Специфичность фермента амилазы
1. ЛИТЕРАТУРНЫЙ ОБЗОР
1.1 КЛАССИФИКАЦИЯ ФЕРМЕНТОВ
1.2. АМИЛАЗЫ СТРОЕНИЕ, ФУНКЦИИ
1.3 СПЕЦИФИЧНОСТЬ АМИЛАЗЫ
1.4. ВЛИЯНИЕ ИНГИБИТОРОВ И АКТИВАТОРОВ НА АКТИВНОСТЬ АМИЛАЗЫ
2. ЭКСПЕРЕМЕНТАЛЬНАЯ ЧАСТЬ
3. ЗАКЛЮЧЕНИЕ
4. СПИСОК ИСПОЛЬЗУЕМОЙ ЛИТЕРАТУРЫ
ВВЕДЕНИЕ
Одним из фундаментальных понятий, как биологии, так и химии является понятие «фермент».
Изучение ферментов имеет большое значение для любой области химической, пищевой и фармацевтической промышленности, занятых производством биологически активных веществ для медицины и народного хозяйства. Поэтому одним из ключевых понятий общей биохимии является понятие «фермент».
Актуальность работы: амилазы широко используются в пищевой промышленности. Так амилазы используются в хлебопечении и технологиях брожения. Также амилаза играет значительную роль в расщеплении крахмала в организме человека. Поэтому понимание действия амилазы важно для оптимизации промышленного производства и изучения обмена веществ в организме человека.
Цель: данной работы рассмотреть специфичность действия амилазы.
В рамках достижения поставленной цели необходимо рассмотреть следующие задачи:
1. Изучить классификацию ферментов.
2. Разобрать строение и функции фермента амилаза.
3. Изучить специфические действия фермента амилаза.
4.Рассмотреть влияние ингибиторов и активаторов на активность амилазы.
1. ЛИТЕРАТУРНЫЙ ОБЗОР
1.1 КЛАССИФИКАЦИЯ ФЕРМЕНТОВ
Современная классификация ферментов разработана в 1961 г. Комиссией по ферментам Международного биохимического союза. В основу классификации положен тип катализируемой реакции, которая является специфичным для каждого фермента.
Согласно этой классификации все ферменты делят на 6 главных классов:
1. Оксидоредуктазы – катализируют окислительно-восстановительные реакции;
2. Трансферазы – катализируют реакции межмолекулярного переноса групп атомов и радикалов;
3. Гидролазы – катализируют реакции расщепления при участии воды;
4. Лиазы – катализируют реакции внутримолекулярного негидролитического расщепления, с образованием двойной связи или присоединения по двойной связи;
5. Изомеразы – катализируют реакции изомеризации;
6. Лигазы (синтетазы) – катализируют реакции синтеза с затратой энергии.
Оксидоредуктазы.
К классу оксидоредуктаз относят ферменты, катализирующие реакции окисления-восстановления. Общая схема может быть представлена следующим образом:
![]()
Окисление протекает как процесс отнятия атомов Н (электроном от субстрата, а восстановление – как присоединение атомов Н (электронов) к акцептору. Если обозначить рецептор буквой А, а субстрат В, то уравнение реакции окисления–восстановления при участии оксидоредуктаз примет такой вид:
![]()
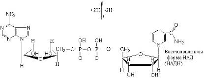
В природных объектах обнаружено около 500 индивидуальных оксидоредуктаз. Наиболее распространены оксидоредуктазы, содержащие в качестве активной группы никотинамидадениндинуклеотид, или НАДН+. Их принято называть дегидрогеназами.


Число известных процессов окисления спиртовых групп до карбонильных с помощью никотинамидных коферментов превышает две сотни. Например, важный промежуточный этап окисления глюкозы – это окисление глицеральдегид-3-фосфата, который протекает по реакции и приводит к образованию смешанного ангидрида 3-фосфоглицериновой кислоты и ортофосфорной кислоты – 1,3-дифосфоглицерата.
![]()
Такой характер окисления имеет важное биоэнергетическое значение, поскольку остаток фосфорной кислоты, образующий ангидридную связь, может быть перенесен от 1,3-дифосфоглицерата на АДФ с образованием АТФ. Фермент, катализирующий эту реакцию, называют глицеральдегид-3- фосфатдегидрогеназой.
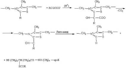
Особого рассмотрения заслуживает подподкласс оксидоредуктаз, к которым относится небольшое число исключительно важных ферментов, катализирующих окислительное декарбоксилирование кетокислот остатком липоамида, связанного амидной связью с через аминогруппу остатка лизина с апоферментом трансацетилазой:

Кофактором этих ферментов является тиаминпирофосфат:

Схема превращений, происходящих в активном центре фермента участием реакционноспособного карбаниона тиаминпирофосфата можно представить в виде

Образовавшийся дигидролипоамид окисляется с помощью НАД+ третьим ферментом, участвующим в окислительном декарбокиировании, – дигидролипоамид дегидрогеназой, катализирующей реакцию

Ферменты, катализирующие превращения с участием молекулярного кислорода, разделаются на три основные группы: оксидазы, монооксигеназы и диоксигеназы. К оксидазам относятся ферменты, катализирующие процессы, в результате которых О2 восстанавливается до Н2О2 или до двух молекул воды. Примером подоюных ферментов могут служить глюкозооксидаза и цитохром с оксидаза, катализирующая окисление ферроцитохрома с до феррицитохрома по реакции:
Цитохром с Fe (II) + 4H+ + O2 > 4 Цитохром с Fe (III) + 2H2O
К моноксигеназам относят ферменты, катализирующие окисление органических соединений, приводящее к включению одного из атомов кислорода молекулы О2 в молекулы этих соединений, и восстановление второго атома кислорода до воды. Суммарное уравнение реакции можно записать в виде

К монооксигеназам относится важная группа ферментов, известных под общим названием цитохромы Р450.
Диоксигеназы катализируют превращения, в ходе которых оба атома молекулы кислорода О2 включаются в состав окисляемого субстрата. Например, деструкция триптофана начинается с реакции образования формилкенуренина, в состав которого входят оба атома кислорода молекулы О2. Фермент, катализирующий эту реакцию, является гемопротеидом и называется триптофан 2,3-диоксигеназой.

Фермент, катализирующий диспропорционирование свободного радикала НO2, образующегося в некоторых реакциях с участием О2 и являющегося очень сильным окислителем, называют супероксидисмутазой. Он катализирует реакцию
HO2 + HO2 > H2O2 +O2
Фермент является металлопротеидом и в зависимости от источника содержит Cu2+, Zn2+, Mn2+, или Fe2+.
Трансферазы.
В этот класс входят ферменты, ускоряющие реакции переноса функциональных групп и молекулярных остатков от одного соединения к другому. В зависимости от характера переносимых группировок различают фосфотрансферазы, аминотрансферазы, гликозилтрансферазы, ацилтрансферазы, трансферазы, переносящие одноуглеродные остатки (метилтрансферазы, формилтрансферазы), и др.
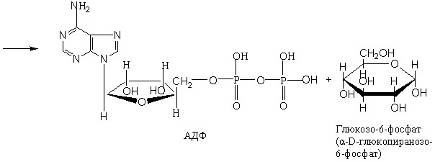
Фосфотрансферазы. Сюда относят ферменты, ускоряющие реакцию переноса остатков фосфорной кислоты. К фосфотрансферазам относится, например, гексокиназа – фермент, ускоряющий перенос остатков фосфорной кислоты от молекулы АТФ к глюкозе (с этой реакции обычно начинается преобразование глюкозы):


Аминотрансферазы. Эти ферменты ускоряют реакцию переаминирования аминокислот с кетокислотами и очень важны для обеспечения биосинтеза аминокислот. Они имеют следующее строение:

Пиридоксальфермент катализирует реакцию переаминирования. В результате серии реакций, включающих в себя непременное образование фермент-субстратных комплексов, аспаргиновая кислота переходит в щавелево-уксусную кислоту, а кетоглутаровая – в глутаминовую. Это выражается следующим суммарным уравнением:

Гликозилтрансферазы.
Эти ферменты ускоряют реакции переноса гликозильных остатков из молекул фосфорных эфиров или иных соединений к молекулам моносахаридов, полисахаридов или иных веществ, обеспечивая главным образом, реакции синтеза и распада олиго- и полисахаридов в животном и растительном мире. Ниже приведено уравнение реакции распада сахарозы при участии сахароза-6-глюкозилтрансферазы, или сахарозофосфорилазы:

Гидролазы.
К классу гидролаз относят ферменты, ускоряющие реакции расщепления (иногда синтеза) органических соединений при участии воды. Они делятся на следующие подклассы:
Эстеразы катализируют реакции гидролиза сложных эфиров, спиртов с органическими и неорганическими кислотами. Важнейшими подподклассами эстераз являются гидролазы эфиров карбоновых кислот и фосфатазы. Представитель первого подподкласса – это липаза.
Липаза ускоряет гидролиз внешних, то есть, сложноэфирных связей в молекулах триглицеридов (жиров):

Фосфатазы катализируют гидролиз фосфорных эфиров. Особенно широко распространены фосфатазы, действующие на сложные эфиры фосфорной кислоты и углеводов, например глюкозо-1-фосфатаза:

Гликозидазы. Эти ферменты ускоряют реакцию гидролиза гликозидов.


Пептид-гидролазы. Ферменты этого подкласса ускоряют гидролиз пептидных связей в белках и пептидах, при определенных условиях также синтез пептидных связей. Химизм процесса гидролиза белков и пептидов при участии пептид-гидролаз можно выразить следующей схемой:

Амидазы ускоряют гидролиз амидов кислот. Из них важную роль в биохимических процессах в организме играют уреаза, аспарагиназа и глутаминаза.
Аспарагиназа и глутаминаза укоряют гидролиз амидов дикарбоновых кислот – аспарагиновой и глутаминовой, например:

К гидролазам, кроме амидаз, относится аргиназа. При ее посредстве аминокислота аргинин гидролизуется на орнитин и мочевину:

Лиазы.
К классу лиаз относят ферменты, ускоряющие негидролитические реакции распада органических соединений по связям С–С; С–N; C–O и т.д. При этом замыкаются двойные связи и выделяются такие простейшие продукты, как СО2, Н2О, NH3 и т.п.
Одну из важнейших групп ферментов этого класса являются углерод-углерод-лиазы (С–С-лиазы). Среди них особое значение имеют карбокси-лиазы (декарбоксилазы) и альдегид-лиазы.
В природе широко распространены декарбоксилазы кетокислот и аминокислот, катализирующие реакции по следующим схемам:

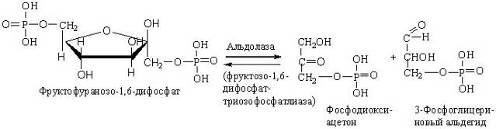
характерным представителем альдегид-лиаз является альдолаза, катализирующая обратимую реакцию расщепления фруктозо-1,6-дифосфата до фосфотриоз:

Другую важную группу лиаз составляют углерод-кислород-лиазы (гидролиазы), ускоряющие реакции гидратирования и дегидратирования органических соединений. В качестве представителя гидро-лиаз приведем фумарат-гидратазу:

Примером углерод-азот-лиаз может служить аспартат-аммиак-лиаза, ускоряющая реакцию прямого дезаминирования аспарагиновой кислоты:

Некоторые лиазы ускоряют реакции не только распада, но и синтеза. Например, из дрожжей выделена L-серин-гидро-лиаза, отщепляющая от серина воду и присоединяющая сероводород, в результате чего синтезируется аминокислота – цистеин.

Подобные ферменты называют синтазами.
Изомеразы.
Ферменты, относящиеся к этому немногочисленному (около 90 индивидуальных ферментов) классу, ускоряют геометрические или структурные изменения в пределах одной молекулы. Эти изменения могут состоять во внутримолекулярном переносе водорода, фосфатных и ацильных групп, в изменении пространственного расположения атомных группировок, в перемещении двойных связей и т.п. Важнейшими изомеразами являются триозофасфтизомераза, фосфоглицерат-фосфомутаза, альдозомутаротаза и изопентенилдифосфатизомераза.
Триозофасфтизомераза ускоряет перенос атомов Н в процессе превращения 3-фосфоглицеринового алдегида в фосфодиоксиацетон и обратно:

Фосфоглицерат-фосфомутаза обеспечивает достаточную скорость превращения 2-фосфоглицериновой кислоты в 3-фосфоглицериновую кислоту и обратно:

Мутароза является представителем стереоизомераз, она ускоряет реакцию превращения D-глюкопиранозы в D-глюкопиранозу:

Изопентенилпирофосфат-изомераза катализирует реакцию перестройки изопентилпирофосфата в диметилаллилпирофосфат, что связано с перемещением двойной связи из 3-го во 2-е положение:


Изопентенилпирофосфат-изомераза содержит содержит свободные сульфгидридные группы, верятно, в виде радикала цис в белковой молекуле, и именно благодаря им обеспечивается указанная выше реакция, имеющая огромное значение для синтеза полизиопреноидов и стеролов.
Лигазы (синтетазы).
К лигазам относятся ферменты, катализирующие соединение друг с другом молекул, сопряженное с гидролизом пирофосфатной связи в молекуле АТФ или иного нуклеозидтрифосфата.
В качестве примера действия лигазы можно привести синтез пантотеновой кислоты из

1.2 АМИЛАЗЫ. СТРОЕНИЕ, ФУНКЦИИ
Амилазы (от лат. amylum - крахмал), ферменты класса гидролаз, катализирующие гидролиз крахмала, гликогена и др. родственных олиго- и полисахаридов, гл. обр. по 1,4
глюкозидной связи (см., напр., схему в ст. О-Гликозидгидролазы). При приготовлении дрожжевого теста дрожжи разлагают крахмал с помощью амилазы до ди- и трисахаридов, которые потом используются в жизнедеятельности, образуя в результате спирт, углекислый газ (CO2) и другие метаболиты, которые придают хлебу специфический вкус и «поднимают» тесто. Однако, это длительный процесс, поэтому в современных технологиях амилаза используется как одно из важных составляющих специальной добавки, ускоряющий процесс брожения. Бактериальная амилаза используется в стиральных порошках для разложения крахмала, присутствующего в белье.
А. (мол. м. 50 тыс.) участвует в гидролизе сахаров, содержащих подряд три или более остатков глюкозы. Расщепление связей может происходить между любыми остатками глюкозы, причем остатки моносахаридов в месте разрыва имеют конфигурацию
аномеров.
А. превращает амилозу крахмала в глюкозу и мальтозу. Находящийся в крахмале амилопектин, содержащий в молекуле 1,6
связи, полностью не гидролизуется - остается разветвленный полисахарид, т. наз. "остаточный декстрин".
А. обладает слабокислыми св-вами. Ионы Са2+ и Cl- активируют ее. Присутствует во всех тканях животных и растений, а также в микроорганизмах. По каталитич. активности ферменты из разных источников значительно отличаются друг от друга.
А. слюны, поджелудочной железы и слизистой кишечника участвуют в переваривании пищи,
А. печени расщепляет гликоген.
А. (мол. м. 50-200 тыс.) последовательно отщепляет остатки
мальтозы от невосстанавливающего конца цепи полисахаридов. Под действием
А. из амилозы образуется мальтоза, а из амилопектина также "остаточный декстрин". Содержится
А. в солоде.
А. (экзо-1,4
глюкозидаза; мол. м. 50-100 тыс.) последовательно отщепляет концевые остатки
D-глюкозы от невосстанавливающих концов цепей полисахаридов с образованием
D-глюкозы. Способна также расщеплять 1,6
связь, если следующие за ней моносахариды соединены в положениях 1 и 4. Содержится в плесневых грибах. Определение активности А. используют в диагностич. целях, в частности для идентификации гликогеноза. А. (в т. ч. иммобилизованные) применяют в пром-сти:
А.-для "осахаривания" крахмала,
А.-для произ-ва глюкозы.
Функции. Амилаза - гидролитический фермент - разлагает крахмал и гликоген до мальтозы. Амилаза образуется преимущественно в слюнных железах и поджелудочной железе, поступает затем соответственно в полость рта или просвет двенадцатиперстной кишки и участвует в переваривании углеводов пищи. В сыворотке крови выделяют соответственно панкреатический и слюнной изоферменты амилазы. Значительно более низкой амилазной активностью обладают также такие органы как яичники, фаллопиевы трубы, тонкий и толстый кишечник и печень. Фермент выводится почками. Следовательно, увеличение сывороточной активности амилазы приводит к повышению активности амилазы в моче. Амилаза может образовывать крупные по размеру комплексы с иммуноглобулинами и другими белками плазмы, поэтому не проходит через почечные клубочки, поэтому содержание ее в сыворотке возрастает, в моче наблюдается нормальная активность амилазы.
Слюна содержит значительное количество амилазы — фермента, принимающего участие в переваривании углеводов, а также ферменты, расщепляющие белки. Все они активны только при щелочной или нейтральной реакции среды. Поэтому кислый желудочный сок прекращает их действие. Но, тем не менее, их влияние продолжается некоторое время в желудке, потому что пищевой комок не сразу пропитывается желудочным соком.
Слюна обладает бактерицидными (убивающими микробы) свойствами. Она предупреждает развитие кариеса зубов благодаря присутствию в ней фермента лизоцима. У человека слюноотделение связано и с речевой функцией: слюна обеспечивает во время речи увлажнение слизистой оболочки ротовой полости (установлено, что слюноотделение сопровождает даже акт письма). В течение суток выделяется от 0,5 л до 2 л слюны.
1.3 СПЕЦИФИЧНОСТЬ АМИЛАЗЫ
Ферменты обладают очень высокой специфичностью. Эта специфичность обусловлена особой формой молекулы фермента, точно соответствующей форме молекулы субстрата. Эту гипотезу называют гипотезой “ключа и замка”: субстрат сравнивается в ней с ключом, который точно подходит к замку, т.е. к ферменту. Далее на основании этой гипотезы уже в 1959 году новую интерпретацию гипотезы “ключа и замка” предложил Кошланд. Он делает вывод о гибкости активных центров ферментов. Согласно этому предположению, субстрат соединяясь с ферментом, вызывает изменения в структуре последнего. Подходящей аналогией в этом случае может служить перчатка, которая при надевании на руку соответствующим образом изменяет свою форму.
Амилазы различного происхождения имеют много общих свойств: хорошо растворяются в воде или в сильно разбавленных растворах солей. Более концентрированные растворы солей (например 20-30% - ные растворы сульфата аммония) вызывают осаждение этих ферментов. Амилаза легко растворяются в разбавленных растворах этилового спирта, но осаждаются при его концентрации в среде свыше 60%. Белок амилаз обладает слабокислыми свойствами; изоэлектрическая точка ферментов колеблется в пределах рН 4,2 - 5,7. Молекулярная масса солодовой амилазы 60000, амилаз микроскопических грибов - 45000-50000. Многие из амилазы получены либо в высокоочищенном, либо в кристаллическом виде. Ионы кальция оказывают стабилизирующее действие на амилазу. Это впервые было обнаружено Воллерштейном, затем подтверждено Накамурой. В настоящее время это явление отмечено почти для всех амилаз. Однако теоретически этот вопрос применительно к промышленному гидролизу крахмала до сих пор не разработан.
Гидролиз крахмала амилазами:
Амилаза действует на -1,4 -гликозидные связи, расщепляют амилозу внутри её цепи, в результате чего с большой скоростью образуются низкомолекулярные продукты гидролиза - нормальные декстрины. Их дальнейший гидролиз даёт мальтозу, мальтотриозу и глюкозу. Было найдено, что расщепление -1,4-глюкозидных связей в амилозе носит случайный характер иподчиняется закону статистического распределения продуктов реакции. Расщепление более мелких фракций на последнем этапе амилоза носит уже не случайный характер - действие фермента направлено лишь на определённые -1,4-гликозидные связи. В конечном счёте амилаза превращают амилозу в мальтозу и глюкозу, хотя и отмечены некоторые несущественные различия в динамике гидролиза этими ферментами указанного субстрата.
Бендецкий, Яровенко по изменению вязкости и восстанавливающей способности гидролизатов крахмала оценивали действие (множественность атаки) амилазы Bac. Subtilis на растворимый крахмал. Авторы наблюдали существенное различие вязкость восстанавливающая способность при кислотном и ферментативном гидролизе крахмала. Это дало основание сделать заключение, что при кислотном гидролизе деградация крахмала
Амилазы специфичны у разных видов организмов. Физиологическая роль их состоит в мобилизации запасов полисахаридов в клетках (например, при прорастании семян). Велико значение их в процессе пищеварения: Амилазы содержатся в слюне и соке поджелудочной железы человека и животных. Так, амилаза расщепляет гликоген и крахмал до глюкозы и играет важную роль во внутриклеточном обмене гликогена. Микроорганизмы потребляют крахмал, выделяя в среду амилазу.
Определение активности амилазы в сыворотке крови и моче используется в диагностике заболеваний поджелудочной железы, печени, почек, слюнных желез, а также в диагностике гликогенозов.
1.4 ВЛИЯНИЕ ИНГИБИТОРОВ И АКТИВАТОРОВ НА АКТИВНОСТЬ АМИЛАЗЫ
Действие большинства ферментов зависит от наличия ряда веществ, приводящих к инактивации ферментов. Эти вещества получили название – ингибиторов.
В основе жизненного процесса лежит обмен веществ, составными звеньями которого являются многочисленные биохимические реакции, катализируемые ферментами. Отравление (ингибирование) какого-либо одного фермента может оказать глубокое, а иногда и фатальное влияние на весь организм. Учение об ингибиторах ферментов имеет большое фундаментальное значение для фармакологии и токсикологии. Оно находит и непосредственное практическое применение, в том числе и в военном деле. Так, нервно-паралитические газы представляют собой специфические ингибиторы ферментов. В качестве инсектицидов все шире используются соединения, родственные ингибиторам ферментов. В практической медицине ингибиторы амилаз успешно применяются в качестве препаратов для лечения заболеваний, связанных с повышенной активностью этих ферментов - диабета, кариеса, ожирения и др.
В чисто академическом плане специфические ингибиторы используются как эффективные инструменты для изучения механизма действия ферментов, строения их активного центра.
Природные ингибиторы отличаются некоторыми особенностями: они действуют в чрезвычайно низких концентрациях (от 10-6 до 10-12 М), обычно являются необратимыми и т.д. Эти ингибиторы часто в природе выполняют роль регуляторов межвидовых отношений. Так, известно, что ингибиторы амилаз из проросших зерен злаковых токсичны для насекомых и млекопитающих. Недавно ингибиторы амилаз обнаружены среди так называемых "патоген - обусловленных" белков (PR-белков), участвующих в механизме защиты растений от патогенов.
Ингибиторы подразделяются на обратимые и необратимые. Необратимые ингибиторы связывают или разрушают функциональные группы молекулы фермента, необходимые для проявления его каталитической активности, при этом активность фермента не восстанавливается даже в том случае, если ингибитор удаляется каким либо способом. Необратимыми ингибиторами являются цианиды, действующие на ряд окислительно-восстановительных ферментов, содержащих в качестве кофакторов металлы. Ингибиторы типа цианидов способны образовывать устойчивые комплексы с металлами и поэтому инактивируют ферменты.
Чаще, однако, имеет место обратимое ингибирование, поддающееся количественному изучению на основе уравнения Михаэлиса-Ментен. Обратимое ингибирование в свою очередь разделяют на конкурентное и неконкурентное в зависимости от того, удается или не удается преодолеть торможение ферментативной реакции путем увеличения концентрации субстрата.
Конкурентное ингибирование может быть вызвано веществами, имеющими структуру, похожую на структуру субстрата, но несколько отличающуюся от структуры истинного субстрата. Такое ингибирование основано на связывании ингибитора с субстратсвязывающим (активным) центром. Классическим примером подобного типа ингибирования является торможение сукцинатдегидрогеназы (СДГ) малоновой кислотой. Этот фермент катализирует окисление путем дегидрирования янтарной кислоты (сукцината) в фумаровую:

Если в среду добавить малонат (ингибитор), то в результате структурного сходства его с истинным субстратом сукцинатом (наличие двух таких же ионизированных карбоксильных групп) он будет взаимодействовать с активным центром с образованием фермент-ингибиторного комплекса, однако при этом полностью исключается перенос атома водорода от малоната. Структуры субстрата (сукцинат) и ингибитора (малонат) все же несколько различаются. Поэтому они конкурируют за связывание с активным центром, и степень торможения будет определяться соотношением концентраций малоната и сукцината, а не абсолютной концентрацией ингибитора. Таким образом, ингибитор может обратимо связываться с ферментом, образуя фермент-ингибиторный комплекс. Этот тип ингибирования иногда называют ингибированием по типу метаболического антагонизма.
В общей форме реакция взаимодействия ингибитора с ферментом может быть представлена следующим уравнением:
![]()
Образовавшийся комплекс, называемый фермент-ингибиторным комплексом ЕI, в отличие от фермент-субстратного комплекса ES не распадается с образованием продуктов реакции. Константу диссоциации комплекса EI, или ингибиторную константу Кi, можно, следуя теории Михаэлиса–Ментен, определить как отношение констант обратной и прямой реакций:
![]()
т.е. ингибиторная константа прямо пропорциональна произведению концентрации фермента и ингибитора и обратно пропорциональна концентрации комплекса EI.
Метод конкурентного торможения нашел широкое применение в медицинской практике. Известно, например, что для лечения некоторых инфекционных заболеваний, вызываемых бактериями, применяют сульфаниламидные препараты. Оказалось, что эти препараты имеют структурное сходство с парааминобензойной кислотой, которую бактериальная клетка использует для синтеза фолиевой кислоты, являющейся составной частью ферментов бактерий.

Рис. 1 Действие конкурентного ингибитора (схема по В.Л. Кретовичу). Е - фермент; S - субстрат; Р1 и Р2 - продукты реакции; I - ингибитор.
Благодаря этому структурному сходству сульфаниламид блокирует действие фермента путем вытеснения парааминобензойной кислоты из комплекса с ферментом, синтезирующим фолиевую кислоту, что ведет к торможению роста бактерий.

Некоторые аналоги витамина В6 и фолиевой кислоты, в частности дезоксипиридоксин и аминоптерин, действуют как конкурентные, так называемые коферментные, ингибиторы (или антивитамины), тормозящие многие интенсивно протекающие при патологии биологические процессы в организме. Применение подобных аналогов в медицинской практике (в частности, в дерматологии и онкологии) основано на конкурентном вытеснении коферментов из субстрат связывающих центров ключевых ферментов обмена.
Неконкурентное ингибирование вызывается веществами, не имеющими структурного сходства с субстратами и часто связывающимися не с активным центром, а в другом месте молекулы фермента. Степень торможения во многих случаях определяется продолжительностью действия ингибитора на фермент. При данном типе ингибирования благодаря образованию стабильной ковалентной связи фермент часто подвергается полной инактивации, и тогда торможение становится необратимым. Примером необратимого ингибирования является действие йодацетата, ДФФ, а также диэтил-n-нитрофенилфосфата и солей синильной кислоты. Это действие заключается в связывании и выключении функциональных групп или ионов металлов и молекуле фермента.
Следует указать, что неконкурентное ингибирование также может быть обратимым и необратимым, поскольку отсутствует конкуренция между субстратом и ингибитором за активный центр. Примеры необратимого ингибирования приведены ранее. При обратимом неконкурентном ингибировании субстрат S и ингибитор I связываются с разными центрами, поэтому появляется возможность образования как комплекса EI, так и тройного комплекса EIS; последний может распадаться с освобождением продукта, но с меньшей скоростью, чем комплекс ES.

Этот тип неконкурентного ингибирования чаще всего наблюдается у ферментов, катализирующих превращения более одного субстрата, когда связывание ингибитора не блокирует связывание субстрата с активным центром. Ингибитор при этом соединяется как со свободным ферментом, так и с ES-комплексом.
Известно, кроме того, так называемое бесконкурентное ингибирование, когда ингибитор связывается с ферментом также в некаталитическом центре, однако не со свободным ферментом, а только с ES-комплексом в виде тройного комплекса.

Для выяснения вопроса о типе ингибирования пользуются уравнениями Михаэлиса-Ментен, Лайнуивера-Бэрка или другими, например уравнением Эди-Хофсти:
ν = -Km(y/(S)) + Vmax
и соответствующими графиками в прямолинейных координатах.

Рис. 2. Графики зависимости скорости ферментативной реакции от концентрации субстрата в присутствии конкурентного ингибитора.
а - в координатах v от ( S ) ; б - в координатах 1/v от 1 / ( S ) ; Vmaxи Vi - максимальные скорости реакции; Кm и Kmi - константа Михаэлиса соответственно в отсутствие (1) и в присутствии (2) ингибитора.

Рис. 3. Графики зависимости скорости ферментативной реакции от концентрации субстрата в присутствии неконкурентного ингибитора.
При конкурентном типе ингибирования ингибитор увеличивает значение Кm, не оказывая влияния на максимальную скорость Vmax. Это означает, что при достаточно высокой концентрации субстрата ( S ) ингибитор вытесняется молекулами субстрата из комплекса EI. При неконкурентном ингибировании (рис. 4.22) ингибитор снижает величину максимальной скорости. Если при этом величина Кm не уменьшается, то говорят о полностью неконкурентном ингибировании. Подобный тип ингибирования имеет место при образовании неактивных, труднодиссоциирующих комплексов EI и (или) EIS. Часто, однако, наблюдается смешанный тип ингибирования, иногда называемый частично неконкурентным, или обратимым неконкурентным ингибированием (см. ранее), при котором снижение Vmax сочетается с одновременным увеличением значений Кm. Это означает, что комплекс EI сохраняет частичную активность, т.е. способность к образованию промежуточного тройного комплекса EIS, в котором субстрат подвергается замедленному каталитическому превращению. В редких случаях степень торможения активности фермента может увеличиваться с повышением концентрации субстрата. Для этого типа торможения был предложен, как отмечено ранее, довольно неточный термин «бесконкурентное ингибирование». Один из механизмов такого торможения обусловлен возможностью соединения ингибитора с комплексом ES с образованием неактивного или медленно реагирующего тройного комплекса EIS.
2. ЭКСПЕРЕМЕНТАЛЬНАЯ ЧАСТЬ
Исследование воздействия внешних факторов на амилазу слюны
1. Специфичность амилазы слюны
Методика приготовления разбавленной слюны:
Прополоскать рот два раза дистиллированной водой для удаления остатков пищи. Взять в рот 20 мл. дистиллированной воды, держать её во рту около двух минут. полученную жидкость слить в стакан или колбу. Жидкость представляет собой раствор слюны, содержащий амилазу-фермент.
Ход работы:
В 2 пробирки добавить по 20 капель раствора крахмала, в 3-ю- 20 капель раствора сахарозы.
В первую пробирку налить 10 капель дистиллированной воды, во вторую и в третью пробирки добавить по 10 капель разведенной слюны. Содержимое пробирок перемешать встряхиванием и поместить пробирки в водяную баню с температурой 37-40’ С. Через пять минут пробы разделить пополам и проделать реакции с йодом (для чего добавить в каждую пробирку по 1 капле раствора йода в йодистом калии) и с фелинговой жидкостью (добавить по 5 капель фелинговой жидкости).
Результаты отражены в таблице 1
Таблица 1
№ пробирки | Субстрат | фермент | Реакция с йодом | Реакция с Фелинговой жидкостью | |
До | После | ||||
1 | крахмал |
| бесцветный. | Сине-фиолетовое окрашивание (со временем исчезает) | - |
2 | крахмал | амилаза |
| Бесцвет Подобные работы:
Актуально:
| |