Матричный анализ
МАТРИЧНЫЙ АНАЛИЗ. Функции от матриц
- Определение функции.
Df. Пусть
– функция скалярного аргумента. Требуется определить, что понимать под f(A), т.е. нужно распространить функцию f(x) на матричное значение аргумента
Решение этой задачи известно, когда f(x) – многочлен:
, тогда ![]()
Определение f(A) в общем случае
Пусть m(x) – минимальный многочлен А и он имеет такое каноническое разложение
,
,
– собственные значения А. Пусть многочлены g(x) и h(x) принимают одинаковые значения
Пусть g(A)=h(A) (1), тогда многочлен d(x)=g(x)-h(x) – аннулирующий многочлен для А, так как d(A)=0, следовательно, d(x) делится на линейный многочлен, т.е. d(x)=m(x)*q(x) (2)
Тогда
, т.е.
(3),
,
, ![]()
Условимся m чисел для f(x) таких
называть значениями функции f(x) на спектре матрицы А, а множество этих значений будем обозначать ![]()
Если множество f(Sp A) определено для f(x), то функция определена на спектре матрицы А
Из (3) следует, что многочлены h(x) и g(x) имеют одинаковые значения на спектре матрицы А
Наши рассуждения обратимы, т.е. из (3) Ю (3) Ю (1). Таким образом, если задана матрица А, то значение многочлена f(x) вполне определяется значениями этого многочлена на спектре матрицы А, т.е. все многочлены g i (x), принимающие одинаковые значения на спектре матрицы имеют одинаковые матричные значения g i (A). Потребуем, чтобы определение значения f(A) в общем случае подчинялось такому же принципу
Значения функции f(x) на спектре матрицы А должны полносильно определить f(A), т.е. функции, имеющие одни и те же значения на спектре должны иметь одно и то же матричное значение f(A). Очевидно, что для определения f(A) в общем случае, достаточно найти многочлен g(x), который бы принимал те же значения на спектре А, что и функция f(A)=g(A)
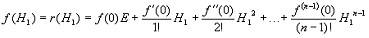
Df. Если f(x) определена на спектре матрицы А, то f(A)=g(A), где g(A) – многочлен, принимающий на спектре те же значения, что и f(A), ![]()
Df. Значением функции от матрицы А назовем значение многочлена от этой матрицы при ![]()
Среди многочленов из С(x), принимающих одинаковые значения на спектре матрицы А, что и f(x), степени не выше (m-1), принимающий одинаковые значения на спектре А, что и f(x) – это остаток от деления любого многочлена g(x), имеющего те же значения на спектре матрицы А, что и f(x), на минимальный многочлен m(x)=g(x)=m(x)*g(x)+r(x)
Этот многочлен r(x) называют интерполяционным многочленом Лагранжа-Сильвестра для функции f(x) на спектре матрицы А
Замечание. Если минимальный многочлен m(x) матрицы А не имеет кратных корней, т.е.
, то значение функции на спектре ![]()
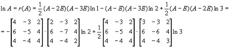
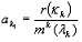
Пример:
Найти r(x) для произвольной f(x), если матрица
. Построим f(H 1 ). Найдем минимальный многочлен H 1 – последний инвариантный множитель (xE-H 1 ):
, d n-1 =x 2 ; d n-1 =1;
m x =f n (x)=d n (x)/d n-1 (x)=x n Ю 0 – n –кратный корень m(x), т.е. n-кратные собственные значения H 1
, r(0)=f(0), r’(0)=f’(0),…,r (n-1) (0)=f (n-1) (0) Ю ![]()
- Свойства функций от матриц.
Свойство № 1. Если матрица
имеет собственные значения
(среди них могут быть и кратные), а
, то собственными значениями матрицы f(A) являются собственные значения многочлена f(x): ![]()
Доказательство:
Пусть характеристический многочлен матрицы А имеет вид:
,
,
. Посчитаем
. Перейдем от равенства к определителям: ![]()

Сделаем замену в равенстве:
(*)
Равенство (*) справедливо для любого множества f(x), поэтому заменим многочлен f(x) на
, получим:
![]()
Слева мы получили характеристический многочлен для матрицы f(A), разложенный справа на линейные множители, откуда следует, что
– собственные значения матрицы f(A)
ЧТД
Свойство № 2. Пусть матрица
и
– собственные значения матрицы А, f(x) – произвольная функция, определенная на спектре матрицы А, тогда собственные значения матрицы f(A) равны ![]()
Доказательство:
Т.к. функция f(x) определена на спектре матрицы А, то существует интерполяционный многочлен матрицы r(x) такой, что
, а тогда f(A)=r(A), а у матрицы r(A) собственными значениями по свойству № 1 будут
которым соответственно равны ![]()
ЧТД
Свойство № 3. Если А и В подобные матрицы,
, т.е.
, и f(x) – произвольная функция, определенная на спектре матрицы А, тогда ![]()
Доказательство:
Т.к. А и В подобны, то их характеристические многочлены одинаковы Ю одинаковы и их собственные значения, поэтому значение f(x) на спектре матрицы А совпадает со значение функции f(x) на спектре матрицы В, при чем существует интерполяционный многочлен r(x) такой, что f(A)=r(A),
,
Ю ![]()
ЧТД
Свойство № 4. Если А – блочно-диагональная матрица
, то ![]()
Следствие: Если
, то
, где f(x) – функция, определенная на спектре матрицы А
- Интерполяционный многочлен Лагранжа-Сильвестра.
Случай № 1
Пусть дана
. Рассмотрим первый случай: характеристический многочлен
имеет ровно n корней, среди которых нет кратных, т.е. все собственные значения матрицы А различны, т.е.
, Sp A – простой. В этом случае построим базисные многочлены l k (x):

Пусть f(x) – функция, определенная на спектре матрицы А и значениями этой функции на спектре будут
. Надо построить ![]()
Построим:
![]()
Обратим внимание, что ![]()
![]()
![]()
Пример: Построить интерполяционный многочлен Лагранжа-Сильвестра для матрицы 
Построим базисные многочлены:
![]()
![]()
![]()
Тогда для функции f(x), определенной на спектре матрицы А, мы получим:
![]()
Возьмем
, тогда интерполяционный многочлен

Случай № 2
Характеристический многочлен матрицы А имеет кратные корни, но минимальный многочлен этой матрицы является делителем характеристического многочлена и имеет только простые корни, т.е.
. В этом случае интерполяционный многочлен строится так же как и в предыдущем случае
Случай № 3
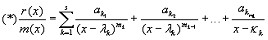
Рассмотрим общий случай. Пусть минимальный многочлен имеет вид:
,
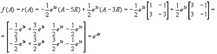
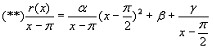
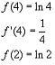
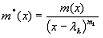
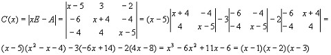
где m 1 +m 2 +…+m s =m, deg r(x) Составим дробно-рациональную функцию: Обозначим: где Если в (**) положить Для того, чтобы найти a k3 надо (**) продифференцировать дважды и т.д. Таким образом, коэффициент a ki определяется однозначно После нахождения всех коэффициентов вернемся к (*), умножим на m(x) и получим интерполяционный многочлен r(x), т.е Пример: Найти f(A), если Найдем минимальный многочлен матрицы А: Проверим, определена ли функция на спектре матрицы А Умножим (*) на (х-3) при х=3 Умножим (*) на (х-5) Таким образом, Пример 2 Если Найдем минимальный многочлен матрицы А: d 2 (x)=1, тогда минимальный многочлен Рассмотрим f(x)=sin x на спектре матрицы: Умножим (*) на Умножим (*) на Вычислим g , взяв производную (**): Итак, ЧТД Пример 3 Пусть f(x) определена на спектре матрицы, минимальный многочлен которой имеет вид Решение: По условию f(x) определена на спектре матрицы А Ю f(1), f’(1), f(2), f ‘(2), f ‘’ (2) определены Используем метод неопределенных коэффициентов: Если f(x)=ln x f(1)=0 f’(1)=1 f(2)=ln 2 f’(2)=0.5 f’’(2)=-0.25 4. Простые матрицы Пусть матрица Обозначим множество векторов удовлетворяющих собственному значению Теорема. Если квадратная матрица А имеет собственное значение DF . Размерность В свете этого определения теорема переформулируется следующим образом: Теорема. Алгебраическая кратность собственного значения не меньше его геометрической кратности DF . Матрица Из линейной алгебры следует, что матрица Если матрица А простая, тогда существует n линейно независимых собственных векторов x 1 , x 2 , …,x n таких, что Замечание. Обратим внимание на то, что собственные значения А и А’ совпадают. Действительно, собственные значения для А’ это значения Рассмотрим следующую конструкцию: если матрица А простая, то существует n линейно независимых собственных векторов x 1 , x 2 , …, x n и существует n линейно независимых собственных векторов y 1 , y 2 ,…,y n , где x 1 , x 2 , …, x n такие, что Запишем равенство (1) в виде DF . Множества векторов x 1 , x 2 , …, x n и y 1 , y 2 ,…,y n удовлетворяющие условию Учитывая равенство (**) и определение делаем вывод: множества левых и правых собственных векторов простой матрицы А квазиортогональны и Очень важной для матриц является следующая теорема: СПЕКТРАЛЬНАЯ ТЕОРЕМА. Если А – простая матрица порядка n над полем С и p(x) многочлен из кольца C(x), и x 1 , x 2 , …, x n и y 1 , y 2 ,…,y n – множества правых и левых собственных векторов матрицы А, то Следствие . Сопутствующие матрицы обладают следующими свойства: Пример. Показать, что матрица Решение: существуют 2 линейно независимые правые и левые системы собственных векторов Найдем правые собственные векторы: Найдем левые собственные векторы: Найдем сопутствующие матрицы: 5.Спектральное разложение функции f(A) Спектральное разложение для f(A) имеет важное значение и очевидно тесно примыкает к спектральной теореме для простых матриц Пусть дана матрица Теорема. Если Доказательство: заметим, что ЧТД Опишем следующие свойств компонентных матриц, которые в некоторой степени обобщают свойства сопровождающих матриц Теорема . Компонентные матрицы Замечание. Для того, чтобы найти компонентные матрицы для f(x) определенной на спектре матрицы А необходимо и достаточно знать базисные многочлены, входящие в интерполяционный многочлен, однако нахождение интерполяционного многочлена f(x) связано с некоторыми трудностями, а поэтому будем вычислять компонентные матрицы подбирая соответствующим образом системы функций Пример: Найти компоненты для матрицы Пусть f(x) определена на спектре А, тогда согласно спектральной теореме E=1Z 11 +0Z 12 +1Z 21 =Z 11 +Z 21 A-4E=0Z 11 +1Z 12+ (-2 ) Z 21 =Z 12 -2Z 21 (A-4E) 2 =4Z 21 Таким образом, для любой функции f(x), определенное на спектре матрицы А Пример 2 Найти компоненты для матрицы Найдем минимальный многочлен матрицы А E=Z 11 +Z 21 +Z 31 (A+E)=2Z 21 +Z 31 +Z 12 (A+E) 2 =4Z 21 +Z 31 A-E=-2Z 11 +Z 12 -Z 31 1. f(x)=1 E=Z 11 +Z 21 +Z 31 2. f(x)=x+1 A+E=Z 11 Z 22 +2Z 31 3. f(x)=(x+1) 2 (A+E) 2 =Z 11 +4Z 31 4. f(x)=x-1 (A-E)=-Z 11 -2Z 21 +Z 22 Z 31 =A -Z 22 =(A+E) 2 -E-3A Z 12 =Z 22 Z 11 =(E-A)-Z 22 6.Определенные матрицы Эрмитовы и квадратичные матрицы Пусть А – эрмитова матрица (А * =А) Рассмотрим функцию h(x) – действительная функция комплексного аргумента Рассмотрим: DF . Функция Очевидно, что если А – действительная симметрическая матрица, то в этом случае получаем квадратичную форму Для каждой эрмитовой (квадратичной) формы инвариантами являются: ранг (число не нулевых коэффициентов в квадратичной форме нормального вида совпадающих с рангом матрицы А), p (индекс) – число положительных коэффициентов в квадратичной форме нормального вида, оно совпадает с числом положительных собственных значений, сигнатура . Эти числа r, p, гр-r не зависят от тех преобразований, которые совершаются над данными формами В дальнейшем ограничимся рассмотрением только квадратичных форм. Нас интересуют 2 семейства матриц DF . Действительная симметрическая матрица А называется положительно определенной , если DF . Действительная симметрическая матрица А называется неотрицательно определенной , если Оба типа матриц относятся к классу определенных матриц. Заметим, что положительно определенная матрица невырожденная, т.е. если предположить, что она вырожденная, то Теорема № 1. Действительная симметрическая матрица n-го порядка будет определенной ранга Теорема № 2. Действительная симметрическая матрица положительна определена тогда и только тогда, когда все ее главные миноры положительны Теорема № 3 . Действительная симметрическая матрица положительно определена тогда и только тогда, когда все ее главные миноры положительны 7.Неотрицательные матрицы DF . Матрица Квадратные матрицы такого типа возникают во множестве задач и это определяющее свойство приводит к сильным результатам об их строении. Теорема Фробениуса-Перона является основным результатом для неотрицательных матриц Пусть матрицы Вспомним матрицу перестановки DF . При Понятие приводимости имеет значение при решении матричных уравнений Интересно, что явление приводимости не связано с величиной матрицы, а зависит лишь от расположения нулевых элементов в матрице В связи с этим, используют идею направленного графа матрицы, которую можно взять в качестве характеризации неприводимости матрицы. Наметим первые шаги тоерии и получим вторую характеризацию неприводимости матриц DF . Пусть р 1 , р 2 , …, р n – n различных точек комплексной плоскости и Например: DF . Говорят, что любой направленный граф связен, если для каждой пары точек Легко доказать, что квадратная матрица неприводима тогда и только тогда, когда ее граф является связным 8.Теорема Фробениуса-Перона Очевидно, что если Лемма № 1. Если матрица Доказательство: Если взять произвольный вектор Учитывая, что Для следующего вектора повторим рассуждения и т.д. В итоге получим, что для некоторого ненулевого вектора y ЧТД Для ненулевой неприводимой матрицы А рассмотрим действительную функцию r(x), определенную для ненулевых векторов Очевидно, что r(x) инвариантна относительна замены x на Однако, r(x) может иметь разрывы в точках, где координата x обращается в 0, поэтому рассмотрим множество векторов Обозначим через Замечание. Могут существовать и другие векторы в L для которых r(x) принимает значение r, поэтому любой такой вектор называется экстремальным для матрицы А (Az=rz) Интерес к числу r объясняется следующим результатом Лемма № 2. Если матрица Основным результатом является теорема Фробениуса-Перона для непрерывных матриц Теорема Фробениуса-Перона . Если матрица Эта теорема была опубликована в 1912 году Фробениусом и явилась обобщением теоремы Перона, которая является следствием Теорме Перона (следствие). Положительная квадратная матрица А имеет положительное и действительное собственное значение r, имеющее алгебраическую кратность 1 и превосходит модули всех других собственных значений матрицы А. Этому r соответствует положительный собственный вектор Используя теорему Фробениуса-Перона, можно найти максимальное действительное значение матрицы, не используя характеристического многочлена матрицы
и разложим ее на простейшие дроби 
. Умножим (*) на
и получим 
– некоторая функция, не обращающаяся в бесконечность при ![]()
, получим: ![]()


, где t – некоторый параметр, ![]()
![]()
![]()
![]()
![]()
![]()

![]()
Ю ![]()
![]()
![]()
- интерполяционный многочлен 
, то доказать, что ![]()
- характеристический многочлен ![]()
![]()
![]()
![]()

Ю функция является определенной на спектре ![]()
Ю 
: 

. Полагая
,
, т.е. ![]()
,
,
, 
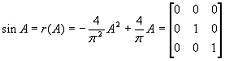
. Найти интерполяционный многочлен r(x) для функции f(x) ![]()
![]()
![]()
![]()
![]()
![]()


, так как С алгебраически замкнутое поле, то характеристический многочлен
, где
, k i – алгебраическая кратность корня ![]()
![]()
- подпространство,
, где r – ранг матрицы ![]()
, а матрица
имеет
, то
имеет кратность ![]()
называется геометрической кратностью собственного значения ![]()
называется простой, если аглебраическая кратность каждого ее собственного значения совпадает с его геометрической кратностью
простая тогда и только тогда, когда ![]()
, для
. Запишем это равенство в матричном виде: ![]()
, т.е. А – простая тогда и только тогда, когда
и ![]()
. Таким образом характеристические многочлены матриц совпадают. Размерность
, тогда
. Поэтому, если
- собственное значение матрицы А, то и
является собственным значением матрицы А’, т.е. существует
, что
(*) или
. Транспонируем (*) и получим
(транспонируем это равенство). В этом случае
называют левым собственным вектором матрицы А. Соответственно,
- называют правым собственным подпространством,
- называют левым собственным подпространством
,
(1); y 1 , y 2 ,…,y n такие, что
(2), ![]()
(3) Ю что, если А – простая, то существуют матрицы X и Y, что
или
(**)
, т.е.
называются квазиортогональными ![]()
, а сопутствующая матрица
, где ![]()
![]()
![]()
![]()
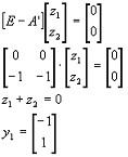
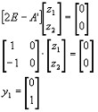
простая. Найти сопутствующие матрицы для матрицы А и использовать их для А 20 , p(x)=x 20 ![]()
![]()
Ю 




![]()
![]()
![]()
и пусть
, ![]()
, а функция f(x) определена на спектре матрицы А и
- значение j-й производной от f(x) в собственном значении
, где
,
, то существуют такие независимые от f(x) матрицы
, что (1)
, при чем
коммутирует с матрицей А и образуют линейно независимую систему в пространстве ![]()
и
, где
- базисные многочлены, принимающие одинаковые значения на спектре матрицы А,
(3). Сравнивая (1) и (2) и учитывая (3) получим, что
. Матрицы
называются компонентами матрицы А или компонентными матрицами
обладают следующими свойствами: ![]()
![]()
![]()
![]()

![]()
![]()





![]()








![]()
![]()

![]()


![]()
, где А – эрмитова матрица, называется эрмитовой формой от n переменных x 1 , …, x n , где А – матрица эрмитовой формы ![]()
для ![]()
для ![]()
,
, что противоречит условию
тогда и только тогда , когда она имеет r положительных собственных значений, а остальные (n-r) – собственные значения равны 0
называется неотрицательной, если каждый ее элемент положителен
. Будем говорить, что
, если
б в частности A>B, если ![]()
, т.е. матрицы перестановки обязательно ортогональны. Произведение
приводит к перестановке столбцов матрицы А
матрица
называется приводимой матрицей , если существует такая матрица перестановки Р, что
совподает с матрицей
, где А 11 , А 12 , А 22 – квадратные матрицы меньшего чем n порядка. Если матрица Р не существует, то матрица А называется неприводимой
, ибо если Ф – приводима, то осуществив замену переменных, которую подсказывают равенства
, получаем
, где
, ![]()
и решаем матричное уравнение с матрицей более низкого порядка. Затем,
и решаем матричное уравнение. Таким образом, если А – приводима, то решение уравнения высокого порядка сводится к решению уравнений более низкого порядка, при чем собственные значения матриц А 11 и А 22 в своей совокупности составляет множество значений матрицы А
. Для каждого нулевого элемента матрицы А
составим направленную линию от р i к р j
. Получающаяся в результате фигура на комплексной плоскости называется направленным графом матрицы 
существует направленный путь ![]()
, то для ![]()
. Более того, мы покажем, что для достаточно больших p ![]()
неотрицательна и неприводима, то ![]()
и
, то
. И пусть вектор
имеет место, очевидно, что Z имеет по крайней мере столько же нулевых положительных элементов, что и y. В самом деле, если предположить, что Z имеет меньше нулевых компонент, то обозначим
, тогда
и разбив матрицу А на блоки следующим образом
мы будем иметь ![]()
, то
, тогда получаем, что
, что противоречит неприводимости матрицы ![]()
следующим образом:
, (Ax) i – i-я координата вектора Ах
. Из определения следует, что
и кроме того, r(x) –такое наименьшее значение
, что ![]()
, поэтому в дальнейшем можно рассматривать замкнутое множество
, такое ![]()
и обозначим
. По лемме № 1 каждый вектор из N будет положительным, а поэтому
т.е.
для ![]()
наибольшее число, для которого
,
.
– спектральный радиус матрицы А . Если
Можно показать, что существует вектор y, что ![]()
неотрицательна и неприводима, то число ![]()
является собственным значением матрицы А, кроме того каждый экстремальный вектор для А положителен и является правым собственным вектором для А, отвечающим собственному значению r
неотрицательна и неприводима, то: