Циклотронный резонанс
Московский инженерно - физический институт.
25 кафедра.
Реферат на тему:
Циклотронный резонанс.

Оглавление.
Введение. 3
Циклотронная частота. 4
Циклотронный резонанс 6
Заключение. 14
Список литературы. 15
Введение.Явления, связанные с поведением электронов кристалла в магнитном поле, представляют значительно больший интерес, чем явления, связанные с их повелением в электрическом поле. В магнитном поле орбиты обычно замкнуты и «проквантованы»; однако иногда они могут быть незамкнутыми (открытыми), что приводит к определенным, специфическим, последствиям. Экспериментальные исследования явлений, связанных с орбитальным движением, дают наиболее непосредственную информацию о поверхности Ферми. К числу наиболее интересных и экспериментально обнаружимых явлений подобного рода относятся циклотронный резонанс, Эффект Де Гааза - Ван Альфена, затухание акустических волн в магнитном поле, изменение электрического сопротивления в магнитном поле (магнетосопротивление).
В объеме данного реферата рассматривается тема «Циклотронный резонанс».
Циклотронная частота.
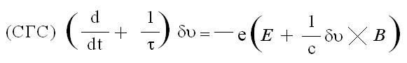
Рассмотрим уравнение движения для случая, когда поле B направлено вдоль оси z. Для простоты будем считать τ→∞ и положим E = 0. Заметим попутно, что столь же просто можно было бы решить уравнения и для конечного τ. Условие существования хорошо выраженной резонансной линии выполняется при ωcτ>1, где ωc дается формулой (СГС) ωc≡eB/mc. Итак, в рассматриваемом случае уравнение,

записанное в компонентах по осям x и y, примет вид:


рис.1
Решение этой системы уравнений имеют вид:
δυx=υ0cosωct; δυy=υ0sinωct.
Частота ωc есть циклотронная частота для свободного электрона. Численные значения ωc (в МГц) в согласии с графиками на рис. 4 можно определять по формуле
fc (МГц) ≈ 2,80 Β (Гауссы) = 2,80 · 10-4 B (Тесла),
где fc≡ωc/2π. Амплитудное значение скорости υ0 не является скоростью Ферми; это просто величина какой-то начальной дрейфовой скорости электрона на поверхности Ферми.
Для свободного электрона в поле 10 кГц получим: ωc = 1,76⋅1011 рад/сек. Если время релаксации (как для чистой меди) равно 2⋅10-14 сек при 300° Κ и 2⋅10-9 сек при 4° Κ, то для Cu имеем соответственно ωcτ=3,5⋅10-3 и 3,5⋅102. Следовательно, циклотронная орбита при комнатной температуре никогда не может сформироваться, а при гелиевых температурах электрон до столкновения проходит по орбите много витков.
Циклотронный резонансСогласно уравнения Максвелла, магнитное поле, действующее на электрон, стремиться изменить направление движения электрона, не изменяя его энергии. Это следует из формулы для силы Лоренца. Таким образом, магнитная индукция Bz оказывает влияние на движение в плоскости xy, не изменяя движения в направлении z. Если электрон не рассеивается, то он описывает в плоскости xy некоторую орбиту, движение по которой накладывается на любое движение в направлении z .
Квазисвободный электрон со скалярной массой m* описывает круговую орбиту радиусом r, по которой электрон движется с угловой частотой wc. Связь между этими величинами определяется условием равенства центробежной силы (m*ωc2r) и уравновешивающей ее силы Лоренца (rw0eBz). Таким образом, угловая циклотронная частота равна
ωc=eBz/m*
она не зависит от кинетической энергии электрона. (От энергии зависит размер орбиты в реальном пространстве, поскольку ε=m*ωc2r2/2.) Циклотронная частота для обычно применяемых магнитных полей лежит в радио- и микроволновой области электромагнитного спектра, так как
νc≡(ωc/2π)=28,0(Bzm/m*) ГГц
для магнитной индукции, выраженной в теслах.
Под действием магнитного поля движение электрона в реальном пространстве сопровождается прецессией в k-пространстве по траектории с постоянной энергией в зоне Бриллюэна. Конечно, для очень сильно вырожденного электронного газа в металле это движение наблюдается только для электронов с энергией Ферми, т.е. для электронов, которые описывают в k-пространстве орбиты вокруг поверхности Ферми. Поскольку какое-то рассеяние электронов на фононах и дефектах неизбежно даже в почти идеальном кристалле при низких температурах, отчетливо выраженное циклотронное движение может быть получено только при условии (ωсτm) > 1, т.е. когда электрон может пройти значительную часть своей магнитной орбиты до того, как он будет рассеян.
Большая часть электронов с энергией Ферми имеет отличную от нуля компоненту импульса, параллельную Bz. Эти электроны описывают в k- пространстве круговую траекторию с радиусом, меньшим радиуса ферми- сферы. Их траектория в реальном пространстве складывается из движения по окружности в плоскости xy и прямолинейного движения в направлении z. Однако некоторые электроны с энергией Ферми обладают нулевой компонентой импульса в z-направлении. Под действием поля BZ эти электроны должны двигаться по экваториальной траектории (по «по большому кругу») вокруг сферы Ферми, а их движение в реальном пространстве также является чисто круговым - на него не налагается никакое прямолинейное движение. Такая экваториальная орбита вокруг сферы Ферми представляет собой простейший вид экстремальной орбиты - того класса орбит, который очень важен в экспериментах по циклотронному резонансу. Даже когда форма поверхности Ферми далека от сферической, существуют определенные экстремальные траектории, которые могут быть определены и использованы для характеристики топологии поверхности.
Теперь должно быть очевидно, что сферическая поверхность Ферми может быть обнаружена в металле только в силу случайных обстоятельств. Гораздо более типична ситуация, когда магнитное поле BZ заставляет электроны с энергией Ферми двигаться в k - пространстве вокруг поверхности Ферми по траектории, вдоль которой эффективная масса непрерывно изменяется. Тогда скорость, с которой волновой вектор меняется со временем, непостоянна; это ясно уже из того, что магнитная сила, действующая на электрон, равна ћ(dk/dt) и также рана –e(v×B). В результате скорость движения электрона по орбите в реальном пространстве не постоянна.
В экспериментах по циклотронному резонансу используется поглощение электромагнитной энергии на радиочастоте ω, когда магнитная индукция B подобрана таким образом, что ω=ωc. Тогда использование различных комбинаций ω и Β позволяет (в принципе) получить информацию относительно тензора эффективной массы для электрона с энергией Ферми. Фактическая теория циклотронного резонанса гораздо более сложна как для полупроводников, так и для металлов.
Для полупроводникового материала, в котором плотность свободных электронов мала, эксперименты по циклотронному резонансу могут быть выполнены с электромагнитными волнами, проникающими в твердое тело. Трудность, которые при этом возникают, связаны с топологией поверхностей постоянной энергии и с гибридными плазменными резонансами, в том случае, когда концентрация свободных электронов не слишком мала.
Частоты, используемые для исследования циклотронного резонанса в металле, всегда гораздо меньше плазменной частоты (поскольку концентрация электронов в металле настолько велика, что и частота ωp становится большой). Для ω<ωp вещественная часть диэлектрической проницаемости отрицательна. В соответствии с этим металл для таких частот непрозрачен и глубина проникновения δ (толщина скин-слоя) гораздо меньше толщины образца. В этом случае от средней длины свободного пробега электрона λ зависит, чем будут определяться электрические характеристики поверхности для электромагнитных волн радиодиапазона: нормальным скин-эффектом или аномальным скин-эффектом. Первый случай осуществляется при λ<δ, а второй при λ>δ.
В последнем случае можно возбудить циклотронное движение, комбинируя действие постоянной магнитной индукции (например, BZ) и высокочастотного электромагнитного поля при этом используется геометрия, предложенная Азбелем и Канером рис.2. Названные авторы указали, что если постоянная магнитная индукция BZ лежит в плоскости поверхности, то циклотронное движение должно происходить в плоскости, пересекающей поверхность. Некоторые циклотронные орбиты при этом достигают области высокочастотного скин-слоя, орбитам, приближаясь к поверхности, могут испытывать действие высокочастотного поля с угловой частотой ω и циклотронной частотой ωс. Таким образом, поверхностный импеданс кристалла по отношению к высокочастотному излучению является функцией величины магнитной индукции.

рис.2. Геометрия Азбеля-Канера для наблюдения циклотронного резонанса в металлическом кристалле. Заштрихован скин-слой, имеющий глубину δ для высокочастотного излучения с частотой ω Показана одна из возможных орбит, проходящих через поверхностный слой. Такая орбита может соответствовать циклотронному движению, возникающему под действием магнитной индукции Bz, приложенной в плоскости поверхности. Наблюдение резонанса Азбеля-Канера должно проводиться на металлическом монокристалле высокой частоты и совершенства, Высокой частоты и совершенства, одна грань которого (например, (100) или (111)) обработана с особой тщательностью, чтобы при низких температурах среднее время свободного пробега (а следовательно, средняя длина свободного пробега) было велико как в объеме кристалла, так и в скин-слое. Энергия высокочастотного поля может быть связана с энергией кругового движения электронов при условии λ>δ. Если при этом также ωсτm»1, то может наблюдаться острый циклотронный резонанс, когда частота ω равна или кратна ωс.
Для успешного наблюдения резонансных явлений следует работать с чистым совершенным монокристаллом при низких температурах, чтобы средняя длина свободного пробега была велика по сравнению с размером циклотронной орбиты. Поверхность, на которую падает высокочастотное излучение, должна быть хорошего качества, чтобы значение λ в приповерхностном слое было таким же, как в объеме. В этих условиях значение λ будет большим по сравнению с толщиной скин-слоя δ и движущийся по окружности электрон будет взаимодействовать с высокочастотным полем только в течение малой доли своего периода обращения. Азбель и Канер указали, что при λ>δ и (ωcτm) » 1 взаимодействие между высокочастотным полем и циклотронным движением может быть обеспечено как при ω=ωс, так и при значении ω, достаточно малом кратном ωс. Пусть Bc - магнитная индукция, при которой ω=ωс. Для магнитной индукции, составляющей целую долю от Bc, интервал между двумя последовательными попаданиями данного электрона в поверхностный слой равен нескольким периода высокочастотного поля. Однако и в этом случае высокочастотное поле сможет повторить свое воздействие на электрон в тот момент, когда он снова окажется у поверхности.

рис.3. Зависимость поверхностного сопротивления (вещественной части поверхностного импеданса) для свободного электронного газа в металле при частоте высокочастотного поля ω от индукции B (верхняя кривая). По оси абсцисс отложна нормированная величина B/Bc, где Bc=ωm/e—индукция, для которой ω и циклотронная частота совпадают. Эта кривая может быть рассчитана по формуле модели Азбеля-Канера.
Азбель и Канер установили, что зависимость комплексного поверхностного импеданса от магнитной индукции определяется выражением
Z(B)=Z0(1–exp(–2π/ωτm)exp(–2πiωc/ω))1/3,
где магнитная индукция входит в величину ωc. Осциллирующее поведение вещественной части этого импеданса (поверхностного сопротивления) показано на рис.3. Там же показан ход производной (dR/dB) – величины, которую можно измерять непосредственно в эксперименте.

рис.4. Результаты экспериментального наблюдения резонанса Азбеля-Канера в кристалле чистой меди при двух температурах. Кривая для более высокой температуры сглажена из-за возросшего теплового рассеяния движущихся по циклотронной орбит электронов. Поверхность кристалла представляет собой плоскость (110), магнитное поле, направленное вдоль (100), лежит в этой плоскости. Наблюдается резонанс для электронов, движущихся по экстремальной «поясной орбите», охватывающей основной объем поверхности Ферми.(см. Рис.5).
На рис.4. приведены для примера результаты экспериментального наблюдения резонанса Азбеля - Канера на очень чистом образце меди при низких температурах. Различие двух кривых показывает, как важно, чтобы рассеяние электронов было сведено к минимуму. Кривую, снятую при 4,2К, можно непосредственно сравнить с предсказаниями теории Азбеля-Канера и определить из нее размер орбиты для электронов с энергией Ферми в меди. Для такой ориентации полей, при которой были получены данные на рис.3, важна электронная «поясная» орбита (belly orbit), когда электроны движутся в k - пространстве почти по круговой траектории вокруг основного обхвата поверхности Ферми, показанной на рис.4.

Рис.4. Поверхность Ферми для меди. Поверхность Ферми в этом металле формируется электронами, расположенными в заполненной наполовину 4s-зоне.
Поясная орбита является экстремальной; Она максимизирует циклотронный период; точно так же «шеечная орбита» вокруг шейки, показанной у границы зоны на рис.4. и рис.5., экстремальна в том смысле, что она минимизирует циклотронный период по сравнению с соседними орбитами.

рис.5. Часть ферми - поверхности меди, показанная в представлении повторяющихся зон. Для энергетических состояний на границе зоны эффективная масса положительна в направлении kb и kc, но отрицательна в направлении, перпендикулярном плоскости зонной границы. Часть ферми - поверхности, имеющая форму такого типа, известна в литературе под названием «шейки». В магнитном поле электрон можно заставить прецессировать вокруг такой «шеечной орбиты» постоянной энергии.
Особая важность экстремальных орбит связана с тем, что электроны, прецессирующие по орбитам, лежащим на несферической поверхности Ферми, обладают в данном магнитном поле множеством периодов. Однако вклады электронов с не экстремальных орбит взаимно компенсируются из-за различия фаз. Основной вклад дает экстремальная область, в которой первая производная периода по компоненте k, направленной вдоль магнитного поля, обращается в нуль. Эта область ответственна за значительный сигнал, находящийся в фазе.
Заключение.В объеме данного реферата рассмотрены лишь основные положения связанные с явлениями циклотронной частоты и циклотронного резонанса, использующимися при исследовании твердого тела. Реферат не ставит своей целью широко раскрыть данную тему, а только дает самое общее представление о данном вопросе.
Список литературы.- Ч. Киттель. Введение в физику твердого тела. «Наука» 1978 г.
- Ч. Киттель. Квантовая теория твердых тел. «Наука» 1967 г.
- Дж. Блейкмор. Физика твердого тела. «Мир» 1988 г.
- Дж. Займан. Принципы теории твердого тела. «Мир» 1966 г.