Структурная надежность систем
РАСЧЕТЫ СТРУКТУРНОЙ НАДЕЖНОСТИ СИСТЕМ
ВВЕДЕНИЕ
Надежностью называют свойство объекта сохранять во времени в установленных пределах значения всех параметров, характеризующих способность выполнять требуемые функции в заданных режимах и условиях применения, технического обслуживания, ремонтов, хранения и транспортировки. Расширение условий эксплуатации, повышение ответственности выполняемых радиоэлектронными средствами (РЭС) функций, их усложнение приводит к повышению требований к надежности изделий.
Надежность является сложным свойством, и формируется такими составляющими, как безотказность, долговечность, восстанавливаемость и сохраняемость. Основным здесь является свойство безотказности - способность изделия непрерывно сохранять работоспособное состояние в течение времени. Потому наиболее важным в обеспечении надежности РЭС является повышение их безотказности.
Особенностью проблемы надежности является ее связь со всеми этапами “жизненного цикла” РЭС от зарождения идеи создания до списания: при расчете и проектировании изделия его надежность закладывается в проект, при изготовлении надежность обеспечивается, при эксплуатации - реализуется. Поэтому проблема надежности - комплексная проблема и решать ее необходимо на всех этапах и разными средствами. На этапе проектирования изделия определяется его структура, производится выбор или разработка элементной базы, поэтому здесь имеются наибольшие возможности обеспечения требуемого уровня надежности РЭС. Основным методом решения этой задачи являются расчеты надежности (в первую очередь - безотказности), в зависимости от структуры объекта и характеристик его составляющих частей, с последующей необходимой коррекцией проекта. Некоторые способы расчета структурной надежности рассматриваются в данном пособии .
1. КОЛИЧЕСТВЕННЫЕ ХАРАКТЕРИСТИКИ БЕЗОТКАЗНОСТИ
Безотказность (и другие составляющие свойства надежности) РЭС проявляется через случайные величины: наработку до очередного отказа и количество отказов за заданное время. Поэтому количественными характеристиками свойства здесь выступают вероятностные переменные.
Наработка есть продолжительность или объем работы объекта. Для РЭС естественно исчисление наработки в единицах времени, тогда как для других технических средств могут быть удобнее иные средства измерения (например, наработка автомобиля - в километрах пробега). Для невосстанавливаемых и восстанавливаемых изделий понятие наработки различается: в первом случае подразумевается наработка до первого отказа (он же является и последним отказом), во втором - между двумя соседними во времени отказами (после каждого отказа производится восстановление работоспособного состояния). Математическое ожидание случайной наработки Т
(1.1)
является характеристикой безотказности и называется средней наработкой на отказ (между отказами). В (1.1) через t обозначено текущее значение наработки, а f(t) - плотность вероятности ее распределения.
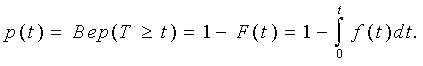
Вероятность безотказной работы - вероятность того, что в пределах заданной наработки t отказ объекта не возникнет:
(1.2)
Вероятность противоположного события называется вероятностью отказа и дополняет вероятность безотказной работы до единицы:
(1.3)
В (1.2) и (1.3) F(t) есть интегральная функция распределение случайной наработки t. Плотность вероятности f(t) также является показателем надежности, называемым частотой отказов:
(1.4)
Из (1.4) очевидно, что она характеризует скорость уменьшения вероятности безотказной работы во времени.
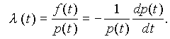
Интенсивностью отказов называют условную плотность вероятности возникновения отказа изделия при условии, что к моменту t отказ не возник:
(1.5)
Функции f(t) и
(t) измеряются в ч
.
Интегрируя (1.5), легко получить:
(1.6)
Это выражение, называемое основным законом надежности, позволяет установить временное изменение вероятности безотказной работы при любом характере изменения интенсивности отказов во времени. В частном случае постоянства интенсивности отказов
(t) =
= const (1.6) переходит в известное в теории вероятностей экспоненциальное распределение:
}. (1.7)
Поток отказов при
(t)=const называется простейшим и именно он реализуется для большинства РЭС в течении периода нормальной эксплуатации от окончания приработки до начала старения и износа.
Подставив выражение плотности вероятности f(t) экспоненциального распределения (1.7) в (1.1), получим:
(1.8)
т.е. при простейшем потоке отказов средняя наработка Т0 обратна интен-сивности отказов
. С помощью (1.7) можно показать, что за время средней наработки, t=T0, вероятность безотказной работы изделия составляет 1/е. Часто используют характеристику, называемую
- процентной наработкой - время, в течении которого отказ не наступит с вероятностью
(%):
(1.9)
Выбор параметра для количественной оценки надежности определяется назначением, режимами работы изделия, удобством применения в расчетах на стадии проектирования.
2. СТРУКТУРНО - ЛОГИЧЕСКИЙ АНАЛИЗ ТЕХНИЧЕСКИХ СИСТЕМ
Конечной целью расчета надежности технических устройств является оптимизация конструктивных решений и параметров, режимов эксплуатации, организация технического обслуживания и ремонтов. Поэтому уже на ранних стадиях проектирования важно оценить надежность объекта, выявить наиболее ненадежные узлы и детали, определить наиболее эффективные меры повышения показателей надежности. Решение этих задач возможно после пред- варительного структурно - логического анализа системы.
Большинство технических объектов, в том числе РЭС, являются сложными системами, состоящими из отдельных узлов, деталей, агрегатов, устройств контроля, управления и т.д.. Техническая система (ТС) - совокупность технических устройств (элементов), предназначенных для выполнения определенной функции или функций. Соответственно, элемент - составная часть системы.
Расчленение ТС на элементы достаточно условно и зависит от постановки задачи расчета надежности. Например при анализе работоспособности технологической линии ее элементами могут считаться отдельные установки и станки, транспортные и загрузочные устройства и т.д.. В свою очередь станки и устройства также могут считаться техническими системами и при оценке их надежности должны быть разделены на элементы - узлы, блоки, которые, в свою очередь - на детали и т.д..
При определении структуры ТС в первую очередь необходимо оценить влияние каждого элемента и его работоспособности на работоспособность системы в целом. С этой точки зрения целесообразно разделить все элементы на четыре группы:
1. Элементы, отказ которых практически не влияет на работоспособность системы (например, деформация кожуха, изменение окраски поверхности и т.п.).
2. Элементы, работоспособность которых за время эксплуатации практически не изменяется и вероятность безотказной работы близка к единице (корпусные детали, малонагруженные элементы с большим запасом прочности).
3. Элементы, ремонт или регулировка которых возможна при работе изделия или во время планового технического обслуживания (наладка или замена технологического инструмента оборудования, настройка частоты селек-тивных цепей РЭС и т.д.).
4. Элементы, отказ которых сам по себе или в сочетании с отказами других элементов приводит к отказу системы. Очевидно, при анализе надежности ТС имеет смысл включать в рас-смотрение только элементы последней группы.
Для расчетов параметров надежности удобно использовать структурно - логические схемы надежности ТС, которые графически отображают взаимосвязь элементов и их влияние на работоспособность системы в целом. Структурно - логическая схема представляет собой совокупность ранее выделенных элементов, соединенных друг с другом последовательно или параллельно. Критерием для определения вида соединения элементов (последовательного илипараллельного) при построении схемы является влияние их отказа на работоспособность ТС.
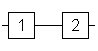
Последовательным (с точки зрения надежности) считается соединение, при котором отказ любого элемента приводит к отказу всей системы (рис. 2.1).
Параллельным (с точки зрения надежности) считается соединение, при котором отказ любого элемента не приводит к отказу системы, пока не откажут все соединенные элементы (рис. 2.2).

Определенная аналогия здесь прослеживается с цепью, составленной из проводящих элементов (исправный элемент пропускает ток, отказавший не пропускает): работоспособному состоянию ТС соответствует возможность протекания тока от входа до выхода цепи .
Примером последовательного соединения элементов структурно - логической схемы может быть технологическая линия, в которой происходит переработка сырья в готовый продукт, или РЭС, в котором последовательно осуществляется преобразование входного сигнала. Если же на некоторых участках линии, или пути сигнала, предусмотрена одновременная обработка на нескольких единицах оборудования, то такие элементы (единицы оборудова-ния) могут считаться соединенными параллельно.
Однако не всегда структурная схема надежности аналогична конструктив-ной или электрической схеме расположения элементов. Например, подшипники на валу редуктора работают конструктивно параллельно друг с другом, однако выход из строя любого из них приводит к отказу системы. Аналогично дейст-вие индуктивности и емкости параллельного колебательного контура в селективных каскадах РЭС. Указанные элементы с точки зрения надежности образуют последовательное соединение.
Кроме того, на структуру схемы надежности может оказывать влияние и вид возникающих отказов. Например, в электрических системах для повыше-ния надежности в ряде случаев применяют параллельное или последовательное соединение коммутирующих элементов (рис. 2.3). Отказ таких изделий может происходить по двум причинам: обрыва (т.е. невозможности замыкания цепи) и замыкания (т.е. невозможности разрыва соединения). В случае отказа типа “обрыв” схема надежности соответствует электрической схеме системы (при “обрыве” любого коммутатора при последовательном их соединении возникает отказ, при параллельном - все функции управления будет выполнять исправный коммутатор). В случае отказа типа “замыкание” схема надежности противоположна электрической (в параллельном включении утратится возможность отк-лючения тока, а в последовательном общего отказа не происходит).
Электрическая схема | Структурная схема надежности при отказе типа | ||
обрыв | замыкание | ||
|
|
| |
|
|
| |
Рис. 2.3. Электрические и структурные схемы соединения коммутационных элементов при различных видах отказов
В целом анализ структурной надежности ТС, как правило, включает следующие операции:
1. Анализируются устройства и выполняемые системой и ее составными частями функции , а также взаимосвязь составных частей.
2. Формируется содержание понятия “безотказной работы” для данной конкретной системы.
3. Определяются возможные отказы составных частей и системы, их причины и возможные последствия.
4. Оценивается влияние отказов составных частей системы на ее работоспособность.
5. Система разделяется на элементы, показатели надежности которых известны.
6. Составляется структурно - логическая схема надежности технической системы, которая является моделью ее безотказной работы.
7. Составляются расчётные зависимости для определения показателей надёжности ТС с использованием данных по надежности её элементов и с учётом структурной схемы.
В зависимости от поставленной задачи на основании результатов расчета характеристик надежности ТС делаются выводы и принимаются решения о необходимости изменения или доработки элементной базы, резервировании отдельных элементов или узлов, об установлении определенного режима профилактического обслуживания, о номенклатуре и количестве запасных элементов для ремонта и т.д..
3. РАСЧЕТЫ СТРУКТУРНОЙ НАДЕЖНОСТИ СИСТЕМ
Расчеты показателей безотказности ТС обычно проводятся в предпо-ложении, что как вся система, так и любой ее элемент могут находиться только в одном из двух возможных состояний - работоспособном и неработоспособном и отказы элементов независимы друг от друга. Состояние системы (рабо-тоспособное или неработоспособное) определяется состоянием элементов и их сочетанием. Поэтому теоретически возможно расчет безотказности любой ТС свести к перебору всех возможных комбинаций состояний элементов, определению вероятности каждого из них и сложению вероятностей рабо-тоспособных состояний системы.
Такой метод (метод прямого перебора - см. п. 3.3) практически универсален и может использоваться при расчете любых ТС. Однако при большом количестве элементов системы n такой путь становится нереальным из-за большого объема вычислений (например, при n=10 число возможных состояний системы составляет,
= 1024, при n=20 превышает
, при n=30 -более
). Поэтому на практике используют более эффективные и экономичные методы расчета, не связанные с большим объемом вычислений. Возможность применения таких методов связана со структурой ТС.
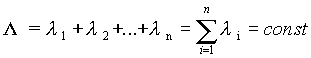
3.1. Системы с последовательным соединением элементов
Системой с последовательным соединением элементов называется система, в которой отказ любого элемента приводит к отказу всей системы (см. п. 2, рис 2.1). Такое соединение элементов в технике встречается наиболее часто, поэтому его называют основным соединением.
В системе с последовательным соединением для безотказной работы в течении некоторой наработки t необходимо и достаточно, чтобы каждый из ее n элементов работал безотказно в течении этой наработки. Считая отказы элементов независимыми, вероятность одновременной безотказной работы n элементов определяется по теореме умножения вероятностей: вероятность совместного появления независимых событий равна произведению вероятностей этих событий:
(3.1)
(далее аргумент t в скобках , показывающий зависимость показателей надежности от времени, опускаем для сокращения записей формул). Соответственно, вероятность отказа такой ТС
(3.2)
Если система состоит из равнонадёжных элементов (
), то
(3.3)
Из формул (3.1) - (3.3) очевидно, что даже при высокой надежности элементов надежность системы при последовательном соединении оказывается тем более низкой, чем больше число элементов (например, при
и
имеем
, при ![]()
, а при ![]()
). Кроме того, поскольку все сомножителив правой части выражения (3.1) не превышают единицы, вероятность безотказной работы ТС при последовательном соединении не может быть выше вероятности безотказной работы самого ненадежного из ее элементов (принцип “хуже худшего”) и из малонадежных элементов нельзя создать высоконадежной ТС с последовательным соединением.
Если все элементы системы работают в периоде нормальной эксплуа-тации и имеет место простейший поток отказов (см. п. 1), наработки элементов и системы подчиняются экспоненциальному распределению (1.7) и на основании (3.1) можно записать
(3.4)
где
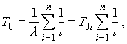
(3.5)
есть интенсивность отказов системы. Таким образом, интенсивность отказов системы при последовательном соединении элементов и простейшем потоке отказов равна сумме интенсивностей отказов элементов. С помощью выраже-ний (1.8) и (1.9) могут быть определены средняя и
- процентная наработки.
Из (3.4) - (3.5) следует, что для системы из n равнонадёжных элементов(
)
(3.6)
т.е. интенсивность отказов в n раз больше, а средняя наработка в n раз меньше, чем у отдельного элемента.
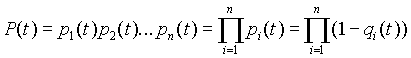
3.2. Системы с параллельным соединением элементов
Системой с параллельным соединением элементов называется система, отказ которой происходит только в случае отказа всех ее элементов (см. п. 2, рис. 2.2). Такие схемы надежности характерны для ТС, в которых элементы дублируются или резервируются, т.е. параллельное соединение используется как метод повышения надежности (см. п. 4.2). Однако такие системы встречаются и самостоятельно (например, системы двигателей четырехмоторного самолета или параллельное включение диодов в мощных выпрямителях).
Для отказа системы с параллельным соединением элементов в течение наработки t необходимо и достаточно, чтобы все ее элементы отказали в течение этой наработки. Так что отказ системы заключается в совместном отказе всех элементов, вероятность чего (при допущении независимости отказов) может быть найдена по теореме умножения вероятностей как произведение вероятностей отказа элементов:
(3.7)
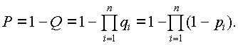
Соответственно, вероятность безотказной работы
(3.8)
Для систем из равнонадежных элементов (
)
(3.9)
т.е. надежность системы с параллельным соединением повышается при увеличении числа элементов (например, при
и ![]()
, а при ![]()
).
Поскольку
, произведение в правой части (3.7) всегда меньше любого из сомножителей, т.е. вероятность отказа системы не может быть выше вероятности самого надежного ее элемента (“лучше лучшего”) и даже из сравнительно ненадежных элементов возможно построение вполне надежной системы.
При экспоненциальном распределении наработки (1.7) выражение (3.9) принимает вид
(3.10)
откуда с помощью (1.1) после интегрирования и преобразований средняя наработка системы определяется
(3.11)
где
- средняя наработка элемента. При больших значениях n справедлива приближенная формула
(3.12)
Таким образом, средняя наработка системы с параллельным соединением больше средней наработки ее элементов (например, при ![]()
, при ![]()
).
3.3. Системы типа “m из n”
Систему типа “m из n” можно рассматривать как вариант системы с параллельным соединением элементов, отказ которой произойдет, если из n элементов, соединенных параллельно, работоспособными окажутся менее m элементов (m < n).

На рис. 3.1 представлена система “2 из 5”, которая работоспособна, если из пяти её элементов работают любые два, три, четыре или все пять (на схеме пунктиром обведены функционально необходимые два элемента, причем выделение элементов 1 и 2 произведено условно, в действительности все пять элементовравнозначны). Системы типа “m из n” наиболее часто встречаются в электрических и связных системах (при этом элементами выступают связую-щие каналы), технологических линий, а также при структурном резервировании (см. п. 4.1, 4.2).
Для расчета надежности систем типа “m из n“ при сравнительно небольшом количестве элементов можно воспользоваться методом прямого перебора. Он заключается в определении работоспособности каждого из возможных состояний системы, которые определяются различными сочета-ниями работоспособных и неработоспособных состояний элементов.
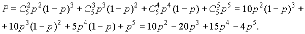
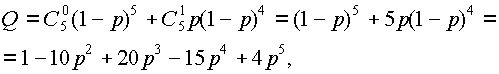
Все состояния системы “2 из 5“ занесены в табл. 3.1. (в таблице работоспособные состояния элементов и системы отмечены знаком “+“, неработоспособные - знаком “-“). Для данной системы работоспособность определяется лишь количеством работоспособных элементов. По теореме умножения вероятностей вероятность любого состояния определяется как произведение вероятностей состояний, в которых пребывают элементы . Например, в строке 9 описано состояние системы, в которой отказали элементы 2 и 5, а остальные работоспособны. При этом условие “2 из 5“ выполняется, так что система в целом работоспособна. Вероятность такого состояния
![]()
(предполагается, что все элементы равнонадежны). С учетом всех возможных состояний вероятность безотказной работы системы может быть найдена по теореме сложения вероятностей всех работоспособных сочетаний. Поскольку в табл. 3.1 количество неработоспособных состояний меньше, чем работоспособных (соответственно 6 и 26), проще вычислить вероятность отказа системы. Для этого суммируются вероятности неработоспособных состояний (где не выполняется условие “ 2 из 5 “)
(3.13)
Тогда вероятность безотказной работы системы
(3.14)
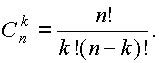
Расчет надежности системы “m из n“ может производиться комбинаторным методом, в основе которого лежит формула биномиального распределения. Биномиальному распределению подчиняется дискретная случайная величина k - число появлений некоторого события в серии из n опытов, если в отдельном опыте вероятность появления события составляет p. При этом вероятность появления события ровно k раз определяется
(3.15)
где
- биномиальный коэффициент, называемый “числом сочетаний по k из n“ (т.е. сколькими разными способами можно реализовать ситуацию “k из n“):
(3.16)
Значения биномиальных коэффициентов приведены в приложении.
Поскольку для отказа системы “m из n“ достаточно, чтобы количество исправных элементов было меньше m, вероятность отказа может быть найдена по теореме сложения вероятностей для k = 0, 1, ... (m-1):
(3.17)
Аналогичным образом можно найти вероятность безотказной работы как сумму (3.15) для k=m, m+1, ... , n:
(3.18)
Таблица 3.1 Таблица состояний системы “2 из 5”
| Состояние элементов | Состояние | Вероятность | ||||||
состояния | 1 | 2 | 3 | 4 | 5 | системы | состояния системы | ||
1 | + | + | + | + | + | + |
| ||
2 | + | + | + | + | - | + |
| ||
3 | + | + | + | - | + | + | |||
4 | + | + | - | + | + | + | |||
5 | + | - | + | + | + | + | |||
6 | - | + | + | + | + | + | |||
7 | + | + | + | - | - | + |
| ||
8 | + | + | - | + | - | + | |||
9 | + | - | + | + | - | + | |||
10 | - | + | + | + | - | + | |||
11 | + | + | - | - | + | + | |||
12 | + | - | + | - | + | + | |||
13 | - | + | + | - | + | + | |||
14 | + | - | - | + | + | + | |||
15 | - | + | - | + | + | + | |||
16 | - | - | + | + | + | + | |||
17 | + | + | - | - | - | + |
| ||
18 | + | - | + | - | - | + | |||
19 | - | + | + | - | - | + | |||
20 | + | - | - | - | + | + | |||
21 | - | + | - | - | + | + | |||
22 | - | - | - | + | + | + | |||
23 | + | - | - | + | - | + | |||
24 | - | + | - | + | - | + | |||
25 | - | - | + | - | + | + | |||
26 | - | - | + | + | - | + | |||
27 | + | - | - | - | - | - |
| ||
28 | - | + | - | - | - | - | |||
29 | - | - | + | - | - | - | |||
30 | - | - | - | + | - | - | |||
31 | - | - | - | - | + | - | |||
32 | - | - | - | - | - | - |
| ||
Очевидно, что Q+P=1, поэтому в расчетах следует выбирать ту из формул (3.17), (3.18), которая в данном конкретном случае содержит меньшее число слагаемых.
Для системы “2 из 5“ (рис. 3.1) по формуле (3.18) получим:
(3.19)
Вероятность отказа той же системы по (3.17):
(3.20)
что, как видно, дает тот же результат для вероятности безотказной работы.
В табл. 3.2 приведены формулы для расчета вероятности безотказной работы систем типа “m из n“ при m<=n<=5. Очевидно, при m=1 система превращается в обычную систему с параллельным соединением элементов, а при m = n - с последовательным соединением.
Таблица 3.2
Общее число элементов , n | |||||
m | 1 | 2 | 3 | 4 | 5 |
1 |
|
|
|
|
|
2 | - |
|
|
|
|
3 | - | - |
|
|
|
4 | - | - | - |
|
|
5 | - | - | - | - |
|
3.4. Мостиковые схемы
Мостиковая структура (рис. 3.2, а, б) не сводится к параллельному или последовательному типу соединения элементов, а представляет собой параллельное соединение последовательных цепочек элементов с диагональными элементами, включенными между узлами различных параллельных ветвей (элемент 3 на рис. 3.2, а, элементы 3 и 6 на рис. 3.2, б). Работоспособность такой системы определяется не только количеством отказавших элементов, но и их положением в структурной схеме. Например, работоспособность ТС, схема которой приведена на рис. 3.2, а, будет утрачена при одновременном отказе элементов 1 и 2, или 4 и 5, или 2, 3 и 4 и т.д.. В то же время отказ элементов 1 и 5, или 2 и 4, или 1, 3 и 4, или 2, 3 и 5 к отказу системы не приводит.

Таблица 3.3 Таблица состояний мостиковой системы
| Состояние | Вероятность состояния | ||||||||
сост. | 1 | 2 | 3 | 4 | 5 | системы | в общем случае | при равнонадежных элементах | ||
1 | + | + | + | + | + | + |
|
| ||
2 | + | + | + | + | - | + |
|
| ||
3 | + | + | + | - | + | + |
| |||
4 | + | + | - | + | + | + |
| |||
5 | + | - | + | + | + | + |
| |||
6 | - | + | + | + | + | + |
| |||
7 | + | + | + | - | - | - |
|
| ||
8 | + | + | - | + | - | + |
| |||
9 | + | - | + | + | - | + |
| |||
10 | - | + | + | + | - | + |
| |||
11 | + | + | - | - | + | + |
| |||
12 | + | - | + | - | + | + |
| |||
13 | - | + | + | - | + | + |
| |||
14 | + | - | - | + | + | + |
| |||
15 | - | + | - | + | + | + |
| |||
16 | - | - | + | + | + | - |
| |||
17 | + | + | - | - | - | - |
|
Подобные работы: | ||





