Метод Гаусса
МЕТОД ГАУССАОГЛАВЛЕНИЕ
- Историческая справка
- Краткая теория
- Методические рекомендации по выполнению заданий.
- Примеры выполнения заданий.
- Историческая справка
ГАУСС (Gaus ) Карл Фридрих (1777-1855), нем. математик, ин. ч.-к. (1802) и ин. поч. ч. (1824) Петерб. АН. Для творчества Г. характерна органич. связь между теоретич. и прикладной матедатикой, широта проблематики. Тр. Г. оказали большое влияние на развитие алгебры (доказательство осн. теоремы алгебры), теории чисел (квадратичные вычеты), дифференц. геометрии (внутр. геометрия поверхностей), матем. физики (принцип Г.), теории электричества и магнетизма, геодезии (разработка метода наименьших квадратов) и мн. разделов астрономии
- КРАТКАЯ ТЕОРИЯ .
Пусть дана система линейных уравнений
(1)
Коэффициенты a 11 , 12 ,..., a 1n , ... , a n1 , b 2 , ... , b n считаются заданными
Вектор -строка н x 1 , x 2 , ... , x n э - называется решением системы (1), если при подстановке этих чисел вместо переменных все уравнения системы (1) обращаются в верное равенство
Определитель n-го порядка D = з A к = з a ij з , составленный из коэффициентов при неизвестных , называется определителем системы (1). В зависимости от определителя системы (1) различают следующие случаи
a). Если D № 0 , то система (1) имеет единственное решение, которое может быть найдено методом ГАУССА
б). Если D = 0 , то система (1) либо имеет бесконечное множество решений , либо несовместна ,т.е. решений нет
2. МЕТОДИЧЕСКИЕ РЕКОМЕНДАЦИИ
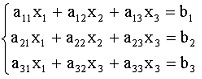
1. Рассмотрим систему 3-х линейных уравнений с тремя неизвестными
(2)
Метод Гаусса решения системы (2) состоит в следующем:
Разделим все члены первого уравнения на
, а затем ,умножив полученное уравнение на
, вычтем его соответственно из второго и третьего уравнений системы (2). Тогда из второго и третьего уравнений неизвестное
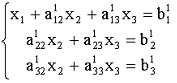
будет исключено ,и получиться система вида:
(3)
Теперь разделим второе уравнение системы (3) на
, умножим полученное уравнение на
и вычтем из третьего уравнения. Тогда из третьего уравнения неизвестное
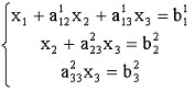
будет исключено и получиться система треугольного вида :
(4)
Из последнего уравнения системы (4) находим
,подставляя найденное
подставляя найденное значение в первое уравнение , находим ![]()
3. ПРИМЕР
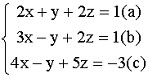
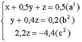
Методом Гаусса решить систему:

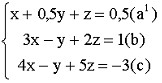
Решение: Разделив уравнение (а) на 2 , получим систему 
Вычтем из уравнения (b) уравнение
, умноженное на 3, а из уравнения (c) -
уравнение
, умноженное на 4

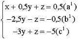
Разделив уравнение
(
) на -2,5 , получим : 
Вычтем из уравнения (
) уравнение
, умноженное на -3:

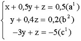
Из уравнения
находим Z=-2; подставив это значение в уравнение
, получим Y=0,2-0,4Z=0,2-0,4(-2)=1; наконец , подставив значение Z=-2 и Y=1 в уравнение( a 1 ) , находим X=0,5-0,5Y-Z=0,5-0,5 1 - (-2)=2. Итак, получаем ответ X=2, Y=1, Z=-2
Проверка:
