Экспериментальные исследования диэлектрических свойств материалов
ЭКСПЕРИМЕНТАЛЬНЫЕ ИССЛЕДОВАНИЯ ДИЭЛЕКТРИЧЕСКИХ СВОЙСТВ МАТЕРИАЛОВ
Цель работы: определение диэлектрической проницаемости и поляризационных характеристик различных диэлектриков, изучение электрических свойств полей, в них исследование линейности и дисперсии диэлектрических свойств материалов
Теоретическая часть:
Схема экспериментальной установки
В эксперименте используются следующие приборы: два вольтметра PV1 (стрелочный) и PV2 (цифровой) , генератор сигналов низкочастотный, макет-схема, на которой установлен резистор R=120 Ом, конденсатор, состоящий из набора пластин различных диэлектриков (толщиной d=2 мм)
Собираем схему, изображенную на РИС. 1. Ставим переключатель SA в положение 1. Подготавливаем к работе и включаем приборы. Подаем с генератора сигнал частоты f = 60 кГц и напряжением U=5 В, затем по вольтметру PV1 установить напряжение U1=5 В. Далее, вращая подвижную пластину, измеряем напряжение U2 для конденсатора без диэлектрика и 4-x конденсаторов с диэлектриками одинаковой толщины. При этом напряжение U1 поддерживаем постоянным
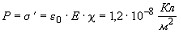
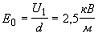
Напряженность поля между пластинами в вакууме Е 0 вычисляется по формуле:
где
При внесении пластины в это поле диэлектрик поляризуется и на его поверхности появляются связанные заряды с поверхностной плотностью
. Эти заряды создают в диэлектрике поле
, направленное против внешнего поля
, и имеет величину:
. Результирующее поле:
. В электрическом поле вектор поляризации:
, где c - диэлектрическая восприимчивость вещества. Связь модуля вектора поляризации с плотностью связанных зарядов:
.
относительная диэлектрическая проницаемость диэлектрика. Вектор электрической индукции
. Этот вектор определяется только свободными зарядами и вычисляется как
. В рассматриваемой задаче на поверхности диэлектрика их нет. Вектор D связан с вектором Е следующим соотношением ![]()
Экспериментальная часть:
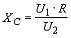
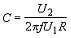
В данной работе используются формулы:
, где S - площадь пластины конденсатора, d - расстояние между ними. Диэлектрическая проницаемость материала:
. Для емкости конденсатора имеем:
, где U 1 - напряжение на RC цепи, U 2 - напряжение на сопротивлении R, f - частота переменного сигнала. В плоском конденсаторе напряженность связана с напряжением U 1 как: ![]()
![]()
Опыт №1. Измерение диэлектрической проницаемости и характеристик поляризации материалов
U 1 = 5В, R=120Ом, f=60 кГц, d=0,002м
Материал | U 2 , мВ |
Воздух | 40 |
Стеклотекстолит | 97 |
Фторопласт | 61 |
Гетинакс | 89 |
Оргстекло | 76 |
С В =176 пкФ; С СТ =429 пкФ; С ФП =270 пкФ; С ГН =393 пкФ; С ОС =336 пкФ; ![]()
;
;
;
;
Для гетинакса подсчитаем:
;
;
;
;
;
;
;
;
Расчет погрешностей:
;
;
;
;
;
![]()
(так как
)
; ![]()
Опыт № 2. Исследование зависимости e = f(E)
R=120Ом, f=60 кГц, d=0,002м
![]()
![]()
![]()
U 1 , В | U 2 , В (воздух) | U 2 , В (гетинакс) | С 0 , пкФ | С, пкФ | Е, В/м | e |
1 | 0,009 | 0,019 | 200 | 420 | 500 | 2,10 |
2 | 0,016 | 0,036 | 177 | 398 | 1000 | 2,24 |
3 | 0,025 | 0,052 | 184 | 387 | 1500 | 2,09 |
4 | 0,031 | 0,070 | 171 | 384 | 2000 | 2,26 |
5 | 0,039 | 0,086 | 172 | 380 | 2500 | 2,21 |
График зависимости e = f(E) - приблизительно прямая, так как диэлектрическая проницаемость не зависит от внешнего поля
Опыт № 3. Исследование зависимости диэлектрической проницаемости среды от частоты внешнего поля
U 1 = 5В, R=120Ом
![]()
![]()
![]()
f , кГц | U 2 , В (воздух) | U 2 , В (гетинакс) | Х С , кОм (гетинакс) | С 0 , пкФ | С, пкФ | e |
20 | 0,015 | 0,030 | 20,0 | 199 | 398 | 2,00 |
40 | 0,029 | 0,059 | 10,2 | 192 | 391 | 2,04 |
60 | 0,041 | 0,089 | 6,7 | 181 | 393 | 2,07 |
80 | 0,051 | 0,115 | 5,2 | 169 | 381 | 2,25 |
100 | 0,068 | 0,146 | 4,1 | 180 | 387 | 2,15 |
120 | 0,078 | 0,171 | 3,5 | 172 | 378 | 2,18 |
140 | 0,090 | 0,197 | 3,0 | 181 | 373 | 2,18 |
160 | 0,101 | 0,223 | 2,7 | 167 | 370 | 2,21 |
180 | 0,115 | 0,254 | 2,4 | 169 | 374 | 2,21 |
200 | 0,125 | 0,281 | 2,2 | 166 | 372 | 2,24 |
По графику зависимости e = F(f) видно, что диэлектрическая проницаемость среды не зависит от частоты внешнего поля. График зависимости Х С =F(1/f) подтверждает, что емкостное сопротивление зависит от 1/f прямо пропорционально
Опыт № 4. Исследование зависимости емкости конденсатора от угла перекрытия диэлектрика верхней пластиной
U 1 = 5В, R=120Ом, f=60 кГц, d=0,002м, r=0,06м, n=18

![]()
![]()
a, 0 | U 2 , В | С, пкФ | С теор , пкФ |
0 | 0,039 | 172 | 150 |
10 | 0,048 | 212 | 181 |
20 | 0,056 | 248 | 212 |
30 | 0,063 | 279 | 243 |
40 | 0,072 | 318 | 273 |
50 | 0,080 | 354 | 304 |
60 | 0,089 | 393 | 335 |
Опыт № 5. Измерение толщины диэлектрической прокладки
U 1 = 5В, R=120Ом, f=60 кГц
Схема конденсатора с частичным заполнением диэлектриком
U 2 (стеклотекстолит тонкий) =0,051В, U 2 (стеклотекстолит толстый) =0,093В, U 2 (воздух) =0,039В
С 0 =172пкФ - без диэлектрика; С 1 = 411пкФ - стеклотекстолит толстый; С 1 = 225пкФ - стеклотекстолит тонкий
;
;
;
;
;
;
; ![]()
Вывод: На этой работе мы определили диэлектрическую проницаемость и поляризационные характеристики различных диэлектриков, изучили электрические свойства полей, в них исследовали линейность и дисперсность диэлектрических свойств материалов.