Ультрафиолетовое отверждение лаков и красок
ВведениеНа сегодняшний момент в различных областях науки и промышленности ведутся активные исследования, направленные на создание ресурсо- и энергосберегающих экологически безопасных технологий. В этой связи приобретает большое значение микроволновое облучение (МВО), так как оно позволяет существенно интенсифицировать различные процессы, в том числе не поддающиеся оптимизации традиционными методами.
Начало использования МВО в качестве эффективного источника тепловой энергии относится к концу 1940-х годов, а уже в 1970-1980 годах его стали активно применять в неорганической и аналитической химии при выполнении анализов различных объектов, для сушки и дегидратации препаратов, при синтезе различных неорганических материалов, при изучении полиморфных превращений и т.д. Толчком к использованию МВО в органическом синтезе послужили работы Гедью и Жигуэра, в которых было обнаружено значительное сокращение времени проведения некоторых классических химических реакций в условиях МВО по сравнению со временем их проведения в условиях традиционного нагревания. К другим преимуществам МВО относятся экономия электроэнергии или других энергоресурсов; возможность проведения реакций в условиях повышенного давления при температурах, намного превышающих температуру кипения, растворителя, или в отсутствие растворителя; возможность получения соединений, недоступных или труднодоступных при использовании других методов активации.
Химики-синтетики быстро оценили преимущества применения МВО для активации органических реакций. Следует отметить, что распространению данного метода способствовала простота эксперимента, так как для его осуществления требовалась лишь обычная коммерческая СВЧ-печь. Однако использование таких печей для проведения микроволновых (МВ) химических реакций имеет ряд недостатков:
· неприспособленность печей к проведению химических экспериментов;
· неоднородность микроволнового поля в реакционном сосуде;
· отсутствие контроля за изменением температуры и давления реакционной смеси во время эксперимента;
· непостоянная мощность МВО.
Все это приводит к низкой воспроизводимости результатов, а иногда к выбросам и воспламенению растворителей. В настоящее время налажено производство специальных химических микроволновых реакторов, в которых обеспечивается равномерное распределение электромагнитного поля в реакционном объеме и имеется возможность регулирования мощности излучения с помощью компьютера. Такие реакторы снабжены магнитными мешалками и датчиками для измерения температуры и давления. Цена на такие печи на порядок выше, чем на бытовые, поэтому и сегодня ~ 70% экспериментальных работ выполняется в обычных СВЧ-печах.
Несмотря на обилие работ, в которых описаны практические аспекты применения МВО, к настоящему моменту теория микроволнового органического синтеза разработана недостаточно. Предполагается, что влияние МВО на протекание химических процессов складывается из термических эффектов (скорость нагрева, супернагрев или «горячие пятна»), селективного поглощения излучения полярными веществами и специфического микроволнового эффекта (МВЭ), связанного с «нетермическим» действием СВЧ-излучения.
Термин МВЭ впервые был введен Лупи и Перье и сегодня широко используется в публикациях, связанных с микроволновым органическим синтезом. Основываясь на хорошо известном постулате Хэммонда, Лупи и Перье предположили, что в реакциях с низкой энергией активации переходное состояние близко к основному. В этом случае различие в полярности переходного и основного состояний невелико и микроволновый эффект незначителен. В противоположность этому, в реакциях с высокой энергией активации переходное состояние ближе к продуктам реакции. В этом случае полярность в ходе реакции изменяется значительно и МВЭ усиливается.
При использовании полярных апротонных растворителей, интенсивно поглощающих МВ-излучение, энергия к реагентам поступает главным образом от растворителя (косвенным путем), поэтому можно ожидать, что МВЭ будет маскироваться абсорбцией микроволн молекулами растворителя. Вследствие этого разница в скоростях реакций при МВО и конвекционном нагреве уменьшается.
При применении неполярных растворителей (ССl4, алканы, бензол и т.д.), которые не взаимодействуют с микроволнами, происходит прямое взаимодействие МВ-излучения с реагентами, и МВЭ наблюдается «в чистом виде».
В наибольшей степени МВЭ проявляется в реакциях, проводимых в отсутствие растворителя, когда взаимодействию микроволн с реагентами не препятствуют никакие посторонние факторы, и абсорбция микроволнового излучения определяется только природой исходных соединений.
К сожалению, в подавляющем большинстве работ по микроволновому органическому синтезу данные о влиянии мощности МВО, интенсивности перемешивания и типа реакционной среды на селективность реакций и выход продуктов носят фрагментарный характер (1).
В настоящее время интерес к данной тематике неуклонно увеличивается. За рубежом популярность микроволновой активации органических синтезов выросла настолько, что микроволновая техника теперь составляет основу большого числа сложных синтезов и даже входит в студенческий практикум (2).
Теоретические основы микроволнового нагрева
В электромагнитном спектре микроволновый диапазон занимает область между инфракрасными и радиоволнами и соответствует длинам волн от 1 см до 1 м (соответственно частотам от 30000 до 300 МГц). Воздействие микроволнового излучения на многие жидкие и твердые вещества, состоящие из полярных молекул и ионов, приводит к их разогреванию. Причина этого явления заключается во взаимодействии электрической составляющей электромагнитного поля с молекулами облучаемого вещества. Это взаимодействие содержит в себе несколько физических эффектов, из которых к выделению тепла приводят главным образом два — ориентационная поляризация и ионная проводимость. Как известно, при помещении полярного вещества в электрическое поле его молекулы стремятся ориентироваться таким образом, чтобы векторы их дипольных моментов были антипараллельны силовым линиям поля. Воздействие на вещество электромагнитной волны микроволнового диапазона приводит к непрерывной переориентации полярных молекул (поскольку вектор электрической составляющей излучения непрерывно изменяет направление), при этом вследствие межмолекулярных взаимодействий выделяется тепло. Кроме ориентационной поляризации электрическое поле способно вызывать в жидких средах движение ионов. Сопротивление среды потоку ионов приводит к тепловыделению. При этом, чем выше концентрация и подвижность ионов, тем интенсивнее нагрев. Способность материала превращать электромагнитную энергию в тепло характеризуется тангенсом угла диэлектрических потерь tg α и вычисляется по следующей формуле: tg α=е"/е'. Здесь е" — коэффициент диэлектрических потерь — характеризует эффективность, с которой энергия электромагнитного поля превращается в тепло; е'-диэлектрическая проницаемость (4). Значения этих величин зависят от природы и состояния вещества, частоты электромагнитного поля и температуры. Обычно с увеличением частоты е'уменьшается, а е"проходит через максимум. Величина tg α имеет максимальные значения в микроволновом диапазоне электромагнитного излучения. Количество тепла (Вт/см3), выделяемое единицей объема вещества в электромагнитном поле за единицу времени, можно рассчитать по приведенной формуле: Q = 0.555fе'*tgα*E2*10-12.Здесь f — частота излучения, Гц; Е— напряженность электрической составляющей электромагнитного поля, В/см (4). Из последнего выражения видно, что мощность, выделяющаяся в материале, зависит только от электрических характеристик материала и параметров поля и не зависит от теплопроводности материала. Эта особенность является существенным преимуществом микроволнового нагрева, позволяющим значительно интенсифицировать процесс нагрева материала по сравнению с любым другим традиционным видом нагрева, где главную роль в скорости разогрева играет теплопроводность. В результате взаимодействия излучения с веществом его интенсивность по мере прохождения сквозь вещество уменьшается по экспоненте. Расстояние от поверхности материала, на котором плотность потока энергии уменьшается в е раз по сравнению с ее значением на поверхности, называется глубиной проникновения.
Из-за уменьшения интенсивности излучения экспоненциально падает и тепловая мощность, высвобождаемая в единице объема материала. Естественно поэтому ожидать уменьшения температуры от поверхности к центру объема материала. Это происходит в случае, когда значение глубины проникновения много меньше толщины разогреваемого объекта. В обратном случае, когда глубина проникновения сопоставима или превышает размеры объекта, имеет место обратный, или инверсионный, температурный профиль, т.е. температура внутри материала выше, чем на поверхности. Объясняется это тепловым излучением с поверхности и конвекционным охлаждением внешних слоев материала окружающим воздухом. Из вышесказанного следует, что микроволновый нагрев имеет совершенно иную природу, чем конвекционный. В случае конвекционного нагрева происходит диффузионный перенос тепла от теплоносителя к нагреваемому веществу. При микроволновом нагреве возрастание внутренней энергии вещества происходит вследствие диссипации непосредственно в самом веществе некоторой части поглощенной электромагнитной энергии. Из этого вытекают следующие важные преимущества и особенности микроволнового нагрева:
1. нагрев происходит по всему объему материала, при этом теплопроводность материала не играет роли;
2. изменение температуры нагреваемого материала происходит безынерционно в соответствии с изменением подводимой мощности;
3. возможность динамичного регулирования температуры при проведении эксперимента;
4. возможность подъема температуры материала до заданных значений за очень короткое время;
5. отсутствие вещества-теплоносителя упрощает проведение эксперимента, исключает возможность перегревов и пригорания материала (2).
Оборудование для микроволнового нагрева
Для проведения экспериментов применяются либо модифицированные бытовые микроволновые печи, либо специальные микроволновые установки, ориентированные на проведение подобных исследований. Обычно мощность таких печей находится в пределах 600—1000 Вт, частота вырабатываемого излучения 2450 МГц. Емкость с реагентами помещается в камеру печи и через специальные отверстия в стенках камеры подсоединяется к вспомогательной аппаратуре (холодильник, перемешивающее устройство и т. п.), контролирующим и регулирующим устройствам. Иногда в камеру помещается змеевик, через который насосом прокачивается реакционная масса. Принцип работы микроволновой печи заключается в следующем: излучение, вырабатываемое магнетроном — генератором микроволнового излучения, пройдя по волноводу, попадает в камеру, где поглощается реагентами.
Посуда, используемая в микроволновых экспериментах, должна быть выполнена из материалов, пропускающих микроволны практически без ослабления, — стекла, кварца, тефлона. Очевидно, непригодны такие материалы, которые отражают или, наоборот, хорошо поглощают микроволны (металл, некоторые полимеры). Для работы при повышенном давлении в лаборатории используют тефлоновые автоклавы или запаянные стеклянные ампулы, а при обычных условиях вполне пригодна обычная химическая посуда. Для измерения температуры в условиях микроволнового нагрева обычно используют следующие средства.
1. Термометры с неметаллическими и не взаимодействующими с микроволнами наполнителями. Вполне пригодны, например, керосиновые термометры (0—200°С). С помощью газовых термометров кроме измерения можно осуществить регулирование температуры по способу обратной связи.
2. Оптические и волоконно-оптические пирометры — наиболее совершенный и самый дорогой способ контроля и регулирования температуры.
Традиционные сродства измерения, в которых, как правило, присутствуют металлические компоненты — ртутные термометры, термосопротивления, термопары, — не пригодны для микроволновых экспериментов. Вообще, в этих экспериментах следует избегать применения металлических предметов, так как они искажают картину распределения электромагнитного поля в реакционной камере (2).
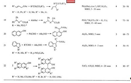
Образование новых С=С и С–С связей в условиях микроволнового облученияДля образования двойной углерод-углеродной связи используют альдольно-кротоновую конденсацию или родственные ей реакции (примеры №№ 1-7, табл. 2); конденсацию нитрометана и его производных с 5-нитро-6-хлорметилимидазо-тиазолом (№ 8), бензальдегидом и его производными (№ 9); реакцию Виттига (№№ 10-12); реакции элиминирования (№ 13). В микроволновых условиях конденсация хлорметилимидазотиазола с производными нитрометана идет в 240 раз быстрее, чем при термической активации (см. табл. 2).
Введение в органическую молекулу двойной связи по Виттигу в условиях МВО (примеры №№ 10-12) проходит с небольшим ускорением по сравнению с термической реакцией, причем использование привитых на подложку реагентов не изменяет время проведения реакции.
В табл. 2 приведены также примеры образования новой С–С-связи в условиях МВО (примеры №№ 14-22). Для этого использовали реакции аллильного замещения, С-алкилирования, С-аминоалкилирования, окислительного сочетания. Здесь уместно остановиться на примере асимметрического аллильного алкилирования метил-(Е)-3-фенилаллилкарбоната (пример № 17), в котором изучено влияние природы катализатора (ср. с примером № 15) и растворителя, мощности излучения.
Таблица 2. Образование новых С=С- и С–С-связей в условиях микроволнового облучения.



Получение полимерных мaтeриaлoв и изделий отверждением термореактивных композиций под действием электрических полей
При разработке высокопроизводительных технологических процессов производства полимерных материалов из термореактивных композиций возникает проблема выбора метода и соответствующего оборудования для отверждения и формования изделий. В качестве альтернативного традиционным методам нагрева и отверждения может быть использован метод отверждения под действием электрических полей высокой частоты (6).
Метод высокочастотного нагрева полимерных материалов основан на том, что полярные группы и сегменты молекул диэлектрического материала, помещенного в переменное электрическое поле, ориентируются вместе с изменением его полярности. Другие группы и молекулы, а также тепловое движение препятствуют ориентации. Энергия, которая затрачивается на преодоление препятствий, рассеивается в материале и нагревает его.
Интенсивность нагрева повышается с увеличением частоты колебаний и напряженности электрического поля. Преимущество высокочастотного нагрева состоит в том, что прогрев происходит во всем объеме одновременно, а степень нагрева может регулироваться с высокой точностью (6).
Электромагнитные колебания, которые на практике применяются для нагрева и отверждения термореактивных композиций подразделяются на два основные диапазона: токи высокой частоты (ТВЧ) и сверхвысокой частоты (СВЧ) или микроволновое излучение (МВИ). В диапазоне ТВЧ используются частоты 1-100 МГц, а в диапазоне МВИ частоты 915-2450 МГц.
В настоящее время уже накоплены существенные теоретические и практические результаты использования электромагнитных излучений в различных технологических процессах получения полимерных материалов. Однако, несмотря на перспективность данного метода его применение, как правило, ограничивается предварительным нагревом материалов и не получило еще достаточно широкого распространения в процессах переработки термореактивных композиций и получения готовых изделий.
В научно-технической литературе представлены достаточно глубокие исследования особенностей процессов отверждения эпоксидных композиций под действием МВИ. Наиболее серьезные работы проведены с использованием в качестве сшивающих агентов 4,4' -диаминодифенилметана (ДДМ), 4,4' -диаминодифенилсульфона (ДДС), дициандиамида (ДЦДА), м-фенилендиамина (МФДА) и 4,4' -диамино- 3,3' -диметилдициклогексилметана (6) и т. д.
Проводилось исследование отверждения диглицидилового эфира дифенилолпропана (ДГЭБА) с молекулярной массой 370 в присутствии диаминодифенилметана (ДДМ) при стехиометрическом соотношении функциональных групп и под действием микроволнового излучения с частотой 2,45 ГГц, подаваемого в непрерывном и импульсных режимах. Мощность излучения изменялась в пределах 20-100 Вт, а частота импульсов от 20 Гц до 20 кГц. Установлено, что микроволновое отверждение происходит аналогично термическому отверждению. Сначала температура системы возрастает, а затем уменьшается. Скорость отверждения возрастает, время гелеобразования сокращается, а максимальная температура увеличивается до 200-250° С при увеличении мощности излучения (6). Время достижения максимальной температуры разогрева системы уменьшается при понижении частоты по дачи импульсов, а мощность поглощаемого излучения достигает максимального значения через 23,5 мин независимо от частоты подачи импульсов. Использование импульсного излучения повышает эффективность сшивания. Отверждение системы завершается за время 80-140 мин. Поглощаемая мощность в ходе отверждения сначала возрастает, а потом уменьшается, что объясняется подавлением процесса биполярной релаксации образующимися межмолекулярными сшивками. Предельное значение мощности, поглощаемой полностью отвержденной системой, возрастает при увеличении интенсивности подаваемого излучения. Модуль Юнга систем, отвёрждённых термически и под действием МВИ составляет, соответственно, 2,4 ГПа и 2,6-2,7 ГПа.
Исследование кинетики отверждения на примере систем ДГЭБА-ДДС и ДГЭБА-ДЦДА под действием импульсного МВИ с частотой 2,45 ГГц подтверждает выше приведенные результаты. В ходе облучения данных систем температура возрастает от 20 до 180-200 °С, а затем в зависимости от мощности и частоты подачи импульсов уменьшается или слабо изменяется вследствие поглощения излучения. Глубина превращения для системы ДГЭБА-ДДС достигает 95 %, температура стеклования находится в пределах 130-190° С в зависимости от мощности облучения и частоты подачи импульсов.
При воздействии МВИ с мощностью 20-60 Вт на эпоксидные композиции, содержащие в качестве наполнителя порошковое железо с размером частиц 10 мкм в количестве до 70 мас. %, скорость отверждения резко возрастает с увеличением содержания металла, а температура разогрева достигает 240° С (6).
Воздействие импульсного МВИ мощностью 25-50 Вт, частотой импульсов 50 Гц и длительностью импульса 3 мс, на эпоксидные композиции ДГЭБА- ДДМ, содержащие до 70 мас. % порошка алюминия с размером частиц менее 40 мкм, также приводит к возрастанию скорости отверждения и температуры разогрева с увеличением подаваемой мощности. Однако, скорость отверждения, максимальная температура разогрева системы вначале возрастают при увеличении количества алюминия до 45 мас. %, а затем уменьшаются при дальнейшем повышении его содержания. Это объясняют образованием агрегатов частиц алюминия при его содержании более 45 мас. %, что приводит к изменению механизма диссипации микроволновой энергии и замедлению скорости отверждения композиций при высоких степенях наполнения. Установлено, что отверждение эпоксидных композиций происходит до полной конверсии, а температура стеклования составляет 160° С.
При исследовании влияния непрерывного и импульсного МВИ мощностью 5-25 Вт на эпоксидные композиции наполненные сажей в количестве 5 мас.% выявлено, что поглощение микроволновой энергии связано с диполярной релаксацией матрицы и электрической проводимостью сажи. При этом поглощенная энергия линейно возрастает при увеличении мощности подаваемой энергии. Скорость отверждения, максимальная температура разогрева системы также возрастают при увеличении мощности излучения. При высоких концентрациях сажи имеет место трансляции энергии. В сшитом состоянии композиций максимум поглощения МВИ наблюдается вблизи порога перколяции.
При воздействии МВИ частотой 2,45 ГГц и мощностью 650 Вт на эпоксиаминные композиции, дискретно армированные оксидно-алюминиевыми волокнами или наполненные порошкообразным титанатом бария в количестве 25-100 масс.ч. установлено, что глубина превращения эпоксиолигомера снижается с повышением содержания твердофазного компонента, тогда как в ненаполненных композициях она составляет 94-96 %. Максимальное значение гель-фракции достигается через 3 мин. Авторы наблюдали ингибирование процесса образования трехмерного продукта в первую минуту нагрева, что объяснено интенсификацией миграции низкомолекулярного аминного ингредиента к поверхности наполнителя и повышением его сорбции этой поверхностью.
Отверждение композиций, содержащих пустотелые кварцевые микросферы диаметром 30 мкм и плотностью 210 кг/м3 сопровождается разогревом до 250° С в зависимости от мощности излучения. Скорость отверждения возрастает при увеличении мощности МВИ и уменьшается при увеличении содержания микросфер.
Применение электромагнитных полей для интенсификации процессов отверждения и формования изделий нашло распространение в практике. Склеивание конструкций из древесины с использованием карбамидных клеев было одним из первых направлений использования данного способа. В качестве клеевых композиций для склеивания под действием ТВЧ древесных материалов опробованы малотоксичные клеи на основе резольных фенолоформальдегидных смол, а также резорциновые клеи. Отмечается, что при склеивании древесных материалов резорциновыми клеями время воздействия высокочастотного поля должно быть больше, чем в случае применения карбамидных клеев и при этом снижается производительность оборудования.
Целесообразность использования высокочастотного нагрева отмечена при производстве стеклопластиков, древесностружечных плит, намоточных и профильных изделий, а также заливочных компаундов. Так, например, отверждение стеклопластиков на основе эпоксидно-фенольных связующих может быть осуществлено за несколько минут, а эпоксидные заливочные компаунды достигают стабильных свойств за 30-60 мин, в то время как их отверждение при конвекционном методе нагрева позволяет получить стабильность свойств только через 2,5 ч. Высокочастотный метод нагрева позволяет сократить продолжительность процессов отверждения компаундов в зависимости от выбранной температуры нагрева от 50 до 100 раз (6).
Было проведено (6) сравнение механических свойств композиций на основе ДГЭБА и 4,4'-диамино-3,3'-диметилдициклогексилметана (ДЦГМ), отвержденных под действием МВИ или термообработкой. Испытания показали, что композиции полученные под действием МВИ имеют более высокие прочность при растяжении и модуль Юнга, чем композиции, полученные термообработкой. Они также сохраняют свое преимущество после старения в воде.
Проведено также сравнение свойств композиций ДГЭДФП и ДЦГМ, отвержденных как под действием МВИ мощностью 200 Вт, так и комбинированным способом, который заключался в том, что образцы после отверждения МВИ дополнительно доотверждали при 190° С в течение 14 ч. Испытания показали, что модуль упругости при сжатии составляет 3,15 и 2,9 ГПа, температура стеклования 131 и 186° С, а степень превращения 89 и 100 % соответственно, для первого и второго вариантов отверждения.
Способ получения композиционных полимерных материалов на основе термореактивных олигомеров, содержащих тонкоизмельченные наполнители с применением электромагнитных колебаний частотой от 100 МГц до 300 ГГц заявлен французской компанией Еlесtrycite dе Frаnсе в 1983 году. В качестве тонкоизмельченных наполнителей предложено использовать кремнийсодержащие соединения типа песка, порошки полипропилена, тефлона, а также электропроводящие наполнители в виде порошков железа, алюминия, меди, солей металлов, комплексных органометаллических соединений или сажи с размером частиц менее 500 мкм. Количество наполнителей рекомендуется вводить до 85 % от массы композиционного материала. Отмечается, что получены более гомогенные композиционные материалы, которые используются в качестве изделий, формуемых литьем под давлением, клеев, электропроводящих изделий в автомобилестроении, авиастроении, микроэлектронике.
Исследования полимеризации термореактивных смол, усиленных стекловолокном показали, что производительность процесса получения композиционного материала может быть увеличена в 30 раз по сравнению с обычным способом нагрева.
При отверждении эпоксидных композиционных материалов с высокой теплопроводностью, содержащих углеволокно (ЭКУ) и материалов с низкой теплопроводностью, содержащих стекловолокно (ЭКС) установлено, что в объеме образцов ЭКУ практически отсутствует градиент температуры, тогда как в случае ЭКС градиент температуры оказывался достаточно высоким. Для устранения этого градиента предлагается систему с низкой теплопроводностью подвергать одновременно термообработке путем обычного нагрева.
Использование МВИ для отверждения органических покрытий показывает высокую эффективность этого метода.
В последние годы для отверждения лакокрасочных покрытий, в том числе и металлизированных, а также для отделочных покрытий на декоративной бумаге, успешно используется микроволновое излучение с частотой 915 МГц и 2,45 ГГц.
Воздействие электромагнитных полей различной частоты и мощности применяют для вспенивания и отверждения термореактивных пенопластов. Первые сведения о получении пористых полимерных материалов без использования вспенивающих добавок опубликованы английской фирмой Вurt Тhоmе в 1970 году. Способ получения таких материалов заключается в том, что сухую массу порошкообразного неотвержденного реактопласта помещают в поле ТВЧ такой мощности, чтобы нагреть частички материала и обеспечить их слипание друг с другом в местах контакта. Материал нагревается по всей массе равномерно и быстро, что способствует локальному расплавлению частичек. Преимуществами этого метода, по сравнению с другими, является возможность получения крупных и глубоких изделий сложной формы, быстрота и возможность "вспенивания" таких смесей полимеров и сополимеров, которые не вспениваются при внешнем нагреве.
Американской корпорацией "Ethyl Corp." запатентован способ получения вспененных полиимидов на основе порошкообразных смесей твердых алкиловых эфиров ароматических тетракарбоновых кислот (ЭТК) и первичных или гетероциклических диаминов (ДА) при мольном соотношении ЭТК : ДА равном 1:1. Вспенивание и отверждение композиций проводят под слоем газонепроницаемой поливинилхлоридной пленки при воздействии МВИ частотой 915-2450 МГц и мощностью 0,1-10 кВт/кг смеси мономеров.
Отмечаются преимущества проведения процессов отверждения и вспенивания жидких заливочных композиций в электрическом поле, возможность выбора режима воздействия для получения изделий как с изотропными так и с анизотропными свойствами, исключение применения фторированных газообразователей, быстрое отверждение матрицы вокруг ячеек. С помощью данной технологии возможно регулирование плотности и прочности пенопластов, снижение содержания катализаторов отверждения, уменьшение расхода электроэнергии. Способ может применяться для получения как конструкционных, так и демпферирующих изделий для авиации, автомобилестроения, морского транспорта и в других областях техники.
Под действием МВИ вспененные материалы получают на основе сухой целлюлозы или ее суспензий с использованием в качестве связующего латекса, а в качестве газообразователя соду (6).
Вспенивание и отверждение порошковых эпоксидно-новолачных и фенолоформальдегидных композиций под действием МВИ мощностью 150 Вт позволяет получать пенопласты с удовлетворительными механическими свойствами за 20-50 мин в зависимости от условий обработки и при сокращении цикла формования в 5-8 раз по сравнению с традиционным методом.
Таким образом, все вышеприведенные данные свидетельствуют о том, что применение электрических полей высокой частоты для отверждения термореактивных композиций является перспективным, высокоэффективным направлением переработки, которое может быть использовано в различных технологических процессах получения полимерных материалов и изделий.
Новое ультрафиолетовое термическое оборудование и его использование для обработки тканейРазработано и изготовлено новое универсальное ультрафиолетовое термическое оборудование, обеспечивающее комбинированную обработку текстильных материалов УФ и ИК излучениями в диапазоне длин волн 300-1200 нм (9). Проведенные испытания показали возможность использования оборудования для осуществления фотохимической технологии колорирования тканей кубозолями, а также для термообработки тканей в традиционных операциях крашения и отделки.
В результате проведенных исследований разработан новый тип терморадиационного оборудования, представляющего собой малогабаритную ультрафиолетовую термическую камеру (УФТК). Важным отличием УФТК от существующего терморадиационного оборудования является то, что в его конструкции применены в качестве источников оптического излучения дуговые ксеноновые трубчатые лампы типа ДКСТ. Достоинства ксеноновых ламп заключаются в том, что они экологически чисты, взрывобезопасны и при горении не вызывают образования озона. В техническом аспекте сильной стороной ксеноновых ламп является безинерционность: у них отсутствует период разгорания, а коэффициент мощности сети близок к единице. Следует особо отметить другое важное преимущество ксеноновых ламп - их спектр излучения включает в себя УФ, видимую и ИК области (рис. 1). Они являются одним из наиболее интенсивных источников УФ, видимого и ИК излучения. Это обусловливает принципиальную возможность применения разработанного оборудования как для осуществления фотохимических процессов, основанных на воздействии на материал УФ излучения, так и для традиционных термических процессов, предусматривающих тепловую обработку тканей ИК излучением.
Изготовлено два экспериментальных образца УФТК на номинальную ширину 140 и 180 см, которые установлены и прошли стадию промышленных испытаний на текстильных фабриках Ивановского региона.

Установлено положительное влияние интенсификатора – гидросульфита натрия на результаты крашения х/б ткани в цвет "хаки", которое проявляется в заметном увеличении насыщенности окраски ткани. Наблюдается смещение цветового тона окраски ткани в желтую область, что свидетельствует об интенсификации процесса фотопроявления кубозоля золотисто-желтого ЖХ.
Наиболее целесообразным как с технологической, так и с технико-экономической точек зрения является применение созданного УФ оборудования для осуществления упрощенного одностадийного способа крашения хлопколавсановых тканей кубозолями.
Разработанное УФ оборудование обеспечивает однотонное закрашивание хлопкового и лавсанового волокон смесовой ткани, а также равномерное крашение ткани по ширине полотна
Следует отметить, что по сравнению с наиболее распространенным двухстадийным способом крашения хлопкополиэфирных тканей смесью дисперсных и кубовых красителей, который реализуется с помощью двух поточных линий: крашения и сушки типа ЛКС и крашения, сушки и термообработки типа ЛКСТ, УФ способ позволяет сократить число необходимых технологических стадий с 8-и до 4-х за счет исключения из технологической цепочки энергоемких операций предварительной сушки, термообработки и запаривания ткани и соответствующего оборудования для их реализации. Как показал технико-экономический расчет, применение УФ оборудования обеспечивает снижение удельных расходов электроэнергии, пара и воды, соответственно, в 3,7; 3,9 и 3,6 раза, а занимаемых площадей под оборудование и металлоемкости - в 1,4 и 2 раза.
Как отмечалось выше, ксеноновые лампы являются интенсивным источником ИК излучения, что позволяет использовать разработанное оборудование для термической обработки тканей в процессах крашения, печати и заключительной отделки (9).
Инфразвуковые технологические аппаратыИнфразвуковые аппараты (от лат. infra - ниже, под), машины или устройства, в которых для интенсификации технологических процессов в жидких средах используются низкочастотные акустические колебания (собственно инфразвуковые частотой до 20 Гц, звуковые частотой до 100 Гц) (10). Колебания создаются непосредственно в обрабатываемой среде с помощью гибких излучателей различной конфигурации и формы или жестких металлических поршней, соединенных со стенками технологических емкостей через упругие элементы (напр., резиновые). Это дает возможность разгрузить от колебаний источника стенки инфразвуковых аппаратов, значительно уменьшает их вибрацию и уровень шума в производственных помещениях. В инфразвуковых аппаратах, как и в вибрационных и пульсационных аппаратах, возбуждаются колебания с большими амплитудами (от единиц до десятков мм). Однако малое поглощение инфразвука рабочей средой и возможность ее согласования с излучателем колебаний (подбор соответствующих параметров источника) и размерами аппаратов (для обработки заданных объемов жидкости) позволяют распространить возникающие при воздействии инфразвука так называемые нелинейные волновые эффекты на большие технологические объемы. Благодаря этому инфразвуковые аппараты принципиально отличаются от ультразвуковых, в которых жидкости обрабатываются в небольшом объеме. В инфразвуковых аппаратах реализуются следующие физические эффекты (один или несколько одновременно): кавитация, высокоамплитудное знакопеременное и радиационное (звукового излучения) давления, знакопеременные потоки жидкости, акустические течения (звуковой ветер), дегазация жидкости и образование в ней множества газовых пузырьков и их равновесных слоев, сдвиг фаз колебаний между взвешенными частицами и жидкостью. Эти эффекты значительно ускоряют окислительно-восстановительные, электрохимические и другие реакции, интенсифицируют в 2-4 раза промышленные процессы перемешивания, фильтрования, растворения и диспергирования твердых Материалов в жидкостях, разделения, классификации и обезвоживания суспензий, а также очистку деталей и механизмов и т.д. Применение инфразвука позволяет в несколько раз снизить удельную энерго- и металлоемкость и габаритные размеры аппаратов, а также обрабатывать жидкости непосредственно в потоке при транспортировании их по трубопроводам, что исключает установку смесителей и др. устройств. Одна из наиболее распространенных областей применения инфразвука - перемешивание суспензий посредством, например, так называемых трубных инфразвуковых аппаратов. Такая машина состоит из одного или нескольких последовательно соединенных гидропневматических излучателей и загрузочного устройства (рис 2) (11).

Рис. 2. Инфразвуковой аппарат для перемешивания суспензий:
1 - мембранный излучатель колебаний; 2 - модулятор сжатого воздуха; 3 - загрузочное устройство; 4 - компрессор.
Модулятор распределяет воздух таким образом, что каждая из двух цилиндрических резинокордных мембран излучателя колеблется в противофазе с соседней. Жидкость подается внутрь аппарата, где подвергается воздействию мощных низкочастотных колебаний, которые трансформируются в поперечные и продольные колебания частиц жидкости. Например, при п