Метод Гаусса с выбором главного элемента
МЕТОД ГАУССА С ВЫБОРОМ ГЛАВНОГО ЭЛЕМЕНТА.
- Основная идея метода. Может оказаться, что система
Ax=f (1)
имеет единственное решение, хотя какой-либо из угловых миноров матрицы А равен нулю. В этом случае обычный метод Гаусса оказывается непригодным, но может быть применен метод Гаусса с выбором главного элемента.
Основная идея метода состоит в том, чтобы на очередном шаге исключать не следующее по номеру неизвестное, а то неизвестное, коэффициент при котором является наибольшим по модулю. Таким образом, в качестве ведущего элемента здесь выбирается главный, т.е. наибольший по модулю элемент. Тем самым, если
, то в процессе вычислений не будет происходить деление на нуль.
Различные варианты метода Гаусса с выбором главного элемента проиллюстрируем на примере системы из двух уравнений
(2)
![]()
![]()
![]()
Предположим, что
. Тогда на первом шаге будем исключать переменное
. Такой прием эквивалентен тому, что система (2) переписывается в виде
(3)
![]()
и к (3) применяется первый шаг обычного метода Гаусса. Указанный способ исключения называется методом Гаусса с выбором главного элемента по строке. Он эквивалентен применению обычного метода Гаусса к системе, в которой на каждом шаге исключения проводится соответствующая перенумерация переменных.
Применяется также метод Гаусса с выбором главного элемента по столбцу. Предположим, что
. Перепишем систему (2) в виде
![]()
и к новой системе применим на первом шаге обычный метод Гаусса. Таким образом, метод Гаусса с выбором главного элемента по столбцу эквивалентен применению обычного метода Гаусса к системе, в которой на каждом шаге исключения проводится соответствующая перенумерация уравнений.
Иногда применяется и метод Гаусса с выбором главного элемента по всей матрице, когда в качестве ведущего выбирается максимальный по модулю элемент среди всех элементов матрицы системы.
- Матрицы перестановок. Ранее было показано, что обычный метод Гаусса можно записать в виде
![]()
где
-элементарные нижние треугольные матрицы. Чтобы получить аналогичную запись метода Гаусса с выбором главного элемента, необходимо рассмотреть матрицы перестановок.
ОПРЕДЕЛЕНИЕ 1. Матрицей перестановок Р называется квадратная матрица, у которой в каждой строке и в каждом столбце только один элемент отличен от нуля и равен единице.
ОПРЕДЕЛЕНИЕ 2. Элементарной матрицей перестановок
называется матрица, полученная из единичной матрицы перестановкой
к-й и l-й строк.
Например, элементарными матрицами перестановок третьего порядка являются матрицы
Можно отметить следующие свойства элементарных матриц перестановок, вытекающие непосредственно из их определения .
- Произведение двух (а следовательно, и любого числа) элементарных матриц перестановок является матрицей перестановок (не обязательно элементарной).
- Для любой квадратной матрицы А матрица
отличается от А перестановкой к-й и l-й строк. - Для любой квадратной матрицы А матрица
отличается от А перестановкой к-го и l-го столбцов.
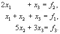
Применение элементарных матриц перестановок для описания метода Гаусса с выбором главного элемента по столбцу можно пояснить на следующем примере системы третьего порядка:
(4)
Система имеет вид (1), где
(5)
Максимальный элемент первого столбца матрицы А находится во второй строке. Поэтому надо поменять местами вторую и первую строки и перейти к эквивалентной системе
(6)
Систему (6) можно записать в виде
(7)
т.е. она получается из системы (4) путем умножения на матрицу
перестановок
Далее, к системе (6) надо применить первый шаг обычного метода исключения Гаусса. Этот шаг эквивалентен умножению системы (7) на элементарную нижнюю треугольную матрицу

В результате от системы (7) перейдем к эквивалентной системе
(8)
или в развернутом виде
(9)
Из последних двух уравнений системы (9) надо теперь исключить переменное
. Поскольку максимальным элементом первого столбца укороченной системы
(10)
является элемент второй строки, делаем в (10) перестановку строк и тем самым от системы (9) переходим к эквивалентной системе
(11)
которую можно записать в матричном виде как
. (12)
Таким образом система (12) получена из (8) применением элемен-тарной матрицы перестановок

Далее к системе (11) надо применить второй шаг исключения обычного метода Гаусса. Это эквивалентно умножению системы (11) на элементарную нижнюю треугольную матрицу

В результате получим систему
(13)
или
(14)
Заключительный шаг прямого хода метода Гаусса состоит в замене последнего уравнения системы (14) уравнением

что эквивалентно умножению (13) на элементарную нижнюю треугольную матрицу

Таким образом, для рассмотренного примера процесс исключения Гаусса с выбором главного элемента по столбцу записывается в
виде
(15)
По построению матрица
(16)
является верхней треугольной матрицей с единичной главной диагональю.
Отличие от обычного метода Гаусса состоит в том, что в качестве сомножителей в (16) наряду с элементарными треугольными матрицами
могут присутствовать элементарные матрицы перестановок
.
Покажем еще, что из (16) следует разложение
PA=LU, (17)
где L -нижняя треугольная матрица, имеющая обратную, P - матрица перестановок.
Для этого найдем матрицу
(18)
По свойству 2) матрица
получается из матрицы
перестановкой второй и третьей строк,

Матрица
согласно свойству 3) получается из
перестановкой второго и третьего столбцов

т.е.
-нижняя треугольная матрица, имеющая обратную.
Из (18), учитывая равенство
, получим
(19)
Отсюда и из (16) видно, что
![]()
где обозначено
. Поскольку Р-матрица перестановок и L-нижняя треугольная матрица, свойство (17) доказано. Оно означает, что метод Гаусса с выбором главного элемента по столбцу эквивалентен обычному методу Гаусса, примененному к матрице РА, т.е. к системе, полученной из исходной системы перестановкой некоторых уравнений.
- Общий вывод. Результат, полученный ранее для очень частного примера, справедлив и в случае общей системы уравнений (1).
А именно, метод Гаусса с выбором главного элемента по столбцу можно записать в виде
(20)
где
- элементарные матрицы перестановок такие, что
и
-элементарные нижние треугольные матрицы.
Отсюда, используя соотношения перестановочности, аналогичные (19), можно показать, что метод Гаусса с выбором главного элемента эквивалентен обычному методу Гаусса, примененному к системе
PAx=Pf, (21)
где Р - некоторая матрица перестановок.
Теоретическое обоснование метода Гаусса с выбором главного элемента содержится в следующей теореме.
ТЕОРЕМА 1. Если
то существует матрица перестано-
вок Р такая, что матрица РА имеет отличные от нуля угловые ми-
норы.
Доказательство в п.4.
СЛЕДСТВИЕ. Если
то существует матрица престана-
вок Р такая, что справедливо разложение
РА=LU, (22)
где L- нижняя треугольная матрица с отличными от нуля диагональными элементами и U- верхняя треугольная матрица с единичной главной диагональю. В этом случае для решения системы (1) можно применять метод Гаусса с выбором главного элемента.
4. Доказательство теоремы 1. Докажем теорему индукцией по числу m -порядку матрицы А.
Пусть m=2, т.е.

Если
то утверждение теоремы выполняется при Р=Е, где Е - единичная матрица второго порядка. Если
, то
, т.к.
При этом у матрицы

все угловые миноры отличны от нуля.
Пусть утверждение теоремы верно для любых квадратных матриц порядка m-1. Покажем, что оно верно и .для матриц порядка m. Разобьем матрицу А порядка m на блоки

где


![]()
Достаточно рассмотреть два случая :
и
. В первом случае по предположению индукции существует матрица перестановок
порядка m-1 такая, что
имеет отличные от нуля угловые миноры. Тогда для матрицы перестановок

имеем

причем
. Тем самым все угловые миноры матрицы РА отличны от нуля.
Рассмотрим второй случай, когда
. Т.к.
, найдется хотя бы один отличный от нуля минор порядка m-1 матрицы А, полученный вычеркиванием последнего столбца и какой-либо строки. Пусть, например,

где
.
Переставляя в матрице А строки с номерами l и m, получим матрицу
, у которой угловой минор порядка m-1 имеет вид

и отличается от (23) только перестановкой строк. Следовательно, этот минор не равен нулю и мы приходим к рассмотренному выше случаю.
Теорема доказана.