового разряда, горящей в атмосфере He. Этот метод, лежащий также в основе наиболее эффективной технологии производства фуллеренов, позволяет получить нанотрубки в количестве, достаточном для детального исследования их физико-механических свойств. В дуговом разряде постоянного тока с графитовыми электродами при напряжении 15 - 20 В, токе в несколько десятков ампер, межэлектродном расстоянии в несколько миллиметров и давлении He в несколько сот Торр происходит интенсивное термическое распыление материала анода. Продукты распыления содержат, наряду с частицами графита, также некоторое количество фуллеренов, осаждающихся на охлажденных стенках разрядной камеры, а также на поверхности катода, более холодного по сравнению с анодом. Рассматривая этот катодный осадок с помощью электронного микроскопа обнаружили, что в нем содержатся протяженные цилиндрические трубки длиной свыше микрона и диаметром в несколько нанометров, поверхность которых образованна графитовыми слоями. Трубки имеют куполообразные наконечники, содержащие, подобно молекулам фуллеренов, шести- и пятиугольники.
Как отмечалось выше, структурно графит, из которого их получают, состоит только из шестиугольников. Рассмотрим теперь вопрос, откуда в составе данных наноструктур появляются пятиугольники. Для этого необходимо обратиться к одной из теорем топологии, которая дает ответ на вопрос: какими фигурами можно «покрыть» сферу, запаянную и не запаянную трубки. Далее приведем доказательство данной теоремы и некоторые ее следствия.
Пусть на сфере (или гомеоморфной ей поверхности) начерчен связный граф G, имеющий В вершин и Р ребер и разбивающий сферу на Г областей (граней); тогда справедливо равенство В-Р+Г=2 (1). Это теорема Эйлера.
Перед доказательством этой теоремы стоит вспомнить некоторые определения.
Конечным графом G называется фигура, состоящая из конечного числа дуг. В нем имеется конечное число вершин, и некоторые из этих точек соединяются непересекающимися дугами (ребрами графа). Связным графом называется граф, любые две вершины которого можно соединить кривой, проходящей по ребрам графа.
Контуром в графе называется замкнутая цепочка ребер, объединение которых представляет собой линию, гомеоморфную окружности.
Деревом называется связный граф, не содержащий ни одного контура.
Индекс точки называется число дуг, сходящихся в данной точке.
Также следует доказать следующую теорему:
Для любого дерева, имеющего В вершин и Р ребер, справедливо соотношение
В-Р=1. (2)
Для доказательства проведем индукцию по числу ребер Р. При Р=1 (дерево имеет одно ребро и две вершины) соотношение (2) справедливо. Предположим, что для любого дерева, имеющего n ребер, соотношение (2) уже доказано, и пусть G - дерево, имеющее n+1 ребро. Так как граф G связен, то его можно получить из некоторого связного графа G` добавлением одного ребра r.
Действительно, любой связный граф может быть получен следующим образом: мы берем одно ребро, затем присоединяем к нему еще одно ребро так, чтобы снова получился связный граф, затем присоединяем еще одно ребро (так, чтобы снова получился связный граф) и т.д. Это возможно, если удастся его вычертить «одним росчерком». А это, в свою очередь, возможно, если разрешить «проходить» каждое ребро ровно два раза.
* * *
Докажем, что любой связный граф можно вычертить «одним росчерком», если разрешить проходить каждое ребро точно два раза.
Если проходить граф описанным выше способом, то его можно сопоставить с графом, у которого приходится по два ребра на каждое ребро исходного графа, т.е. индекс каждой вершины в два раза больше, чем у исходного. Полученный граф имеет вершины с четными индексами, а значит этот граф является уникурсальным (его можно «нарисовать одним росчерком»).
* * *
Граф G` содержит n ребер и тоже не содержит контуров, т.е. является деревом. По предположению индукции для дерева G` соотношение (2) справедливо, и потому в G` имеется n+1 вершина. Заметим теперь, что только один конец добавляемого ребра r является вершиной графа G` (в противном случае, взяв в G` простую цепочку, соединяющую a и b, и добавив к этой цепочке ребро r, мы получили бы контур в графе G). Следовательно, при добавлении ребра r в графе G появляется одно новое ребро и одна новая вершина. Иначе говоря, граф G имеет n+2 вершины и n+1 ребро, и потому соотношение (2) для него справедливо. Проведенная индукция доказывает равенство (2) для любого дерева.
Теперь можно приступить к доказательству теоремы Эйлера. Для ее доказательства выделим из графа G максимальное его дерево G*, обозначим за k - число «перемычек» (т.е. ребер графа G, не содержащихся в G*). Т.к. граф G* является деревом, то он не содержит ни одного контура, а, следовательно, он определяет на сфере лишь одну область (грань), и потому для него соотношение (1) справедливо. Далее, добавляя одну «перемычку», число ребер увеличивается на единицу, число вершин остается прежним, т.к. G* - максимальное дерево, т.е. оно содержит все вершины графа G; число граней увеличится на единицу за счет разбиения одной грани на две. Отсюда видно, что добавление одной «перемычки» не меняет соотношения (1). Значит и добавление k перемычек его не изменит. Т.е. граф G удовлетворяет соотношению (1).
Из теоремы Эйлера можно получить несколько интересных следствий.
Обозначим через n3 число треугольных граней выпуклого многогранника, через n4 - число его четырехугольных граней и т.д. Тогда соотношение один можно переписать так:
В=2+Р-(n3+n4+n5+...). (3)
Т.к. каждое из ребер «принадлежит» ровно двум граням, то можно записать следующую формулу:
Р=
(4)
В каждой вершине же сходится минимум три грани, т.е. каждой грани «принадлежит» максимум
вершин, отсюда вытекает неравенство:
(5)
Объединяя (3), (4) и (5), получим
Умножая полученное на 6 и приводя подобные, получим:
причем равенство возможно только в том случае, когда в вершине сходятся три грани. В нашем случае, для идеальных фулеренов и для нанотрубок, запаянных с обоих концов это выполнено. Отсюда видно, что в состав них может входить ровно 12 пятиугольников.
Вторым следствием теоремы Эйлера является так называемая эйлерова характеристика поверхности.
Пусть Q — поверхность, которая допускает разбиение на многоугольники; это означает, что на поверхности можно «нарисовать» граф, разбивающий ее на конечное число кусков, гомеоморфных кругу. Обозначим число вершин и ребер графа через В и Р, а число многоугольников, на которые Q разбивается этим графом,— через Г. Число
X (Q) = В - Р + Г (6)
называется эйлеровой характеристикой поверхности Q. Строго говоря, число (6) определяется не самой поверхностью Q, а выбором ее разбиения на многоугольники. Однако теорема Эйлера показывает, что для поверхности Q, гомеоморфной сфере, эйлерова характеристика не зависит от выбора разбиения на многоугольники: Х(Q)=2. Докажем, что и для любой поверхности Q ее эйлерова характеристика Х(Q) не зависит от выбора разбиения на многоугольники, а определяется самой поверхностью.
В самом деле, пусть на, поверхности Q «нарисованы» два графа G1, G2, каждый из которых задает разбиение на многоугольники. Числа вершин, ребер и граней разбиения, определяемого графом G1, обозначим через B1, Р1, Г1, а соответствующие числа для разбиения, определяемого графом G2,— через В2, Р2, Г2. Вообще говоря, графы G1 и G2 могут пересекаться в бесконечном числе точек. Однако, «пошевелив» граф G1, мы сможем добиться того, чтобы G1 и G2 пересекались лишь в конечном числе точек.
Далее, если граф G1
G2 несвязен, то, «пошевелив» графы G1, G2, можно добиться того, чтобы они имели общие точки и, следовательно, их объединение было связным. Итак, мы можем предполагать, что графы G1 и G2 пересекаются лишь в конечном числе точек и имеют связное объединение G1
G2. Считая новыми вершинами все точки пересечения графов G1 и G2, а также все вершины этих графов, мы найдем, что G1
G2 является конечным связным графом (его ребрами являются куски ребер графов G1 и G2, на которые они разбиваются вершинами графа G1
G2).
Обозначим через В и Р число вершин и ребер графа G1
G2, a через Г — число граней, на которые он разбивает поверхность Q. Идея состоит в том, чтобы доказать равенства
(7)
из которых и будет следовать, что B1-P1+Г1=B2-P2+Г2. Оба равенства (7) доказываются одинаково; докажем первое.
Пусть М - некоторый многоугольник («грань»), определяемый графом G1. Обозначим число вершин и ребер графа G1
G2, расположенных внутри М (не на контуре), через В' и Р', а число вершин (а значит, и ребер) этого графа, расположенных на контуре многоугольника М, через q. Далее, число граней, определяемых графом G1
G2 и содержащихся в М, обозначим через Г'. На рис. 4 имеем В'=4, Р'=12, Г'=9, q=15.
Вырежем теперь многоугольник М (вместе с имеющейся на нем частью графа G1
G2) из поверхности Q. Так как М гомеоморфен кругу и, значит, полусфере, то его можно второй («нижней») полусферой дополнить до поверхности, гомеоморфной сфере (рис. 5). На этой сфере расположен связный граф, имеющий В'+q вершин, Р'+q ребер и определяющий Г'+1 граней (Г' граней содержится в М и еще одной гранью является нижняя полусфера). Следовательно, согласно (1), (В'+q)- (Р'+q)+(Г'+1)=2, т. е.
В'-Р'+Г=1. (8)
Если теперь (возвращаясь к поверхности Q, на которой начерчен граф G1
G2) мы выбросим из графа G1
G его часть, расположенную внутри М, то получится новый граф, для которого, однако, число В-Р+Г останется таким же, как и для графа G1
G2. В самом деле, вместо В' вершин, Р' ребер и Г' граней, имевшихся внутри М, мы теперь будем иметь 0 вершин, 0 ребер и одну грань (сам многоугольник М), т. е. число В'-Р'+Г' заменится на 0-0+1, а это, согласно (8), ничего не меняет.

Рис. 4. Рис. 5.
Теперь ясно, что если мы из графа G1
G2 выбросим его части, расположенные внутри всех многоугольников, определяемых графом G1, то получим новый граф G*, для которого число В-Р+Г будет таким же, как и для графа G1
G2 Иначе говоря,
В*-Р*+Г*=В-Р+Г (9)
где В* и Р* — число вершин и ребер графа G*, а Г* — число определяемых им граней.
Заметим, наконец, что граф G* получается из G1 добавлением нескольких новых вершин на ребрах. Добавление каждой новой вершины увеличивает число ребер на 1 (поскольку добавленная вершина разбивает одно из ребер на два). Следовательно, если переход от графа G1 к G* осуществляется добавлением k новых вершин, то В*=B1 + k1*P*=P1+k. Кроме того, Г*=Г1 (так как граф G* определяет те же грани, что и граф G1). Таким образом,
В*-Р*+Г*=(B1+k)-(P1+k)+Г1=В1-Р1+Г1,
а это, согласно (9), и дает первое из соотношений (7).
Итак эйлерова характеристика поверхности не зависит от ее разбиения на многоугольники, а определяется самой поверхностью. Кроме того, если поверхности Q1и Q2 гомеоморфны, то X(Q1)=Х(Q2).
Отсюда имеем еще одно следствие: т.к. эйлерова характеристика поверхности для незакрытой трубки равна нулю, то, рассуждая также как и в первом следствии, можно получить неравенство
Это соотношение плохо описывает идеальную нанотрубку, но для реальной нанотрубки с «дислокациями» оно качественно правильно.
Итак, в данной части работы была доказана теорема Эйлера, которая позволила нам теоретически доказать необходимость перестройки графитовой плоскости в случаях, когда реакции происходят с образованием фулеренов и запаянных нанотрубок, а также было найдено соотношение для многоугольников в случае, когда имеет место рассмотрение реальных нанотрубок с дефектами.
При использовании для получения нанотрубок электрической дуги с графитовым электродом образуются преимущественно многослойные нанотрубки, диаметр которых лежит в диапазоне от одного до нескольких десятков нанометров. Кроме того, такие нанотрубки отличаются различной хиральностью, что определяет различие их электронной структуры и электрических характеристик. Распределения нанотрубок по размерам и углу хиральности критическим образом зависят от условий горения дуги и не воспроизводятся от одного эксперимента к другому. Это обстоятельство, а также разнообразие размеров и форм нанотрубок, входящих в состав катодного осадка, не позволяет рассматривать данный материал как вещество с определенными свойствами. Частичное преодоление указанной проблемы стало возможным благодаря использованию процедуры обработки данного материала сильными окислителями. Методы очистки и обработки нанотрубок с помощью окислителей основан на том обстоятельстве, что реакционная способность протяженного графитового слоя, содержащего шестичленные графитовые кольца и составляющие поверхность нанотрубок, значительно меньше соответствующих характеристик для сфероидальной поверхности, содержащей также некоторое количество пятичленных колец.
Рис. 6. Иллюстрации хиральности нанотрубок - часть графитовой плоскости, свертывание которой в цилиндр приводит к образованию однослойной нанотрубки.
Одним из основных параметров, характеризующих нанотрубки является хиральность. Трубки характеризуются различной хиральностью, т.е. углом ориентации графитовой плоскости относительно оси трубки. Идеализированная нанотрубка представляет собой свернутую в цилиндр графитовую плоскость, т.е. поверхность выложенную правильными шестиугольниками, в вершинах которых расположены атомы углерода. Результат такой операции зависит от угла ориентации графитовой плоскости относительно оси нанотрубки. Угол ориентации задает хиральность нанотрубки, которая определяет, в частности ее электрические характеристики. Это свойство нанотрубок иллюстрируется на рис. 6, где показана часть графитовой плоскости и отмечены возможные направления ее сворачивания. Хиральность нанотрубок обозначается набором символов (m,n), указывающим координаты шестиугольника, который в результате сворачивания плоскости должен совпасть с шестиугольником, находящимся в начале координат. Некоторые из таких шестиугольников вместе с соответствующими обозначениями отмечены на рисунке. Другой способ обозначения хираль-ности состоит в указании угла а между направлением свора-чивания нанотрубки и направлением, в котором соседние шестиугольники имеют общую сторону. Среди различных возможных направлений сворачи-вания нанотрубок выделяются направле-ния, для которых совмещение шести-угольника (m,n) с началом координат не требует искажения в его структуре. Этим направлениям соответствуют угол а=О и а=30°. Указанные конфигурации отвечают хиральностям (m,0) и (2n,n) соответственно.
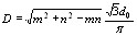
Индексы хиральности однослоиной нанотрубки (m,n) однозначным образом определяют ее диаметр D. Эта связь очевидна и имеет следующий вид:
![]()
где
= 0,142 нм — расстояние между соседними атомами углерода в графитовой плоскости.
Разрешающая способность современных электронных микроскопов недостаточна для непосредственного различения нанотрубок с разной хиральностью, поэтому основной способ определения данного параметра связан с измерением их диаметра.

Рис. 7. Идеальная модель однослойной нанотрубки.
Рассмотрим упрощенную модель нанотрубки. На рисунке 7 представлена идеализированная модель однослойной нанотрубки. Такая трубка не образует швов при сворачивают и заканчивается по-лусферическими вершинами, содер-жащими, наряду с правильными шес-тиугольниками, также по шесть правильных пятиугольников. Нали-чие пятиугольни-ков на концах трубок позволяет рассматривать их как предельный случай молекул фуллеренов, длина продольной оси которых значительно превышает диаметр.
Структура однослойных нанотрубок, наблюдаемых экспериментально, во многих отношениях отличается от представленной выше идеализированной картины. Прежде всего это касается вершин нанотрубки, форма которых, как следует из наблюдений, далека от идеальной полусферы.
Особое место среди однослойных нанотрубок занимают нанотрубки с хиральнстью (10,10). В нанотрубках такого типа две из С-С-связей, входящих в состав каждого шестичленного кольца, ориентированы параллельно продольной оси трубки. Согласно расчетам нанотрубки с подобной структурой должны обладать чисто металлической проводимостью. Кроме того, термодинамические расчеты показывают, что такие трубки обладают повышенной стабильностью и должны преобладать над трубками другой хиральности в условиях, когда преимущественно образуются однослойные нанотрубки. До недавнего времени такие идеализированные условия казались недостижимыми. Однако в результате облучения поверхности графита импульсами двух лазеров в присутствие никелевого катализатора был осуществлен синтез нанотрубок диаметром 1.36 нм и длиной до нескольких сот микрон, обладающих металлической проводимостью, выводы теории нашли экспериментальное подтверждение. Как следует из измерений, выполненных с помощью электронного микроскопа и рентгеновского дифрактометра, нанотрубки с преимущественной хиральностью (10,10) образуют жгуты диаметром от 5 до 20 мкм, свернутые в клубки и запутанные причудливым образом. Кроме того, измерения спектров ЭПР, подкрепленные прямыми измерениями проводимости нанотрубок, указывают на металлический характер электропроводности этих материалов.
При прямом измерении хиральности нанотрубок использовали электронно-дифракционный микроскоп с чрезвычайно малым поперечным сечением электронного пучка (около 0,7 нм), быстро сканируемого по области диаметром 10 - 20 нм, заполненной жгутом нанотрубок. На основании получаемой таким образом дифракционной картины делаются выводы о структуре нанотрубок, входящих в состав канатов. Было изучено 35 жгутов диаметром от 3 до 30 нм. Все жгуты, кроме двух, состояли из нанотрубок с хиральностью, близкой к (10,10). Детальный анализ показал, что 44% нанотрубок имели хиральность (10,10), 30% — (11,9) и 20% — (12,8).
Капиллярные эффекты и заполнение нанотрубок. Вскоре после открытия углеродных нанотрубок внимание исследователей привлекла возможность заполнения нанотрубок различными веществами, что не только представляет научный интерес, но также имеет большое значение для прикладных задач, поскольку нанотрубку, заполненную проводящим, полупроводящим или сверхпроводящим материалом, можно рассматривать как наиболее миниатюрный из всех известных к настоящему времени элементов микроэлектроники. Научный интерес к данной проблеме связан с возможностью получения экспериментально обоснованного ответа на вопрос: при каких минимальных размерах капиллярные явления сохраняют свои особенности, присущие макроскопическим объектам? Впервые данная проблема рассмотрена в задачи о втягивании молекулы НР внутрь нанотрубок под действием поляризационных сил. При этом показано, что капиллярные явления, приводящие к втягиванию жидкостей, смачивающих внутреннюю поверхность трубки, внутрь капилляра, сохраняют свою природу при переходе к трубкам нанометрового диаметра.
Капиллярные явления в углеродных нанотрубках впервые осуществлены экспериментально в работе, где наблюдался эффект капиллярного втягивания расплавленного свинца внутрь нанотрубок. В этом эксперименте электрическая дуга, предназначенная для синтеза нанотрубок зажигалась между электродами диаметром 0,8 и длиной 15 см при напряжении 30 В и токе 180 - 200 А. Образующийся на поверхности катода в результате термического разрушения поверхности анода слой материала высотой 3-4 см извлекался из камеры и выдерживался в течение 5 ч при Т = 850° С в потоке углекислого газа. Эта операция, в результате которой образец потерял около 10% массы, способствовала очистке образца от частиц аморфного графита и открытию нанотрубок, находящихся в осадке. Центральная часть осадка, содержащего нанотрубки, помещалась в этанол и обрабатывалась ультразвуком. Диспергированный в хлороформе продукт окисления наносился на углеродную ленту с отверстиями для наблюдения с помощью электронного микроскопа. Как показали наблюдения, трубки, не подвергавшиеся обработке, имели бесшовную структуру, головки правильной формы и диаметр от 0,8 до 10 нм. В результате окисления около 10% нанотрубок оказались с поврежденными шапочками, а часть слоев вблизи вершины была содрана. Предназначенный для наблюдений образец, содержащий нанотрубки, заполнялся в вакууме каплями расплавленного свинца, которые получали в результате облучения металлической поверхности электронным пучком. При этом на внешней поверхности нанотрубок наблюдались капельки свинца размером от 1 до 15 нм. Нанотрубки отжигались в воздухе при Т = 400°С (выше температуры плавления свинца) в течение 30 мин. Как показывают результаты наблюдений, выполненных с помощью электронного микроскопа, часть нанотрубок после отжига оказалась заполненной твердым материалом. Аналогичный эффект заполнения нанотрубок наблюдался при облучении головок трубок, открывающихся в результате отжига, мощным электронным пучком. При достаточно сильном облучении материал вблизи открытого конца трубки плавится и проникает внутрь. Наличие свинца внутри трубок установлено методами рентгеновской дифракции и электронной спектроскопии. Диаметр самого тонкого свинцового провода составлял 1,5 нм. Согласно результатам наблюдений число заполненных нанотрубок не превышало 1%.
Последующие исследования направлены на детальное изучение особенностей капиллярных явлений в углеродных нанотрубках, которые проявляются при их заполнении материалами различной природы. Результаты этих исследований указывают на связь между величиной поверхностного натяжения материала и возможностью его капиллярного втягивания внутрь углеродной нанотрубки. Некоторые из этих результатов представлены в обобщенном виде в табл. 1. Как видно, капиллярные свойства нанотрубок проявляются только в отношении материалов, обладающих достаточно низким (менее 200 мН м-1) значением поверхностного натяжения в сжиженном состоянии.
Вещество | Поверхностное натяжение, мН м-1 | Капиллярность |
S Cs Rb
Se Оксиды свинца Оксиды висмута Te Pb Hg Ga | 43 61 67 77 80 97 (PbO ~ 132) ( 190 470 490 710 | да да да да да да да да да нет нет нет нет |
Таблица 1. Смачивающие свойства нанотрубок (температура близка к точке плавления)
Анализируя результаты экспериментов, посвященных исследованию капиллярных явлений в нанотрубках, следует обратить внимание на роль кислорода, присутствие которого зачастую определяет эти результаты. Так, эксперименты по заполнению нанотрубок висмутом и свинцом, выполненные в вакууме, закончились неудачей, в то время как аналогичные эксперименты проведенные в присутствие атмосферного воздуха, привели к появлению капиллярного эффекта. Такой результат вполне объясним с точки зрения изложенных выше представлений о корреляции между капиллярными явлениями и величиной поверхностного натяжения соответствующего расплава. Поверхностное натяжение расплавленных оксидов свинца и висмута значительно превышает соответствующее значение для чистых расплавленных металлов, поэтому наличие кислорода, приводящее к образованию оксидов, способствует протеканию капиллярных явлений.
Хотя нанотрубки не проявляют капиллярные свойства для материалов с величиной поверхностного натяжения более 200 мН м-1, удалось решить эту проблему. Используют растворители, имеющие низкое поверхностное натяжение и способных по этой причине проникать в нанотрубки за счет явлений капиллярности. При этом в качестве растворителя используют концентрированную азотную кислоту, поверхностное натяжение которой относительно невелико ( около 43 мН м-1).
Существует другой эффективный способ получения нанотрубок, заполнение металлами и их соединениями, основан на технологии каталитического синтеза нанотрубок, в которых металлы используются в качестве катализатора. Т.е. отверстие в аноде заполняется смесью графитового и металлического порошка.
Применение нанотрубок в электронике.
Хотя технологические применения нанотрубок, основанные на их высокой удельной поверхности, представляют значительный прикладной интерес, наиболее привлекательными представляются те направления использования нанотрубок, которые связаны с разработками в различных областях современной электроники. Такие свойства нанотрубок, как малые размеры, меняющиеся в различных пределах, в зависимости от условий синтеза, электропроводность, механическая прочность и химическая стабильность, позволяют рассматривать нанотрубки в качестве основы будущих элементов микроэлектроники. Было рассчитано, что внедрение в идеальную структуру однослойной нанотрубки в качестве дефекта пары пятиугольник-семиугольник изменяет ее хиральность и, как следствие, ее электронные свойства. Конкретно была рассмотрена структура (8,0)/(7,1). Как следует из расчетов трубка с хиральностью (8,0) представляет собой полупроводник с шириной запрещенной зоны 1,2 эВ, в то время как трубка с хиральностью (7,1) является полуметаллом для которого ширина запрещенной зоны равна нулю. Аналогичным образом в результате внедрения дефекта могут быть получены гетеропереходы полупроводник-полупроводник с различными значениями ширины запрещенной зоны. Тем самым нанотрубка с внедренным в нее дефектом может рассматриваться как гетеропереход металл-полупроводник, который, в принципе, может составить основу полупроводникового элемента рекордно малых размеров.
Возможности применения нанотрубок в электронике не ограничиваются областью создания на их основе новых типов миниатюрных элементов электронных схем. Наряду с этим нанотрубки могут служить основой тончайшего измерительного инструмента, используемого для контроля неоднородностей поверхностей таких схем. В одной из работ в данном направлении была использована многослойная нанотрубка в качестве зонда для исследования поверхности на нанометровом уровне. Преимущества использования для этой цели нанотрубок связаны с их чрезвычайно высокой механической прочностью, на которую указывают в частности, результаты прямых измерений, согласно которым модуль Юнга нанотрубок в аксиальном направлении составляет порядка 7000 ГПа, в то время как для стали и иридия, традиционно используемых для изготовления таких зондов, значение этого параметра составляет 200 и 500 ГПа соответственно.
Заключение
Открытие углеродных нанотрубок относится к наиболее значительным достижениям современной науки. Эта форма углерода по своей структуре занимает промежуточное положение между графитом и фуллереном. Однако многие свойства углеродных нанотрубок не имеют ничего общего ни с графитом, ни с фуллереном. Это позволяет рассматривать и исследовать нанотрубки как самостоятельный материал, обладающий уникальными физико-химическими характеристиками.
Исследования углеродных нанотрубок представляют значительный фундаментальный и прикладной интерес. Фундаментальный интерес к этому объекту обусловлен, в первую очередь, его необычной структурой и широким диапазоном изменения физико-химических свойств в зависимости от хиральности.
К проблеме исследования фундаментальных свойств углеродных нанотрубок вплотную примыкает проблема прикладного использования. Решение этой проблемы, в свою очередь, от создания способов дешевого получения углеродных нанотрубок в больших количествах. Эта проблема пока исключает возможность крупномасштабного применения этого материала. Тем не менее такие свойства нанотрубок, как сверхминиатюрные размеры, хорошая электропроводность, высокие эмиссионные характеристики, высокая химическая стабильность при существующей пористости и способность присоединять к себе различные химические радикалы, позволяют надеяться на эффективное применение нанотрубок в таких областях, как измерительная техника, электроника и наноэлектроника, химическая технология и др. В случае успешного решения этих задач мы станем свидетелями еще одного примере эффективного влияния фундаментальных исследований на научно технический прогресс.