Анализ почв и агрохимический анализ
Содержание
1. Введение. Агрономическая химия
2. Агрономический анализ
А) Анализ почв
1)Особенности почвы, как объекта анализа
2)Система показателей хим. состава почв
3)Принципы определения и интерпретации
4)Подготовка проб почв с исследуемого участка
5)Подготовка почвы к анализу
6)Получение водного раствора почв
7)Методы количественного анализа вытяжек
8)Методика определения. Кислотность почв
9)Определение рН, обменной кислотности и подвижного Al по Соколову
10)Методы определения приоритетных загрязняющих веществ
Б) Анализ растений
1)Отбор растительной пробы
2)Фиксирование растительных материалов
3)Размол и хранение
4)Определение различных веществ в растительных материалах
5)Определение общего азота по Кьельдалю
В) Анализ удобрений
1)Определение видов и форм некоторых минеральных удобрений по качественным реакциям
2)Определение в удобрениях содержания аммиачного азота методом открытого кипячения
Заключение
Список цитируемой литературы
1 ВВЕДЕНИЕ. АГРОНОМИЧЕСКАЯ ХИМИЯ
Агрономическая химия изучает гл. обр. вопросы азотного и минерального питания с.-х. растений с целью повышения урожая и улучшения продукции. Таким образом, а. х. исследует состав с.-х. растений, почвы, удобрений и процессы их взаимного влияния. Равным образом она изучает процессы приготовления удобрений и вещества, употребляемые для борьбы с вредителями, а также разрабатывает методы хим. анализа агрономических объектов: почвы, растений и продуктов, из них получаемых, и пр. Особенно значимы микробиологические процессы почвы. В этой области а. х. соприкасается с почвоведением и общим земледелием. С другой стороны, а. х. опирается на физиологию растений и с ней соприкасается, поскольку а. х. занимается изучением процессов, происходящих при прорастании, питании, созревании семян и пр., и пользуется методами водных, песчаных и почвенных культур. При своих исследованиях агрономы-химики, пользуясь главным образом химическими методами, из которых в последнее время особенно широко применяются физико-химические, в то же время должны владеть методикой искусственных культур и бактериологическими методами исследования. Вследствие сложности и многообразия задач а. х., некоторые группы вопросов, входивших ранее в а. х., выделились в самостоятельные дисциплины. Это относится к химии, изучающей химический состав растений, главным образом с.-х. и технических, а также к биологической химии и биологической физике, изучающим процессы живой клетки.
2 АГРОНОМИЧЕСКИЙ АНАЛИЗ
Агрономическийанализ: 1) почвы, 2) растительных веществ, 3) удобрений. А. а. обслуживает опытные с.-х. станции и лаборатории при выработке научных оснований животноводства и растениеводства, контролирует с.-х. производство и переработку продуктов с.-х. Каждый отдел а. а. имеет ряд отдельных методов определения.
I. По анализу почв.
А) Методы валового анализа почвы:
1) определение гигроскопической влаги,
2) общего содержания минеральных веществ,
3) углекислоты,
4) карбонатов,
5) перегноя,
6) азота,
7) химически связанной воды,
8) различные валовые определения минеральной части почвы после разложения почвы фтористоводородной кислотой или сплавлением с углекислыми щелочами.
Б) Анализ солянокислой вытяжки.
В) Анализ водной вытяжки.
II. По анализу растительных веществ:
1) определение гигроскопической влажности,
2) золы,
3) сырого жира,
4) нечистой клетчатки,
5) чистой клетчатки и сопутствующих ей лигнина и кутина,
6) пентозанов,
7) крахмала,
8) общего количества безазотных экстрактивных веществ,
9) растворимых углеводов,
10) тростникового сахара,
11) общего количества азота,
12) белковых веществ — по содержанию белкового азота,
13) азота небелковых веществ:
а) свободного аммиака,
б) амидов кислот (аспарагина и глютамина),
в) аминокислот,
14) нитратного азота. Кроме того, определяются иногда органические вещества растений, а также все минеральные составные части золы растительных веществ.
III. По анализу удобрений детально разработаны методы анализа:
1) фосфорнокислых удобрений,
2) азотных,
3) калийных
4) известковых.
А)Анализ почв
1) Особенности почвы как объекта химического исследования и
показатели химического состояния почв
Почва — сложный объект исследования. Сложность исследования химического состояния почв обусловлена особенностями их химических свойств и связана с необходимостью получения информации, адекватно отражающей свойства почв и обеспечивающей наиболее рациональное решение, как теоретических вопросов почвоведения, так и вопросов практического использования почв. Для количественного описания химического состояния почв используют широкий набор показателей. В него входят показатели, определяемые при анализе практически любых объектов и разработанные специально для исследования почв (обменная и гидролитическая кислотность, показатели группового и фракционного состава гумуса, степень насыщенности почв основаниями и др.)
Особенностями почвы как химической системы является гетерогенность, полихимизм, дисперсность, неоднородность, изменение и динамика свойств, буферность, а так же необходимость оптимизации свойств почвы.
Полихимизм почв. В почвах один и тот же химический элемент может входить в состав разнообразных соединений: легкорастворимых солей, сложных алюмосиликатов, органоминеральных веществ. Эти компоненты обладают разными свойствами, от которых, в частности, зависит способность химического элемента переходить из твердых фаз почвы в жидкую, мигрировать в профиле почвы и в ландшафте, потребляться растениями и т.п. Поэтому в химическом анализе почв определяют не только общее содержание химических элементов, но и показатели, характеризующие состав и содержание индивидуальных химических соединений или групп соединений, обладающих близкими свойствами.
Гетерогенность почв. В составе почвы выделяют твердую, жидкую, газовую фазы. При исследовании химического состояния почвы и отдельных ее компонентов определяют показатели, характеризующие не только почву в целом, но и ее отдельные фазы. Разработаны математические модели, позволяющие оценить взаимосвязь уровней парциального давления диоксида углерода в почвенном воздухе, рН, карбонатной щелочности и концентрации кальция в почвенном растворе.
Полидисперсность почв. Твердые фазы почвы состоят из частиц разного размера от крупинок песка до коллоидных частиц диаметром в несколько микрометров. Они неодинаковы по составу и обладают разными свойствами. При специальных исследованиях генезиса почв определяют показатели химического состава и других свойств отдельных гранулометрических фракций. С дисперсностью почв связана их способность к ионному обмену, которая в свою очередь характеризуется специфическим набором показателей — емкостью катионного и анионного обмена, составом обменных катионов и пр. От уровней этих показателей зависят многие химические и физические свойства почв.
Кислотно-основные и окислительно-восстановительные свойства почв. В состав почв входят компоненты, проявляющие свойствакислот и оснований, окислителей и восстановителей. Прирешении разнообразных теоретических и прикладных проблемпочвоведения, агрохимии, мелиорации определяют показатели,характеризующие кислотность и щелочность почв, их окислительно-восстановительное состояние.
Неоднородность, вариабельность, динамика, буферность химических свойств почв. Свойства почв неодинаковы даже в пределаходного и того же генетического горизонта. При исследованиипроцессов формирования почвенного профиля оцениваютхимические свойства отдельных элементов организации почвенноймассы.Свойства почв варьируют в пространстве, изменяются вовремени и в то же время почвы обладают способностьюпротивостоять изменению своих свойств, т. е. проявляют буферность.Разработаны показатели и способы характеристики вариабельности,динамики, буферности свойств почв.
Изменение свойств почв. В почвах непрерывно протекают разнообразные процессы, которые приводят к изменению химических свойств почв. Практическое применение находят показатели, характеризующие направление, степень выраженности, скорости протекающих в почвах процессов; исследуются динамика изменения свойств почв и их режимы. Разнокачественностъ состава почв. Разные типы и даже виды и разновидности почв могут иметь столь разные свойства, что для их химической характеристики используют не только разные аналитические приемы, но и разные наборы показателей. Так, в подзолистых, дерново-подзолистых, серых лесных почвах, определяют рН водных и солевых суспензий, обменную и гидролитическую кислотность, обменные основания вытесняют из почв водными растворами солей. При анализе засоленных почв определяют рН только водных суспензий, а вместо показателей кислотности — общую, карбонатную и другие виды щелочности. Перечисленные особенности почв во многом обусловливают принципиальные основы методов исследования химического состояния почв, номенклатуру и классификацию показателей химических свойств почв и химических почвенных процессов.
2) Система показателей химического состояния почв
Группа 1. Показатели свойств почв и почвенных компонентов
Подгруппы:
1. Показатели состава почв и почвенных компонентов;
2. Показатели подвижности химических элементов в почвах;
3. Показатели кислотно-основных свойств почв;
4. Показатели ионообменных и коллоидно-химических свойств почв;
5. Показатели окислительно-восстановительных свойств почв;
6. Показатели каталитических свойств почв;
Группа 2. Показатели химических почвенных процессов
Подгруппы:
1. Показатели направления и степени выраженности процесса;
2. Показатели скорости процесса.
3) Принципы определения и интерпретации уровней показателей
Результаты анализа почв содержат информацию о свойствах почв и почвенных процессах и на этой основе позволяют решить стоящую перед исследователем задачу. Приемы интерпретации уровней показателей зависят от методов их определения. Эти методы можно разделить на две группы. Методы первой группы позволяют без изменения химического состояния почвы оценить ее свойства. Вторая группа - методы, в основе которых лежит химическая обработка анализируемой почвенной пробы. Цель этой обработки — воспроизвести химические равновесия, которые осуществляются в реальной почве либо заведомо нарушить сложившиеся в почвах взаимосвязи и извлечь из почвы компонент, количество которого позволяет оценить химическое свойство почвы или протекающий в ней процесс. Этот этап аналитического процесса — химическая обработка навески почвы — отражает главную особенность метода исследования и обусловливает приемы интерпретации уровней большинства определяемых показателей.
4) Подготовка проб почвы с исследуемых участков
Пробы почвы нужно брать с помощью кернов диаметром около 10 мм на глубину 10- 20 см. Керны лучше предварительно простерилизовать в кипящей воде (1000С). Для проведения анализа почвы отбирают смешанные образцы почвы на глубину окультуриваемого слоя. Как правило, достаточно составить один смешанный образец для участка площадью до 2 га. Смешанный образец составляют из 15-20 индивидуальных почвенных проб, взятых равномерно по всей площади участка. Образцы для анализа почвы не отбирают непосредственно после внесения минеральных и органических удобрений, извести. Каждый смешанный образец массой 500 г. упаковывают в матерчатый или полиэтиленовый мешок и маркируют.
5) Подготовка почвы к агрохимическому анализу
Составление аналитической пробы - ответственная операция, которая обеспечивает надежность полученных результатов. Небрежность и ошибки при подготовке образцов и взятии средней пробы не компенсируются последующей качественной аналитической проработкой. Образцы почвы, отобранные в поле или в вегетационном домике, предварительно подсушивают на воздухе при комнатной температуре. Хранение сырых образцов ведет к значительным изменениям их свойств и состава, особенно в результате ферментативных и микробиологических процессов. Напротив - температурный перегрев сопровождается изменением подвижности и растворимости многих соединений. Если образцов много, то проводится сушка в шкафах с принудительной вентиляцией. Определение нитратов, нитритов, поглощённого аммония, водорастворимых форм калия, фосфора и т.п. проводится в день взятия образцов при их естественной влажности. Остальные определения проводятся в воздушно-сухих образцах. Сухие образцы измельчают на почвенной мельнице или растирают в фарфоровой ступке пестиком с резиновым наконечником. Растёртый и просушенный образец пропускают через сито с диаметром отверстий 2-3 мм. Растирание и просеивание проводят до тех пор, пока весь взятый образец не пройдет через сито. Допускается отброс только обломков камней, крупных корней и инородных включений. Образцы хранятся в закрытых крафтовых пакетах в помещении, где отсутствуют химические реактивы. Навеску почвы для анализа берут методом «средней пробы». Для этого просеянный образец рассыпают тонким слоем (около 0.5 см) на листе бумаги в виде квадрата и делят его шпателем на мелкие квадратики со стороной 2-2.5 см. Из каждого квадратика шпателем отбирают часть образца.
Основными агрохимическими показателями анализа почвы, без которых не обходится ни одно окультуривание земель, являются содержание гумуса, подвижных форм фосфора, азота и калия, кислотность почвы, содержание кальция, магния, а также микроэлементов, в том числе и тяжелых металлов. Современные методы анализа позволяют определить в одной пробе 15-20 элементов. Фосфор относится к макроэлементам. По обеспеченности подвижными фосфатами различают почвы с очень низким содержанием - менее мг., низким - менее 8 мг., средним - 8 - 15 мг. и высоким - более 15 мг. фосфатов на 100 г. почвы.
Калий. Для этого элемента разработаны градации по содержанию в почве подвижных форм: очень низкое - до 4 мг., низкое - 4-8 мг., среднее - 8-12 мг., повышенное - 12-17 мг., высокое - более 17 мг. обменного калия на 100 г. почвы.Кислотность почвы - характеризует содержание протонов водорода в почве. Этот показатель выражают величиной рН. Кислотность почвы оказывает свое влияние на растения не только через непосредственное воздействие на корни растений токсичных протонов водорода и ионов алюминия, но и через характер поступления элементов питания. Катионы алюминия могут связываться с фосфорной кислотой, переводя фосфор в недоступную для растений форму. Негативное действие низкой кислотности отражается и на самой почве. При вытеснении протонами водорода из почвенного поглощающего комплекса (ППК) катионов кальция и магния, стабилизирующих структуру почвы, происходит разрушение гранул почвы и потеря ею оструктуренности.
Различают актуальную и потенциальную кислотность почвы. Актуальная кислотность почвы обусловлена превышением концентрации протонов водорода над ионами гидроксила в почвенном растворе. Потенциальная кислотность почвы включает протоны водорода, находящиеся в связанном состоянии с ППК. Для суждения о потенциальной кислотности почвы определяют рН солевой вытяжки (pH KCl). В зависимости от величины pH KCl различают кислотность почвы: до 4 - очень сильнокислая, 4,1-4,5 - сильнокислая, 4,6-5,0 - среднекислая, 5,1-5,5 - слабокислая, 5,6-6,0 - близкая к нейтральной и 6,0 - нейтральная. Анализ почвы на содержание тяжелых металлов и радиационный анализ относятся к категории редких анализов.
6) Получение водного раствора почв
Растворы веществ, содержащихся в почве, получают многими способами, которые принципиально можно разделить на две группы:-получение почвенного раствора;- получение водной вытяжки из почвы.В первом случае получают несвязанную или слабо связанную почвенную влагу - ту, которая содержится между частицами почвы и в почвенных капиллярах. Это слабо насыщенный раствор, но его химический состав является актуальным для растения, поскольку именно эта влага омывает корни растений и именно в ней идет обмен химическими веществами. Во втором случае вымывают из почвы связанные с ее частицами растворимые химические соединения. Выход соли в водную вытяжку зависит от соотношения почвы и раствора и увеличивается при возрастании температуры экстрагирующего раствора (до определенных пределов, так как слишком высокая температура может разрушить какие-либо вещества или перевести их в иное состояние) и увеличении объема раствора и степени измельченности почвы (до определенных пределов, так как слишком мелкие пылеобразные частицы могут сделать затруднительной или невозможной экстракцию и фильтрацию раствора).Почвенный раствор получают с помощью ряда инструментов: опрессование, центрифугирование, вытеснение несмешивающимся раствором жидкости, вакуум-фильтрационный метод и лизиметрический метод.
Опрессование проводится с образцом почвы, взятым из полевых в лабораторные условия. Чем большее количество раствора необходимо, тем крупнее должен быть образец или выше применяемое давление, или и то, и другое одновременно. Центрифугирование проводится при 60 об/мин в течение длительного времени. Метод малоэффективен, и подходит для образцов почв с влажностью, приближенной к полной возможной влажности данной почвы. Для пересушенной почвы такой способ неприменим. Вытеснение почвенной влаги веществом, не смешивающимся с почвенным раствором, позволяет получить фактически всю влагу почвы, включая капиллярную, без использования сложной техники. В качестве вытесняющей жидкости используется спирт или глицерин. Неудобства в том, что эти вещества, кроме высокой плотности, обладают хорошей экстрагирующей способностью по отношению к некоторым соединениям (например, спирт легко экстрагирует почвенную органику), поэтому можно получить завышенные показатели содержания ряда веществ по сравнению с их реальным содержанием в почвенном растворе. Метод подходит не для всех типов почв.
При вакуум-фильтрационном методе над образцом с помощью вакуума создается разрежение, превышающее уровень натяжения почвенной влаги. При этом не извлекается капиллярная влага, так как силы натяжения в капилляре выше сил натяжения поверхности свободной жидкости.Лизиметрический метод используется в полевых условиях. Лизиметрический метод позволяет не столько оценить гравитационную влагу (то есть влагу, способную к перемещению по почвенным слоям благодаря силе гравитации - за исключением капиллярной влаги), сколько провести сравнение содержания и миграции химических элементов почвенного раствора. Свободная влага почвы фильтруется через толщу почвенного горизонта по гравитационным силам до пробоотборника, расположенного на поверхности почвы.
Для получения более полного представления о химическом составе почвы, готовят почвенную вытяжку. Для ее получения образец почвы измельчают, пропускают через сито с ячейками диаметром 1 мм, добавляют воду в массовом соотношении 1 часть почвы на 5 частей бидистиллированной (очищенной от любых примесей, дегазированной и деионизированной) воды, рН 6.6-6,8, температура 200С. Дегазация проводится для того, чтобы освободить воду от примесей растворенного газообразного углекислого газа, который при соединении с некоторыми веществами дает нерастворимый осадок, снижая точность эксперимента. Примеси других газов также могут оказывать негативное влияние на результаты эксперимента.
Для более точного взвешивания навески следует учитывать ее естественную влажность, полевую (для только что взятого образца) или гигроскопическую (для высушенного и хранившегося образца). Определенную в процентах от массы образца его влажность переводят в массу и суммируют с требуемой массой. Навеска помещается в сухую колбу объемом 500-750 мл, добавляется вода. Колба с образцом почвы и водой плотно закрывается пробкой и встряхивается в течение двух-трех минут. Далее полученный раствор фильтруется через обеззоленный бумажный складчатый фильтр. Важно, чтобы в помещении при этом не было летучих паров кислот (работу предпочтительнее проводить под тягой, где не хранятся растворы кислот). Перед фильтрованием раствор с почвой хорошо взбалтывают, чтобы мелкие частицы почвы закрыли самые крупные поры фильтра и фильтрат получился более прозрачным. Примерно 10 мл начального фильтрата выбрасывается, так как он содержит примеси с фильтра. Фильтрование остальной части первичного фильтрата повторяют несколько раз.
К работе по определению содержания химических веществ в водной вытяжке приступают сразу после ее получения, так как с течением времени происходят химические процессы, изменяющие щелочность раствора, его окисляемость и т.п. Уже скорость фильтрации может показать относительное суммарное содержание солей в растворе. Если водная вытяжка богата солями, то фильтрация будет проходить быстро и раствор получится прозрачным, поскольку соли препятствуют пептизации почвенных коллоидов. В случае если раствор беден солями, фильтрация будет проходить медленно и не очень качественно. При этом имеет смысл отфильтровать раствор несколько раз, несмотря на низкую скорость, т.к. при дополнительных фильтрациях возрастает качество водной вытяжки благодаря снижению содержанию в ней частиц почвы.
7) Методы количественного анализа вытяжек или любых других
полученных в ходе анализа почв растворов
В большинстве случаев интерпретация результатов анализа почв от метода измерения не зависит. В химическом анализе почв может быть использован практически любой из методов, которыми располагают аналитики. При этом измеряется либо непосредственно искомая величина показателя, либо величина, функционально с ней связанная. Основные разделы хим. анализа почв: валовой, или элементный, анализ — позволяет выяснить общее содержание в почве С, N, Si, Al, Fe, Ca, Mg, Р, S, K, Na, Mn, Ti и др. элементов; анализ водной вытяжки (основа исследования засоленных почв) — даёт представление о содержании в почве водорастворимых веществ (сульфатов, хлоридов и карбонатов кальция, магния, натрия и др.); определение поглотительной способности почвы; выявление обеспеченности почв питательными веществами — устанавливают количество легкорастворимых (подвижных), усваиваемых растениями соединений азота, фосфора, калия и др. Большое внимание уделяют изучению фракционного состава органических веществ почвы, форм соединений основных почвенных компонентов, в том числе микроэлементов.
В лабораторной практике анализа почв используют классические химические и инструментальные методы. С помощью классических химических методов можно получить наиболее точные результаты. Относительная погрешность определения составляет 0,1-0,2%. Погрешность большинства инструментальных методов значительно выше — 2-5%
Среди инструментальных методов в анализе почв наиболее широко используются электрохимические и спектроскопические. Среди электрохимических методов находят применение потенциометрические, кондуктометрические, кулонометрические и вольтамперометрические, включающие все современные разновидности полярографии.
Для оценки почвы результаты анализов сравнивают с оптимальными уровнями содержания элементов, установленными экспериментальным путем для данного типа почв и проверенными в производственных условиях, или с имеющимися в литературе данными обеспеченности почв макро- и микроэлементами, либо с ПДК изучаемых элементов в почве. После этого делается заключение о состоянии почвы, даются рекомендации по её использованию, рассчитываются дозы мелиорантов, минеральных и органических удобрений на планируемый урожай.
Классические химические методы анализа

Электрохимические методы анализа

Систематизация и некоторые особенности спектроскопических методов 
При выборе метода измерения учитываются особенности химических свойств анализируемой почвы, природа показателя, необходимая точность определения его уровня, возможности методов измерения и выполнимость требуемых измерений в условиях проведения эксперимента. В свою очередь, точность измерений обусловливается целью исследования и природной вариабельностью изучаемого свойства. Точность — собирательная характеристика метода, оценивающая правильность и воспроизводимость получаемых результатов анализа.
Соотношение уровней содержания в почвах некоторых химических элементов.

Разные уровни содержания и разные химические свойства элементов не всегда делают целесообразным применение одного и того же метода измерения для количественного определения всего необходимого набора элементов.
В элементном (валовом) анализе почв используют методы с разными пределами обнаружения. Для определения химических элементов, содержание которых превышает десятые доли процента, возможно использование классических методов химического анализа — гравиметрических и титриметрических.
Разные свойства химических элементов, разные уровни их содержания, необходимость определения разных показателей химического состояния элемента в почве делают необходимым использование методов измерения с разными пределами обнаружения.
8) Кислотность почв
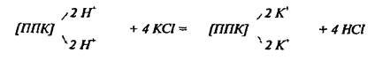
Определение реакции почв относится к числу наиболее распространенных анализов, как в теоретических, так и в прикладных исследованиях. Наиболее полная картина кислотных и основных свойств почв складывается при одновременном измерении нескольких показателей, в том числе титруемой кислотности или щелочности - фактор емкости и величины рН - фактор интенсивности. Фактор ёмкости характеризует общее содержание кислот или оснований в почвах, от него зависят буферность почв, устойчивость реакции во времени и по отношению к внешним воздействиям. Фактор интенсивности характеризует силу мгновенного действия кислот или оснований на почву и растения; от него зависит поступление минеральных веществ в растения в данный отрезок времени. Это позволяет дать более правильную оценку кислотности почв, так как в этом случае учитывается общее количество ионов водорода и алюминия, находящихся в почве в свободном и поглощенном состояниях.Актуальную кислотность (рН), определяют потенциометрически. Потенциальную кислотность определяют переведением в р-р ионов водорода и алюминия при обработке почвы избытком нейтральных солей (KCl):

По количеству образовавшейся свободной соляной кислоты судят об обменной кислотности почвы. Часть ионов Н+ остаётся в поглощённом состоянии (образующаяся в результате р-ии сильная HCl полностью диссоциирует и избыток свободных Н+ в растворе препятствует их полному вытеснению из ППК). Менее подвижная часть ионов Н+ может быть переведена в раствор лишь при дальнейшей обработке почвы растворами гидролитически щелочных солей (CH3COONa).

По количеству образовавшейся свободной уксусной кислоты судят о гидролитической кислотности почв. Ионы водорода при этом наиболее полно переходят в раствор (вытесняются из ППК), т.к. образующаяся уксусная кислота прочно связывает водородные ионы и реакция смещается вправо вплоть до полного вытеснения ионов водорода из ППК. Величина гидролитической кислотности равна разности между результатами, полученными при обработке почвы CH3COONa и KCl. На практике за величину гидролитической кислотности принимают результат, полученный при обработке почвы CH3COONa.
Кислотность почвы обуславливается не только ионами водорода, но и алюминия:

Гидроокись алюминия выпадает в осадок, и система практически ничем не отличается от той, в которой содержатся только поглощённые ионы водорода. Но если даже АlСl% останется в растворе, то при титровании
АlСl3+ 3 NaOH = А(ОН)3 + 3 NaCl
что равноценно реакции
3 НСl + 3 NaOH = 3 NaCl + 3 Н2О.Поглощённые ионы алюминия вытесняются и при обработке почвы раствором CH3COONa. В этом случае весь вытесненный алюминий переходит в осадок в виде гидроокиси.
По степени кислотности, определяемой в солевой вытяжке 0.1н. КKCl потенциометрически, почвы делятся на:
| очень сильно кислые | сильно кислые | средне кислые | слабо кислые | близкие к нейтральным | нейтральные |
| рН менее 4.0 | 4.1-4.5 | 4.6 - 5.0 | 5.1 - 5.5 | 5.6-6.0 | рН более 6.0 |
9)Определение рН, обменной кислотности и подвижного
алюминия по Соколову
Определение обменной кислотности основано на вытеснении из ППК ионов водорода и алюминия 1.0 н. раствором КKCl:

Образовавшуюся кислоту оттитровывают щёлочью и рассчитывают величину обменной кислотности, обусловленную суммой ионов водорода и алюминия. Al осаждают 3.5% р-ром NaF. В осадке образуется комплексная нейтральная соль-криолит:
AlCl3 + 6NaF = Na3AlF6 + 3NaCl
Повторное титрование раствора позволяет определить кислотность, обусловленную только ионами водорода. По разности данных первого и второго титрования проводят расчёт содержания алюминия в почве.
Ход анализа
1. На технических весах взять навеску 40 г воздушно-сухой почвы методом средней пробы.
2. Перенести навеску в коническую колбу ёмкостью 150-300 мл.
3. Прилить из бюретки 100 мл 1.0 н. KCl (рН 5.6-6.0).
4. Взбалтывать на ротаторе 1 час или взбалтывать 15 мин. и оставить на ночь.
5. Отфильтровать через воронку с сухим бумажным складчатым фильтром, отбросив первую порцию фильтрата.
6. В фильтрате определить значение рН потенциометрически.
7. Для определения обменной кислотности взять пипеткой 25 мл фильтрата в колбу Эрленмейера объемом 100 мл.
8. На горелке или электроплитке кипятить фильтрат 5 мин. по песочным часам для удаления углекислого газа.
9. Прибавить в фильтрат 2 капли фенолфталеина и оттитровать горячий раствор 0.01 или 0.02 н. раствором щёлочи (КОН или NaOH) до устойчивой розовой окраски — 1-ое титрование.
10. В другую колбу Эрленмейера взять пипеткой также 25 мл фильтрата прокипятить 5 мин., охладить в водяной бане до комнатной температуры.
11.В охлаждённый фильтрат прилить пипеткой 1.5 мл 3.5 %-го раствора фтористого натрия, перемешать.
12. Прибавить 2 капли фенолфталеина и оттитровать 0.01 или 0.02 н. раствором щёлочи до слабо-розовой окраски — 2-ое титрование.
Расчет
1. Обменная кислотность, обусловленная ионами водорода и алюминия (по результатам 1-го титрования) в мг-экв на 100 г сухой почвы:

где: Р - разведение 100/25=4; Н - навеска почвы в граммах; К- коэффициент влажности почвы; мл КОН- количество щёлочи, пошедшее на титрование; н. КОН - нормальность щелочи.
2 Расчет кислотности, обусловленной ионами водорода тот же, но по результатам второго титрования, после осаждения алюминия.
3. Расчёт содержания алюминия (ионов) по разности 1-го и 2-го определений (Н+ + Аl3+) мг-экв – Н+ мг-экв =Аl3+ мг-экв/100 г почвы, умножив полученное значение на 9 (эквивалентный вес алюминия), определяем количество алюминия в мг на 100 г почвы.
• При определении этих показателей во влажной почве одновременно
определяют процент влажности.
Реактивы
1. Раствор 1 н. КСl, 74.6 г х.ч. КСl растворить в 400-500 мл дистиллированной воды, перенести в мерную колбу 1 л и довести до метки. рН реактива должен быть 5.6-6.0 (проверить перед началом анализа - в случае необходимости установить нужное значение рН добавлением 10%-го раствора КОН)
2. 0.01 или 0.02 н. раствор КОН или NaOH готовится из навески реактива или фиксанала.
3. 3.5% раствор фтористого натрия, приготовленный на дистиллированной воде без СО2 (кипятить дистиллированную воду, упаривая до 1/3 первоначального объёма).
10) Методы определения приоритетных загрязняющих веществ
в почвах
Отдельно, в виду актуальности и важности задачи, следует упомянуть о необходимости анализа тяжелых металлов в почвах. Выявление загрязнения почв тяжелыми металлами производят прямыми методами отбора почвенных проб на изучаемых территориях и их химического анализа. Также используют ряд косвенных методов: визуальная оценка состояния фитогенезов, анализ распространения и поведения видов – индикаторов среди растений, беспозвоночных и микроорганизмов. Рекомендовано отбирать образцы почв и растительности по радиусу от источника загрязнения с учетом господствующих ветров по маршруту протяженностью 25-30 км. Расстояние от источника загрязнения для выявления ореола загрязнения может изменяться от сотен метров до десятков километров. Выявить уровень токсичности тяжелых металлов непросто. Для почв с разными механическими составами и содержанием органического вещества этот уровень будет неодинаков. Предложены ПДК для ртути – 25 мг/кг, мышьяка – 12-15, кадмия – 20 мг/кг. Установлены некоторые губительные концентрации ряда тяжелых металлов в растениях (г/млн.): свинец – 10, ртуть – 0,04, хром – 2, кадмий – 3, цинк и марганец – 300, медь – 150, кобальт – 5, молибден и никель – 3, ванадий – 2.
Кадмий. В растворах кислых почв он присутствует в формах Cd2+ , CdCl+ , CdSO4 , щелочных почв - Cd2+ , CdCl+ ,CdSO4 ,CdHCO3 . Ионы кадмия (Cd2+) составляют 80-90% общего количества в растворе за исключением тех почв, которые загрязнены хлоридами и сульфатами. В этом случае 50% общего количества кадмия составляют CdCl+ и CdSO4. Кадмий склонен к активному биоконцентрированию, что приводит в короткое время к его избытку в биодоступных концентрациях. Т.о., кадмий по сравнению с другими тяжелыми металлами является наиболее сильным токсикантом почв. Кадмий не образует собственных минералов, а присутствует в виде примесей, большая его часть в почвах представлена обменными формами (56-84%). Кадмий практически не связывается с гумусовыми веществами.
Свинец. Для почв характерны менее растворимые и менее подвижные формы свинца по сравнению с кадмием. Содержание этого элемента в водорастворимой форме составляет 1,4%, в обменной - 10% от валового; более 8% свинца связано с органическим веществом, большая часть этого количества приходится на фульваты. С минеральной составляющей почвы связано 79% свинца. Концентрации свинца в почвах фоновых районов мира 1-80 мг/кг. Результаты многолетних мировых исследований показали среднее содержание свинца в почвах 16 мг/кг.
Ртуть. Ртуть - самый токсичный элемент в природных экосистемах. Ион Hg2+ может присутствовать в виде индивидуальных ртутьорганических соединений (метил-, фенил-, этилртуть и др.). Ионы Hg2+ и Hg+ могут быть связаны с минералами как часть их кристаллической решетки. При низких значениях pH почвенной суспензии большая часть ртути сорбирована органическим веществом, а по мере увеличения pH возрастает количество ртути, связанной с почвенными минералами.
Свинец и кадмий.Для определения содержания свинца и кадмия в объектах природной среды на фоновом уровне наиболее широко применяется метод атомно-абсорбционной спектрофотометрии (ААС). Метод ААС основан на атомизации переведенного в раствор определяемого элемента в графитовой кювете в атмосфере инертного газа и поглощении резонансной линии спектра испускания лампы полого катода соответствующего металла. Абсорбцию свинца измеряют при длине волны 283,3 нм, кадмия при длине волны 228,8 нм. Анализируемый раствор проходит стадии сушки, озоления и атомизации в графитовой кювете при помощи высокотемпературного нагрева электрическим током в потоке инертного газа. Поглощение резонансной линии спектра испускания лампы с полым катодом соответствующего элемента пропорционально содержанию этого элемента в пробе. При электротермической атомизации в графитовой кювете пре