Надійність електронних апаратів
Надійність електронних апаратів
Содержание
1. Безвідмовність неремонтованих пристроїв
2. Безвідмовність ремонтованих ЕПА
3. Закони розподілу часу безвідмовної роботи
3.2 Експоненціальний розподіл
3.4 Закон нормального розподілу
4. Ремонтопридатність ЕА
6. Здатність до зберігання ЕА
1. Безвідмовність неремонтованих пристроїв
Надійність має комплексну властивість. У залежності від призначення ЕА та умов її експлуатації надійність може включати в себе безвідмовність, ремонтопридатність, довговічність і здатність до зберігання. Зупинимося на цих властивостях апаратури більш детально.
Поняття безвідмовності є одним з важливіших у теорії надійності. Під безвідмовністю розуміється властивість апаратури безперервно зберігати працездатність протягом деякого часу або деякого напрацювання.
Основною кількісною мірою є ймовірність безвідмовної роботи P (t) - ймовірність того, що в межах заданого напрацювання відмова апарата не виникне.
„Напрацювання" - термін, який визначає довготривалість роботи апаратури. Виникнення відмови є випадковою подією, а тому час появи відмови t0 - також випадкова величина (t01, t02, …, t0n).
Позначимо через t0 - час справної роботи апарата. Якщо взяти будь-який довільно вибраний елемент, то заздалегідь неможливо сказати, скільки часу він пропрацює до відмови, але можна визначити ймовірність того, що він не відмовить за деякий інтервал часу t0. Тоді ймовірність безвідмовної роботи можна представити як ймовірність того, що час безвідмовної роботи t0 апаратури більше деякого заданого часу.
![]()
Звичайно, що чим більше заданий проміжок часу, для якого визначається надійність, тим менше значення безвідмовної роботи і навпаки. Практично величина ймовірності безвідмовної роботи визначається статистичним шляхом за інформацією про відмови за вибраний проміжок часу:
(1)
де N - кількість приладів на початку випробовувань;
ni - кількість приладів, які відмовити за час ti.
При значній кількості приладів статистична ймовірність
наближається до ймовірності P (t).
Надійність об’єкта інколи зручніше характеризувати ймовірністю відмови:
(2)
Таким чином, ймовірність появи відмови q (t) можна розглядати як ймовірність того, що випадкова величина t0 набуде значення менше часу t, який розглядається. Це дозволяє розглядати q (t) як функцію розподілу випадкової величини t0 - часу до появи відмови.
Наведемо функціональні залежності ймовірностей безвідмовної роботи та відмови.

Рисунок 1 - Функціональна залежність P (t) та q (t)
Розглянемо більш докладно безвідмовність неремонтованих елементів. Показниками безвідмовності неремонтованих елементів є: ймовірність безвідмовної роботи P (t), частота відмов f (t), інтенсивність відмов λ (t) та середнє напрацювання до першої відмови Тср.
Під частотою відмов елементів (об’єктів) розуміють кількість відмов в одиницю часу, віднесену до початкової кількості поставлених на випробовування елементів. За статистичними даними частота відмов:
(3)
де Δni - кількість відмов за інтервал часу Δti; N - кількість поставлених на випробування елементів; Δti - час випробовувань.
При цьому елементи, які відмовили у процесі випробовування, не замінюються новими і кількість працюючих елементів поступово зменшується.
Функцію частоти відмов можна записати у такому вигляді:
(4)
При Δt→0 ймовірність відмови за час від 0 до t може бути визначена інтегруванням функції f (t) у цьому ж інтервалі:

Тоді за час t ймовірність безвідмовної роботи:
(5)
Щоб отримати залежність між P (t) та f (t) у більш наочному вигляді, слід продиференціювати попереднє рівняння (5). Отримуємо:
або
(6)
Таким чином, функція частоти відмов f (t) є похідна від функції ймовірності безвідмовної роботи P (t), яка береться зі зворотним знаком. Вона характеризує швидкість зменшення надійності у часі.
Оскільки
то замінивши у рівнянні (6) - P′ (t) на q′ (t), отримаємо частоту відмов:
(7)
Але q (t) є інтегральний закон розподілу часу безвідмовної роботи t0, похідна від якого являє собою щільність розподілу ймовірності випадкової величини t0. Отже, функція частоти відмов f (t) - це щільність розподілу часу безвідмовної роботи, тобто диференціальний закон розподілу випадкової величини t0.
Отримані формули (5), (6) та (7) визначають взаємодії P (t),q (t) і f (t).
Для системи, яка складається з ряду послідовно з’єднаних елементів, ймовірність безвідмовної роботи можна показати у вигляді добутку ймовірностей безвідмовної роботи всіх елементів:
(8)
Критерієм, який найбільш повно характеризує надійність неремонтованих об’єктів, є інтенсивність відмов. На відміну від частоти відмов f (t), інтенсивність відмов характеризує надійність об’єкта у кожен даний момент, тобто його локальну надійність. Під інтенсивністю відмов слід розуміти кількість відмов в одиницю часу, віднесену до середньої кількості елементів, безвідмовно працюючих у даний проміжок часу. При цьому елементи, які відмовили, не замінюються новими.
З експериментальних даних ця характеристика знаходиться за формулою:
(9)
де Δni - кількість відмов за проміжок часу Δti;
Ncp= (Ni=Ni+1) /2 - середня кількість працездатних елементів;
Ni - кількість елементів, працездатних на початку даного проміжку часу;
Ni+1 - кількість елементів, працездатних у кінці проміжку часу Δti.
Інтенсивність відмов λ (t) пов’язана однозначною залежністю з частотою відмов f (t) та ймовірністю безвідмовної роботи приладів P (t). Для того, щоб знайти цю залежність, змінимо формулу (9), розділивши чисельник і знаменник на N·Δt, та, скориставшись співвідношеннями (1) і (3), отримаємо:
(10)
де N - кількість елементів на початку експерименту;
ncp - середня кількість елементів, які відмовили за час Δti.
Якщо перейти від дискретного поняття до безперервного, з урахуванням формули (6), отримаємо:

або після диференціювання:

Розв’язання цього диференціального рівняння відносно P (t) має вигляд:
(11)
Значення постійної С знайдемо, скориставшись початковими умовами t=0 і P (0) =1, отже C=0.
Таким чином, остаточне розв’язання диференціального рівняння (11) має вигляд:
(12)
Якщо апаратура містить N послідовно включених однотипних елементів, то інтенсивність запишеться:
(13)
За наявності К груп різних елементів в апаратурі отримаємо суму:
(14)
Залежність інтенсивності відмов від часу експлуатації для складної апаратури має вигляд:

І - область приробітку; ІІ - нормальна експлуатація; ІІІ - область старіння
Рисунок 2 - Залежність інтенсивності відмов від часу експлуатації
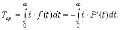
Останній показник - середнє напрацювання до першої відмови Тср.
Середнім напрацювання до першої відмови Тср називається математичне сподівання роботи до першої відмови.
Середній час безвідмовної роботи можна зв’язати аналітичною залежністю з P (t), якщо скористаємося відомим з теорії ймовірності співвідношенням між математичним сподіванням випадкової величини та диференціальним законом її розподілу:
(0≤ х< ∞).
Але через те, що час безвідмовної роботи не може мати від’ємних значень, проведемо інтегрування для середнього напрацювання Тср від 0 до ∞. Тоді з урахуванням формули (6) маємо:
(15)
Зробимо інтегрування отриманої формули за частинами:

Очевидно, що
у зв’язку з тим, що при верхній границі P (t) швидше наближається до нуля, ніж t 4
. Тоді середнє напрацювання до першої відмови можна знайти за формулою:
(16)
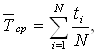
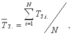
За даними експерименту Тср однотипних елементів визначається як:

де ti - час справної роботи і-го елемента;
N - загальна кількість елементів в експерименті.
Практично ж знати час довготривалості справної роботи ti всіх елементів неможливо.
Тоді:
(17)
де Δпі - кількість елементів, які відмовили за інтервал часу Δt= (ti+1-ti);
ti - час на початку і-го інтервалу; ti+1 - час в кінці і-го інтервалу. При цьому tср. і= (ti+ti+1) /2; m= tN /Δt - кількість елементів, що відмовили за інтервал Δt; tN - час, протягом якого відмовили всі елементи.
Отриманий показник середнього напрацювання до першої відмови найбільш зручний для оцінки надійності неремонтованих (не відновлювальних) елементів.
надійність електронний апарат безвідмовний
2. Безвідмовність ремонтованих ЕПА
![]() |
Для ремонтованих апаратів характерне чергування справного стану та ремонту після відмови, тобто процес її експлуатації можна подати (показати) як послідовність чергування інтервалів часу працездатного і непрацездатного стану.
Рисунок 3 - Процес експлуатації ремонтованого об’єкта
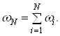
Появу відмов у кожному з N об’єктів можна розглядати як потік вимог до ремонту. Показниками безвідмовності ремонтованих об’єктів є: ймовірність безвідмовної роботи P (t), параметр потоку відмов ω (t), середнє напрацювання на відмову. Параметр потоку відмов (середня кількість відмов за час потоку, який розглядається) це:
(18)
де N - кількість об’єктів, поставлених на випробування.
При цьому кількість об’єктів (апаратів) у процесі випробування (експерименту) залишається незмінною, тобто об’єкти, які відмовили, замінюються новими. Умови заміни об’єктів, які відмовили під час випробовування, відображають реальний процес експлуатації, коли замість об’єктів (елементів), які відмовили, ставлять нові. У складних пристроях підсумковий потік відмов дорівнює сумі потоків відмов окремих пристроїв:
(19)
Основним типом потоку відмов ЕА в умовах експлуатації є найпростіший, тобто потік, який задовольняє умовам ординарності, стаціонарності та відсутності післядії.
Для ремонтованих апаратів зручним для практики критерієм надійності є середня кількість годин роботи між двома сусідніми відмовами, зазвичай її називають напрацюванням на відмову
.
Значення розглянутих показників можуть бути знайдені за результатами обробки статистичного матеріалу, отриманого під час експлуатації або спеціально проведених експериментів з групою однотипних приладів. Таким чином, якщо апаратура визначеного типу пропрацювала сумарний час tΣ та при цьому мала п відмов, то напрацювання на відмову:
(20)
Якщо випробовуванням підлягають N однотипних об’єктів, то необхідно знайти сумарний час справної роботи всіх об’єктів та розділити його на загальну кількість відмов:
(21)
Для найпростішого потоку параметр потоку відмов:
(22)
3. Закони розподілу часу безвідмовної роботи
Через те, що процес виникнення відмов ЕА має випадковий характер та залежить від багатьох факторів, отже, і час безвідмовної роботи є величина випадкова, для опису її розподілу в теорії надійності використовують ряд законів. Найбільше розповсюдження отримали закони: Вейбулла, експоненціальний, Релея, нормальний, Пуассона тощо.
3.1 Розподіл ВейбуллаЗгідно з цим розподілом, імовірність безвідмовної роботи в інтервалі 0, t запишеться:
(23)
де - параметр розподілу.
Звідси функція частоти відмов:
(24)
а середній час безвідмовної роботи:
(25)
де
табульована повна гамма-функція.
Цьому закону достатньо добре підпорядковується розподіл відмов в апаратурі, яка має велику кількість однотипних неремонтованих елементів (резистори, напівпровідникові прилади тощо).
З вищенаведених залежностей ймовірності безвідмовної роботи та частоти відмов знаходимо інтенсивність відмов:
(26)
Наведемо залежності функцій, які побудовані за формулами (23); (24) та (26) для випадків, коли параметр розподілу >1 і <1:

Рисунок 4 - Залежність Р (t),λ (t) та f (t) при розподілі часу безвідмовної роботи за законом Вейбулла: - - - <1; >1
3.2 Експоненціальний розподілЦей розподіл можна розглядати як окремий випадок розподілу Вейбулла при =1. Тоді, скориставшись формулами розподілу Вейбулла, запишемо: частота відмов:
(27)
ймовірність безвідмовної роботи:
(28)
інтенсивність відмов:
(29)
напрацювання до першої відмови:

Підставивши в формулу ймовірності безвідмовної роботи значення інтенсивності відмов λ=1/То, отримаємо:
![]()
При t=To отримаємо ![]()
При експлуатаційному розподілі математичне сподівання випадкової величини
дорівнює середньоквадратичному відхиленню, тобто:
![]()
Експоненціальний розподіл типовий для більшості складних апаратів, які містять велику кількість неремонтованих елементів та мають здебільшого раптові відмови. Експоненціальний розподіл застосовують також до апаратів, які відновлюються, з найпростішим потоком відмов. Наведемо залежності Р (t),λ (t) та f (t) при розподілі часу безвідмовної роботи за експоненціальним законом:

Рисунок 5 - Залежності Р (t),λ (t) та f (t) при розподілі часу безвідмовної роботи за експоненціальним законом
3.3 Розподіл РелеяЦей розподіл достатньо повно описує поведінку ряду приладів та елементів ЕА з явно виявленим ефектом старіння та зносу. Ймовірність безвідмовної роботи записується при цьому у вигляді:
(30)
де С - параметр закону розподілу.
Щільність ймовірності моменту відмови при цьому записується у такому вигляді:
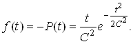
(31)
Інтенсивність відмов:
(32)
Середнє напрацювання на відмову:
(33)
Залежності Р (t),λ (t) та f (t) при розподілі часу безвідмовної роботи за законом Релея наведені на рис.6:

Рисунок 6 - Залежність Р (t),λ (t) та f (t) при розподілі часу безвідмовної роботи за законом Релея
3.4 Закон нормального розподілу
Цей розподіл широко використовується в теорії ймовірності, а також і в теорії надійності. Даний закон описує надійність апаратів, для яких типовий знос, при цьому всі відмови однорідні за якістю та мають малий розкид зносу. Час ремонту апаратури, а також сумарне напрацювання апарата до ремонту інколи також мають бути описані нормальним законом розподілу.
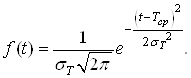
Щільність ймовірності моменту відмови у цьому випадку має такий вигляд:
(34)
Щільність залежить від двох параметрів: середнього напрацювання на відмову та дисперсії σТ2 часу безвідмовної роботи. Безпосередньо нормальний закон розподілу для розрахунку показників безвідмовності може застосовуватися тільки у випадку, коли середнє напрацювання до відмови:
![]()
Це пов’язано з тим, що нормальна щільність розподілу не є односторонньою, тобто вона відрізняється від нуля і при t<0. При ТСР>>0 цей недолік практично не виявляється, оскільки в цьому випадку частиною кривої розподілу при t<0 можна знехтувати.
Проте, якщо умова
не виконується, то використання нормального розподілу може привести до помітних похибок.
Тому на практиці використовують зрізаний нормальний розподіл.
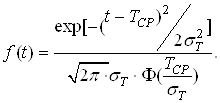
Для цього розрізають частину кривої розподілу при t<0 та вводять нормований множник СН для зберігання умови нормування щільності ймовірності:
(35)
де
- функція Лапласа.
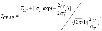
Тоді при зрізаному нормальному розподілі (t≥0) щільність ймовірності моменту відмови:
(36)
Ймовірність безвідмовної роботи:
(37)
Інтенсивність відмов:
(38)
Середнє напрацювання до першої відмови при зрізаному нормальному розподілі запишеться:
(39)
Залежність Р (t),λ (t) та f (t) для нормального розподілу часу безвідмовної роботи наведено на рис.7.

Рисунок 7 - Залежність Р (t),λ (t) та f (t) при нормальному розподілі часу безвідмовної роботи
3.5 Розподіл ПуассонаУ теорії надійності широко використовується розподіл Пуассона, яким описують поведінку дискретних випадкових величин. Вважається, що випадкова величина t розподілена за законом Пуассона, якщо ймовірність того, що вона прийме означене значення К виражається формулою:
(40)
де а - параметр закону Пуассона (математичне сподівання випадкової величини t).
Дисперсія випадкової величини t, розподіленої за законом Пуассона, дорівнює її математичному сподіванню:
(41)
Інтервали часу між відмовами в пуассонівському потоці відмов взаємопов’язані та розподілені за експоненціальним законом. Середня кількість відмов за інтервал (0, t) для пуассонівського потоку:
(42)
Вигляд розподілу Пуассона при різних значеннях математичного сподівання а наведено на рис.8.

Рисунок 8 - Вигляд розподіл Пуассона при різних значеннях величини а
Інтенсивність пуассонівського потоку відмов:
![]()
тобто збігаються з параметром експоненціального розподілу.
Розподіл Пуассона застосовується для оцінки надійності ремонтованих апаратів з найпростішим потоком відмов.
4. Ремонтопридатність ЕА
Показники ремонтопридатності запроваджуються тільки для ремонтованих апаратів. Процес ремонту, який полягає у виявленні та усуненні відмови, є випадковим. Як випадкова величина береться середній час ремонту, який складається з часу на виявлення відмови, часу на пошук причини та усунення наслідків відмови.
Для кількісної оцінки ремонтопридатності вживаються два показники:
середня тривалість поточного ремонту
;
середня тривалість поточного обслуговування ТП. О.
Розглянемо показник середньої тривалості поточного ремонту. Середня тривалість поточного ремонту є математичне сподівання часу поновлення працездатності:
(43)
де
- час ремонту і - го апарата;
f (tp) - щільність розподілу випадкової величини часу ремонту.
В процесі експлуатації проводиться облік відмов та час їх ремонту. Тоді за визначений час t за статистичними даними тривалість поточного ремонту:
(44)
де п - кількість відмов за час t.
Величина, зворотня середній тривалості поточного ремонту
називається інтенсивністю ремонту і характеризує кількість ремонтів, проведених за одиницю часу.
5. Довговічність ЕА
Під довговічністю слід розуміти властивість апарата зберігати працездатність до настання граничного стану за встановленою системою технічного обслуговування і ремонту. На відміну від визначення безвідмовності (де головним є безперервність збереження працездатності), визначення довговічності пов’язано із збереженням працездатності до заданої межі з необхідними перервами.
Для кількісної оцінки властивості апаратів, які об’єднані поняттям „довговічності”, використовують одиничні показники довговічності: термін служби та ресурс. Ці показники зазначаються в експлуатаційній документації (паспорт, формуляр тощо) і є основою для списування апаратури або відправки її в середній або капітальний ремонт.
Термін служби визначається календарною тривалістю експлуатації або її поновленні після середнього (капітального) ремонту до граничного стану.
Для ремонтованих та неремонтованих приладів розрізняють: середній термін служби, середній термін служби до списування та гамма-відсотковий термін служби.
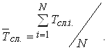
Середній термін служби - це математичне сподівання терміну служби від початку експлуатації до настання граничного стану:
(45)
де Тсл. і. - термін служби і-го апарата;
f (tсл.) - функція щільності розподілу часу терміну служби.
За статистичними даними:
(46)
де Тсл. і. - термін служби і-го апарата;
N - кількість апаратів.
Середній термін служби до списування визначається часом від початку експлуатації ЕА до її списування, зумовленого граничним станом:
. (47)
Гамма-відсотковий термін служби Тсл. γ - термін служби, протягом якого апаратура не досягла граничного стану із заданою ймовірністю γ - відсотків. Наприклад, при γ=95% (95% -й термін служби) 95% апаратів даної партії не досягають граничного стану за встановлений термін служби. Гамма-відсотковий термін служби визначається виразом:
(48)
де q (Тсл. γ) - функція розподілу терміну служби.
Стосовно ремонтованої апаратури розпізнають додатково середній термін служби до середнього (капітального) ремонту. Середній термін служби до середнього (капітального) ремонту Тсл. ср. (Тсл. к) - середній термін служби від початку експлуатації до його першого середнього (капітального) ремонту.
Середній термін служби між середніми (капітальними) ремонтами Тсл. м. ср. (Тсл. м. к.) - середній термін служби між суміжними середніми (капітальними) ремонтами.
Гарантійним терміном служби називається час, протягом якого виявляються дефекти, які невиявлені при виготовленні апаратури, а виробник за умови дотримання споживачем правил експлуатації апаратури, в тому числі правил зберігання і транспортування, забезпечує виконання встановлених вимог до апаратури і несе відповідальність.
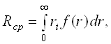
Ресурсом називають напрацювання апаратури від початку експлуатації або його відновлення після середнього або капітального ремонту до настання граничного стану. Для апаратури розрізняють середній ресурс, призначений ресурс і гамма-відсотковий ресурс.
Середній ресурс Rср - математичне сподівання ресурсу:
(49)
де ri - ресурс роботи і-го елемента (апарата);
f (r) - функція щільності розподілу величини r.
Призначений ресурс Rн - сумарне напрацювання апарата, при досягненні якого експлуатація має бути припинена незалежно від його стану.
Гамма-відсотковий ресурс Rγ - напрацювання, протягом якого апарат не досягає граничного стану з заданою ймовірністю γ - відсотків.
Для ремонтованих апаратів розрізняють середній ресурс до середнього (капітального) ремонту Rср (Rк), середній ресурс між ремонтами Rм. ср. (Rср. к.), середній ресурс до списання RСП.
Середній ресурс до середнього (капітального) ремонту - це середній час від початку експлуатації апарата до його першого середнього (капітального) ремонту. Середній ресурс між середніми (капітальними) ремонтами - це середній час між суміжними ремонтами. Середній ресурс до списання - це середній час від початку експлуатації до списання апаратури при граничному стані.
6. Здатність до зберігання ЕА
Неабияким, особливо для апаратів з тривалими термінами зберігання, є властивість апарата зберігати на етапах зберігання та транспортування свої задані експлуатаційні властивості. У процесі експлуатації в елементах апаратури відбуваються природні фізико-хімічні процеси, які викликають їх старіння. Крім того, на апаратуру впливають різні фактори зовнішнього середовища, які прискорюють процес старіння елементів.
Все це призводить до зміни властивостей, а також і параметрів комплектуючих елементів, що в остаточному підсумку приводить до зміни технічних та експлуатаційних характеристик апаратури. При значній зміні параметрів елементів ці характеристики можуть вийти за межі експлуатаційних припусків та призвести до відмови апаратури.
Як одиночні показники, які дозволяють кількісно визначити здатність до збереження, використовують середній термін збереження та гамма-відсотковий термін збереження.
Середній термін збереження - це математичне сподівання терміну зберігання:
(50)
де tЗі - термін зберігання і-го апарата;
f (tЗ) - щільність розподілу величини.
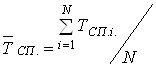
За статистичними даними середній термін зберігання:
(51)
де N - кількість апаратів;
TЗі - термін зберігання і-го апарата.
Гамма-відсотковий термін зберігання ТЗγ - це термін, протягом якого апарат залишається працездатним із заданою ймовірністю γ - відсотків.
Гамма-відсотковий термін зберігання визначається:
(52)
де
функція розподілу терміну зберігання.
7. Готовність
Готовність є важливим поняттям, яке застосовується не тільки до ЕА, а і до персоналу, який обслуговує її. Готовність визначається такими основними властивостями та факторами:
надійністю;
прийнятою системою технічного обслуговування і контролю технічного стану;
організацією процесу обслуговування заявок та інтенсивністю їх надходження;
кваліфікацією обслуговуючого персоналу.
Властивості та фактори, які визначають рівень готовності ЕА, за своєю природою є випадковими, оскільки вони залежать від великої кількості випадкових характеристик і параметрів (наявність можливих відмов, характеру потрібного ремонту, регулювань, технічного стану апаратури до моменту перевірки тощо). Отже, і показники готовності ЕА носять ймовірно-статистичний характер.
Показники готовності називають ще комплексними показниками надійності, оскільки вони характеризують одночасно декілька властивостей, які складають надійність. Показниками готовності є: коефіцієнт готовності Кг, коефіцієнт оперативної готовності Ко. г., коефіцієнт технічного використання Кт. в.
Коефіцієнт готовності Кг - це ймовірність того, що апаратура буде працездатною в довільний момент часу, окрім планових періодів, протягом яких використання апаратури за призначенням не передбачене (планове технічне обслуговування, плановий ремонт). Отже, коефіцієнт готовності Кг - це відношення сумарного часу справної роботи до загального часу справної роботи і ремонту, взятого за визначений період експлуатації.
Для більшості ремонтованих апаратів має місце такий порядок обслуговування, коли після появи відмови передбачається негайне її усунення. Тоді:
(53)
З цієї формули видно, що величина коефіцієнта готовності Кг може бути підвищена як за рахунок збільшення напрацювання на відмову То, так і за рахунок скорочення середньої тривалості поточного ремонту ТП.Р. Таким чином, Кг характеризує одночасно дві різні властивості апаратури: ії безвідмовність та ремонтопридатність. Коефіцієнт оперативної готовності Ко. г - це ймовірність того, що апарат, який знаходиться в режимі очікування, виявиться працездатним в довільний момент часу і, починаючи з цього моменту, працюватиме безвідмовно протягом заданого інтервалу часу. Ми вже розглядали, що ймовірність знаходження апаратури у працездатному стані в довільний момент часу характеризується коефіцієнтом готовності Кг, а ймовірність того, що апаратура залишиться працездатною протягом заданого часу t - ймовірністю безвідмовної роботи. Тоді:
(54)
Коефіцієнт технічного використання Кт. в. - це відношення математичного сподівання часу перебування апарата у працездатному стані за деякий проміжок часу до суми математичних сподівань часу перебування апарата у працездатному стані, часу простою, обумовленому технічним обслуговуванням та часу ремонтів за той самий період експлуатації.
На основі статистичних даних, отриманих за період експлуатації, який розглядається:
(55)
де ТОΣ - сумарне напрацювання всіх апаратів;
ТР. Σ - сумарний час простою через планові та непланові ремонти всіх приладів;
ТТ.О. Σ - сумарний час простою через планові та непланові технічні обслуговування всіх приладів.
