Договор купли продажи
в гражданском обороте
Самбурская Ю.А.
Научный руководитель: Семенов А.К. Кандидат юридических наук, доцент, директор Омского филиала СГА.
Купля-продажа – один из важнейших институтов гражданского права. Известная история правового регулирования этого договора насчитывает почти четыре тысячи лет. Договор купли-продажи регулируется нормами гражданского, земельного, коммерческого и международного частного права. В процессе многовекового развития правовых систем происходил своеобразный естественный отбор норм о купле-продаже. Случайные и неудачные положения с течением времени отсеивались, уступая свое место более качественным, тем самым повышая уровень юридической техники. Уже в классическом римском праве складывается в качестве консенсуального контракта emptio et venditio, под которым понимался договор, посредством которого одна сторона – продавец (venditor) обязуется предоставить другой стороне – покупателю (emptor) вещь, товар (merx), а другая сторона – покупатель, обязуется уплатить продавцу за указанную вещь определенную денежную сумму (premium). Договор купли-продажи опосредует переход имущества от одних товаровладельцев к другим, наиболее полно выражая традиционные виды товарообмена. В новых условиях хозяйствования сфера применения существенно расширилась за счет пополнения экономического оборота новыми видами имущества. Сегодня купля-продажа – это самый распространенный договор гражданского права. Особое значение данного института заключается в том, что в нем содержится в наиболее чистом виде перемещение материальных благ в товарной сфере. Это обуславливает гибкое и широкое применение договора купли-продажи в современном праве.
Актуальностью, практической значимостью договора купли-продажи является прогресс науки, техники, усложнение экономической жизни общества, что ведет к появлению новых правовых форм и развитию традиционного института гражданского права – договора купли-продажи. В свою очередь, актуальность обусловила выбор темы дипломной работы, целью которой является подробное рассмотрение договора купли-продажи. Данная цель конкретизируется с помощью основных задач: изучение правовой литературы; сопоставление различных позиций ученых-правоведов, касаемых договора купли-продажи; рассмотрение основных положений и существенных условий договора купли-продажи; выявление основных моментов правового регулирования купли-продажи; выяснение отличительных и сходных черт отдельных видов договора купли-продажи. Объект изучения – купля-продажа.
В качестве источников и основы информации использовались такие нормативно-правовые акты, как Гражданский Кодекс РФ и Комментарии к ГК РФ, ФЗ «О государственной регистрации прав на недвижимое имущество и сделок с ним», ФЗ «О государственном регулировании тарифов на электрическую и тепловую энергию в РФ», Закон РФ «О защите прав потребителей», а также научно-правовая литература по гражданскому, коммерческому, обязательственному, договорному, приватизационному и международному частному праву.
Договор купли-продажи является древнейшей формой товарно-денежных отношений между равноправными участниками имущественных отношений. Это типовой договор по регулированию обязательств по передаче имущества в собственность. Купля-продажа представляет договор, по которому одна сторона, покупатель или покупщик, приобретает право требовать, чтобы другая сторона, продавец, передала ей в собственность определенную вещь, и обязуется уплатить за то известную сумму денег, именуемую ценой. Это основной вид гражданско-правовых обязательств в имущественном обороте.
Договор купли-продажи является консенсуальным, поскольку считается заключенным с момента достижения сторонами соглашения по его существенным условиям, а момент вступления договора в силу не связывается с передачей товара покупателю.
Купля-продажа возмездна – продавец за исполнение своих обязанностей по передаче товара покупателю должен получить от последнего встречное предоставление в виде оплаты полученного товара.
Договор купли-продажи является двусторонним, то есть каждая сторона данного договора (покупатель и продавец) несет обязанности в пользу другой стороны и считается должником другой стороны в том , что обязана сделать в ее пользу, и одновременно е кредитором в том, что имеет право от нее требовать.
Данный договор носит синаллагматический характер, выражающийся в том, что на стороне покупателя во всех случаях лежит встречное исполнение его обязательств. Это означает, что исполнение покупателем обязательств по оплате товара обусловлено исполнением продавцом своих обязательств по передаче товара покупателю.
Содержание договора купли-продажи представляет собой совокупность всех его условий, которыми устанавливаются и конкретизируются права и обязанности сторон. Обычно во всяком договоре купли-продажи выделяются группы условий, определяющих обязанности соответственно продавца и покупателя. К условиям, определяющим обязанности продавца, относятся: условие о товаре, о порядке и сроке его передачи покупателю. Условиями договора, регламентирующими порядок принятия и оплаты товара, определяются обязанности покупателя.
Договор купли-продажи является родовым понятием по отношению к некоторым другим договорам ( то есть отдельным видам договора купли-продажи), суть которых заключается в том, что одно лицо обязуется передать в собственность другого лица какое-либо имущество, а последнее обязуется принять это имущество и уплатить за него определенную денежную сумму, именуемую ценой.
Российское законодательство к числу договоров, признаваемых в качестве отдельных видов договора купли-продажи относит договоры: розничной купли-продажи, поставки товаров, поставки товаров для государственных нужд, контрактации, энергоснабжения, продажи недвижимости, продажи предприятия. Выделение данных видов договора купли-продажи служит целям простого и оптимального правового регулирования сходных правоотношений.
Единым критерием для разграничения отдельных видов договора купли-продажи отсутствует, но, несмотря на это, некоторые ученые выделяют три признака разграничения: стороны договора, цель приобретения товара(покупки) и объект покупки. В главе 30 ГК РФ, которая регламентирует договор купли-продажи и его отдельные виды, строение основывается на таком принципе, как: набирается набор характерных квалифицирующих особенностей в отношении отдельных видов договора купли-продажи, которые выделяют соответствующий договор в отдельный вид купли-продажи при сохранении с последним отношений рода и вида. Причем применительно к различным видам договора купли-продажи такие признаки (особенности) обнаруживаются в самых разных элементах договора, касающихся его субъектов, предмета, существенных условий и т.п. Между отдельными видами договора купли-продажи нет строго очерченных границ. Главная черта эффективности правового регулирования – четкое выделение особенностей соответствующих договоров и обеспечение их адекватного регулирования с помощью специальных правил, которые должны исключить применение корреспондирующих их общих положений о купле-продаже. Так, квалифицирующими особенностями выделения договора розничной купли-продажи в отдельный вид договора купли-продажи являются: во-первых, в качестве продавца по данному договору выступает юридическое лицо или индивидуальный предприниматель, осуществляющие предпринимательскую деятельность по продаже товаров в розницу; во-вторых, купля-продажа – это публичный договор, по которому покупатель приобретает товары, предназначенные для личного, семейного, домашнего или иного использования, не связанного с предпринимательской деятельностью; в-третьих, в качестве покупателя зачастую выступают граждане, пользующиеся правами не только стороны договора розничной купли-продажи, но и правами, предоставленными законами и изданными в соответствии с ними иными правовыми актами.
Экспорт и импорт товаров, составляющие значительную часть торговли, осуществляются на основании договора купли-продажи, который занимает центральное место среди внешнеэкономических сделок, заключаемых организациями и фирмами разных стран.
В российском законодательстве этот вид договора до недавнего времени именовался договором внешнеторговой купли-продажи. Однако с начала 90-х годов. После того, как Россия стала участницей Венской конвенции ООН 1980г., он все чаще именуется договором купли-продажи. Под договором международной купли-продажи понимается договор, по которому продавец, осуществляющий предпринимательскую деятельность, обязуется передать в обусловленный срок или сроки производимые или закупаемые товары покупателю для использования в предпринимательской деятельности или иных целях, не связанных с личным, семейным, домашним или иным подобным использованием.
Договор международной купли-продажи имеет ряд отличительных черт: разная государственная принадлежность сторон (либо нахождения их коммерческих предприятий в разных государствах); предмет сделки – операции по экспорту или импорту товаров (движимых вещей); использование в качестве средств платежа валюты, которая является иностранной для обеих или, по крайней мере, для одной из сторон договора.
Процесс заключения договора международной купли-продажи состоит из трех этапов: направление одной стороной оферты другой стороне; рассмотрение стороной оферты и ее акцепт; получение стороной, направившей оферту, акцепта. Акцепт должен быть, во-первых, безусловным, то есть независимым от каких-либо дальнейших действий сторон; во-вторых, безоговорочным (его условия должны полностью совпадать с условиями оферты).
Договор купли-продажи является одним из самых распространенных гражданско-правовых договоров, с ним в повседневной жизни встречается каждый из нас. При обычных сделках купли-продажи (например, покупка одежды, продуктов) нам не требуется знание гражданского права, поскольку какие-либо письменные договора не составляются и действуют привычные для нас правила.
Купля и продажа происходит одновременно, покупатель сразу получает товар, продавец – денежный эквивалент. Тем не менее, довольно часто заключаются договора купли-продажи, в том числе и с участием граждан, когда необходимо знать основные положения и требования, закрепленные в главе 30 ГК РФ.
Вся жизнедеятельность как физических, так и юридических лиц неразрывно связана с покупкой товаров. Физические лица (граждане) выступают в качестве розничных покупателей, в то же время они могут вступать и продавцами (например, при продаже жилого помещения, автотранспорта). Для некоторых юридических лиц, осуществляющих свою деятельность в сфере торговли, купля-продажа является смыслом их функционирования и главным источником дохода. Промышленные предприятия также приобретают материалы и сырье для производства готовой продукции, а впоследствии продают готовые изделия. Даже те организации, которые, казалось бы, не связаны непосредственно с куплей-продажей (кредитные организации, информационные и консультативные фирмы) все равно что-то приобретают. Объектом купли-продажи, в данном случае, может быть офисная мебель, недвижимость под офис, автотранспорт и другие товары. Таким образом, в договорах купли-продажи участвуют все хозяйствующие субъекты.
Прошли времена, когда коммерческая деятельность частных лиц преследовалась по закону, а посредничество в торговле было составом преступления и называлось спекуляцией.
Гражданское законодательство легализовало основную цель предпринимательства – систематическое получение прибыли, чему должна служить любая сделка. Особая роль договора купли-продажи в рыночной экономике заключается в том, что эта сделка является последним звеном отдельных видов предпринимательства и именно при ее исполнении продавец получает доход. Значительно усилилась праворегулирующая роль договоров купли-продажи, что отражает тенденцию развития в гражданском праве принципов дозволенности и диспозитивности. Поле применения договоров купли-продажи практически не ограничено, так как по своей сути он соответствует принципу равенства субъектов – продавца и покупателя, и равновеликости товара и денег.
В условиях перехода к рыночным отношениям в экономике России и сложившейся в данный момент кризисной экономической и политической ситуации, договор купли-продажи играет не последнюю, а одну из основополагающих ролей.
В нашей стране происходили и происходят экономические преобразования. Отсюда возникает необходимость выработки совершенно новых методов и средств воздействия, системы правового регулирования экономических отношений. Без этого она приобретает какие-то уродливые очертания, криминальные формы.
Самые крупные изменения последних лет в России, настоящий прорыв в сфере экономических преобразований произошли в договорном праве, в области договорно-хозяйственных отношений. Это связано с адекватным обновлением законодательства, регулирующего экономические отношения, после того как рухнула прежняя система государственного управления экономическими и хозяйственными связями и ликвидировано централизованное правление.
В современном договорном праве отмечаются две главные тенденции. Во-первых, становясь общедоступным и реальным, договор, выполнявший прежде вспомогательную роль в условиях централизованного управления и планирования, превратился в самостоятельное и главное средство регулирования экономических отношений. При этом он приобретает качества, с одной стороны, всеобщего регулятора, распространяющегося на различные сферы отношений, а с другой – регулятора универсального, пригодного для опосредования отношений различных субъектов: граждан, юридических лиц, государства и его органов, иностранных предпринимателей.
Во-вторых, появилась свобода в заключении договора, свобода в определении его содержания, формирования условий. Договор становится доступным каждому. Любой может свободно выбирать контрагента и определять условия договора по соглашению с ним. Таким образом, осуществляется одно из основных условий свободной рыночной экономики – свобода договора.
Сейчас в мире существует практика, когда в договоры включают два вида условий: условия, определяемые сторонами, и обязательные условия. Обязательные условия выполняют очень важные функции. Они необходимы, прежде всего, потому, что в экономике есть сильные и слабые. Без соответствующего регулирования слабая сторона обречена на поражение. Слабая сторона – это мелкий предприниматель, это потребитель по отношению к крупной фирме. И всегда есть необходимость защиты слабой стороны, есть необходимость защиты потребителя. Делается это посредством обязательных условий договора. Современная рыночная экономика – это социально ориентируемая экономика на началах справедливости, публичного порядка, защиты публичных интересов. Без этого не может существовать ни одно общество, и это достигается с помощью так называемых обязательных условий в договорах.
В современных правовых системах имеются целые отрасли законодательства, суть которых сводится к тому, что вводятся обязательные условия в договор. К примеру, антимонопольное законодательство запрещает сговор по поводу установления монопольных цен. Или законодательство о защиты прав потребителей, содержащее соответствующие запреты и предписания.
Важнейшей проблемой стала приватизация частной собственности, в результате которой появились естественные монополии.
В России наиболее мощными являются четыре естественные монополии: энергетическая система (РАО «ЕЭС РОССИИ»), добыча и транспортировка газа (РАО «Газпром»), железнодорожный транспорт (МПС РФ) и связь. Монопольное положение этих структур выводит их из конкурентной среды и позволяет, не заботясь о снижении себестоимости продукции и услуг, диктовать потребителям цены и тарифы, которые растут быстрее цен в остальных отраслях.
Разберем свободу договора на примере договора энергоснабжения.
Существует мнение, что основной причиной трудностей, переживаемых отраслью, являются неплатежи потребителей, среди которых многие имеют статус «неотключаемых». Сами же неплатежи вызваны жестоким государственным регулированием, препятствующим взиманию предоплаты за услуги и отключению неплатежников. В итоге долги потребителей энергетикам достигли более 20-ти трлн. руб. это якобы не позволяет производить регламентные ремонты и обеспечивать ввод новых генерирующих мощностей. Парадоксальности ситуации заключается в том, что при таких убытках и невозможности вернуть долг, отрасль должна была прекратить свое существование, так как она не получает бюджетных дотаций.
Однако это не так. Отрасль представляет в России высокомонополизированную структуру, и в качестве таковой она диктует цены потребителям. Благодаря этому она не дотирует потребителя, а перекладывает финансовое бремя расходов на тепло- и электроэнергию с тех, кто не имеет возможности их оплачивать, на тех, кто еще в состоянии платить. Тем самым создается дополнительная почва и условия для неплатежей, а заодно миф о том, что первопричиной тяжелого финансового положения отрасли является государственное регулирование тарифов на услуги и продукцию отрасли.
До настоящего времени тарифы на услуги электроэнергетики регулируются «Положением о Государственном регулировании тарифов на электрическую и тепловую энергию в РФ». Данное положение показывает, что о государственном регулировании в нем нет и речи, так как все «регулирование» заключается в утверждении представляемых проектов тарифов на тепловую и электрическую энергию энергетическими региональными комиссиями. Если комиссии не рассмотрели эти проекты и не ввели их официально в течение 20-ти дней с момента представления им расчетных материалов по установленным формам, то вне зависимости от причин задержки тарифы вводятся автоматически, то есть, даже не пройдя процедуру согласования. Любая задержка в работе энергетической комиссии свыше 20-ти дней, которая в наше неорганизованное время вполне возможна, приводит к бесконтрольному автоматическому вводу тарифа на электроэнергию. Поэтому «Положение» открывает широкие возможности для полного произвола в установлении тарифов на электроэнергию со стороны организаций, осуществляющих ее производство и распределение, то есть в первую очередь, РАО «ЕЭС России» и региональных АО.
Будучи совокупностью региональных монополистов, электроэнергетика являет картину чрезвычайного разнообразия тарифов на ее услуги. Так, соседние регионы устанавливают тарифы, различающиеся в несколько раз, а общий разброс их доходит до 11-ти кратной величины. Это обусловлено действием законов на фоне деления регионов на энергодефицитные и энергоизбыточные. Беда в том, что рыночные механизмы конкуренции в данном случае не действуют из-за того, что электроэнергетика представляет собой естественную монополию.
Для разрешения подобных ситуаций был создан антимонопольный орган, который обязан следить за тем, чтобы естественные монополии не злоупотребляли своим доминирующим положением на рынке, в том числе не повышали цены (ст.5 ФЗ «О конкуренции и ограничении монополистической деятельности на товарных рынках»), не навязывали условия договора, не выгодные для контрагента, а также не устанавливали надбавок (доплат) и наценок (ст.6 данного ФЗ). Хотя это не действует, так как повышение тарифов на электроэнергию продолжался и продолжается.
Для решением данной проблемы требуется нормативное определение верхнего предела тарифов на услуги естественных монополий.
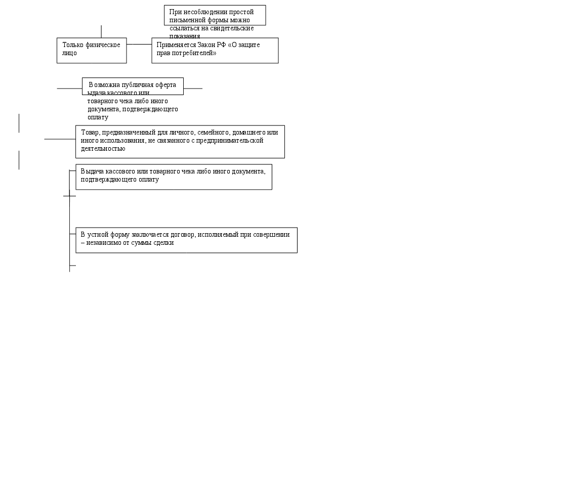
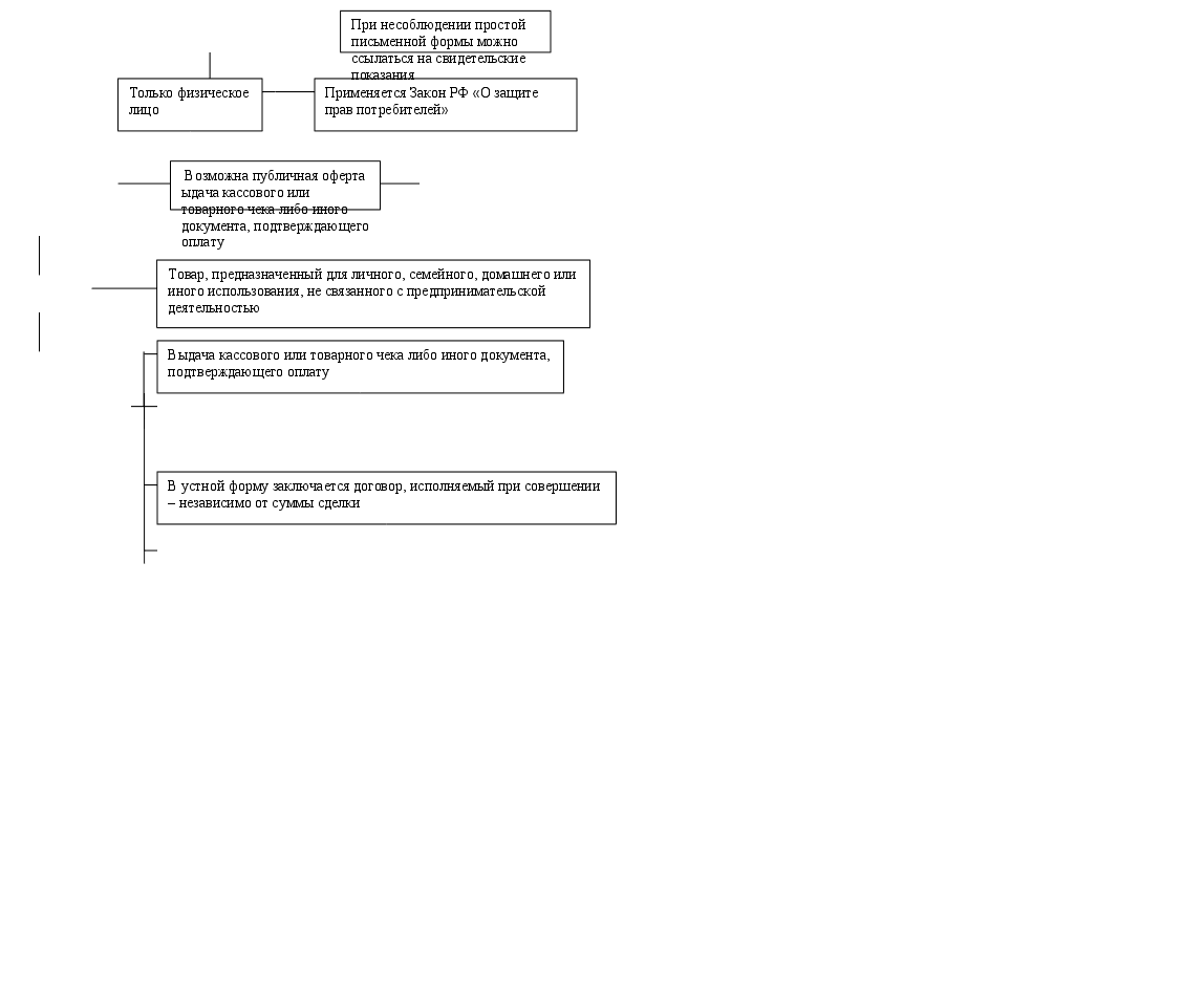
Приложение 3
Договор розничной купли-продажи

Договор розничной купли-продажи

Договор, в силу которого продавец-предприниматель, осуществляющий продажу в розницу, обязуется передать покупателю товар для непредпринимательского использования

Возмездный

Продавец
Коммерческое юридическое лицо
Потребитель
Индивидуальный предприниматель

![]()

![]()

Возможно присоединение покупателя к формуляру
При несоблюдении простой письменной формы можно ссылаться на свидетельские показания
Публичной офертой признается реклама с указанием существенных условий; размещение товаров в местах продажи
Приложение 4
Поставка товаров
Договор поставки
Разновидность договора купли-продажи

![]()

Возмездный
Двусторонний
Поставщик

Коммерческая организация

Обязанности оферента, получившего оферту
По истечении 30 дней

![]()
Направление контрагенту письменного знака от заключения договора

Право покупателя отказаться от оплаты некачественных или некомпетентных товаров либо потребовать возврата уже уплаченного

Приложение 5
Поставка товаров для государственных нужд
п
Поставка товаров для государственных нужд
Простая структура договорных связей
Поставка в соответствии с государственным контрактом на поставку товаров для государственных нужд
Заключение договора поставки на основании извещения о прикреплении
Государственный контракт предусматривает извещение о прикреплении
Покупатель
Поставка в соответствии с договором
Доведение заказа до поставщика
Торги (конкурс)
Основной способ
Открытые
Закрытые
Поставщик (исполнитель)
оставка

![]()
Приложение 6
Контрактация
Договор контрактации
Разновидность купли-продажи


Договор, в силу которого продавец-производитель сельскохозяйственной продукции обязуется передать выращенную продукцию заготовителю, а заготовитель обязуется оплатить продукцию



Сельскохозяйственная продукция
Выращенная в хозяйстве производителя
Произведенная в хозяйстве производителя
Имеющаяся на момент заключения договора
Обязанности производителя
Передача продукции в определенном количестве и ассортименте
Обязанности заготовителя
Принятие сельскохозяйственной продукции
Обеспечение вывоза продукции
Оплата
Возвращение отходов переработки
Производителя
Ответственность при наличии вины
Заготовителя
Пеня – 1% от неоплаченной суммы за каждый день просрочки оплаты
Юридическое лицо
будущая


![]()
![]()
![]()
![]()
![]()
![]()
Общие положения об ответственности предпринимателя
П
риложение 7
Энергоснабжение

![]()

Приложение 8
Купля-продажа недвижимости
Договор продажи недвижимости

Договор, в силу которого продавец обязуется передать покупателю в собственность имущество, а покупатель – принять и оплатить имущество


Продавец
Собственник имущества
Уполномоченное собственником лицо
Покупатель
Физическое лицо
Юридическое лицо

Письменная
Единый документ
Несоблюдение формы влечет недействительность сделки

Предмет
Цена

Обязанности покупателя
Обязанности продавца
Принять вещи
Оплата вещи
Передача вещи в собственность покупателю
Расходы по государственной регистрации
Приложение 9
Купля-продажа недвижимости
Договор купли-продажи предприятия
Договор, в силу которого продавец обязуется передать в собственность покупателю предприятие как имущественный комплекс
![]()

![]()


![]()

Приложение 10
Международная купля-продажа товаров

Договор международной купли-продажи товаров
Договор с иностранным элементом

Применение Конвенции ООН о международной купле-продаже товаров 1980г.(Венская конвенция)
Особенности регулирования Венской конвенции по сравнению с ГК РФ
Возможность установления как продавцом, так и покупателем (в случае неисполнения обязательства) дополнительного разумного срока для исполнения
В течение этого срока невозможно применение иных средств защиты, кроме возмещения убытков, причиненных просрочкой
Возможность приостановления исполнения обязательств одной стороной, если будущее неисполнение другой стороной обязательств станет очевидным после заключения договора
За исключение случаев, когда контрагент предоставит гарантии исполнения
Основания расторжения договора
Допущенное существенное нарушение договора
Будущее существенное нарушение договора контрагентом
Широкое применение к условиям договора в качестве деловых обыкновений либо обычаев делового оборота международных правил по унифицированному толкованию торговых терминов (ИНКОТЕРМС)
Предназначенный для личного, семейного использования
Фондовые бумаги, акции, деньги и т.п.
Суда воздушного, военного транспорта
Электроэнергия
Товары, продаваемые в силу закона (например, с аукциона)
Договор, в котором обязательства стороны, поставляющей товары, заключаются в основном в выполнении работ или предоставлении услуг
Основания и последствия недействуительности сделок и связанные с ними требования к форме внешнеэкономических сделок, правоспособности представительству
Положения об определении размера процентов годовых при просрочке денежного обязательства

Приложение 3
Договор розничной купли-продажи

Договор розничной купли-продажи

Договор, в силу которого продавец-предприниматель, осуществляющий продажу в розницу, обязуется передать покупателю товар для непредпринимательского использования

Возмездный

Продавец
Коммерческое юридическое лицо
Потребитель
Индивидуальный предприниматель

![]()

![]()

Возможно присоединение покупателя к формуляру
При несоблюдении простой письменной формы можно ссылаться на свидетельские показания
Публичной офертой признается реклама с указанием существенных условий; размещение товаров в местах продажи
Приложение 4
Договор поставки
Поставка товаровРазновидность договора купли-продажи

![]()

Возмездный
Двусторонний

Поставщик

Коммерческая организация

Обязанности оферента, получившего оферту
По истечении 30 дней

Подобные работы: