Хаос, необратимость времени и брюссельская интерпретация квантовой механики
Хаос, необратимость времени и брюссельская интерпретация квантовой механики. Концепция И. Пригожина
Содержание
ВВЕДЕНИЕ
1. ХАОС
1.1 Классический динамический хаос: неустойчивость по начальным условиям
1.2 Классический хаос: неинтегрируемые системы Пуанкаре
1.3 Статистическое описание. Диссипативный хаос
2. НЕОБРАТИМОСТЬ ВРЕМЕНИ
2.1 Обратимость времени в классической и квантовой механике
2.2 Роль необратимости в статистической механике. Потоки корреляций
2.3 Проблема несводимого описания
3. БРЮССЕЛЬСКАЯ ИНТЕРПРЕТАЦИЯ КВАНТОВОЙ МЕХАНИКИ
3.1 Альтернативные интерпретации квантовой механики
3.2 Неунитарная эволюция и несводимое описание
4. ЗАКЛЮЧЕНИЕ СПИСОК ЛИТЕРАТУРЫ
ВВЕДЕНИЕ
Начиная со времён Галилея и Ньютона современная физика проделала огромный путь по накоплению, систематизации, описанию и осмыслению фактов об окружающем мире. Описание обычно делалось на языке математики, и сама структура этого языка зачастую позволяла совершать новые открытия в реальном мире (что само по себе достаточно удивительно) . За несколько столетий предсказательная роль физики стала настолько большой, что в настоящее время нерешаемых "счётных" задач практически не осталось – по крайней мере, с точки зрения принципиального понимания происходящих явлений – ни в механике, ни в классической электродинамике, ни в квантовой теории.
Физика продолжает развиваться, и за последние десятилетия возрос интерес к таким её новым областям, как синергетика, динамический хаос и самоорганизация. В этих ветвях физики зачастую используется оригинальный математический аппарат, а в сочетании с возрастающей мощностью компьютеров и возможностей "численного эксперимента" предсказательная сила их оказывается вполне "на уровне", наряду с традиционными физическими теориями.
В то же время возникли некоторые проблемы, лежащие скорее в области не математики, а философии физики. Различные физические теории – старые и новые – "не стыкуются" друг с другом в отношении определённых фундаментальных понятий и явлений – в частности, детерминизма и необратимости времени.
На макроскопическом уровне необратимость времени входит не только в "новую физику", но, например, и в разработанную в прошлом веке термодинамику. Трудности возникают при перекидывании моста с классических механических моделей, основанных на обратимых во времени гамильтоновых уравнениях, к явно диссипативному, необратимому, поведению реальных физических систем и теориям, их описывающим. Это один пример.
Другой пример физической проблемы философского плана – возникновение хаотического поведения у простых систем, описываемых детерминистскими уравнениями движения. И вновь – существующие теории хаоса вполне эффективно работают и описывают такие системы, но "моста" к классической части физики нет. Откуда берётся хаос в детерминированных системах?
Данная работа посвящена взглядам на эти вопросы, развиваемым так называемой "брюссельской школой", идейным руководителем которой является известный биофизик, синергетик, лауреат Нобелевской премии по химии за 1977 г. Илья Пригожин.
Основная особенность научной концепции, развиваемой И. Пригожиным – необратимость времени на микроскопическом уровне. Не отрицая ни законов, ни результатов традиционной физики, Пригожин предлагает новую интерпретацию этих результатов. Технически это выражается как поиск решений всё тех же уравнений (уравнений Гамильтона, Лиувилля, Шрёдингера и т.д.) – но в новом классе функций, в новом функциональном пространстве.
В разделе 1 настоящей работы рассматриваются примеры классического динамического хаоса в простейших математических моделях сдвига Бернулли и преобразования пекаря (неустойчивость по начальным условиям) , а также фундаментальное свойство неинтегрируемости многих динамических систем (теорема Пуанкаре) , также приводящее к хаотическому поведению.
Раздел 2 посвящён проблемам сводимости "макроскопического" хаоса к "микроскопическому" и проблеме обратимости времени. Существенно, что и в классической механике, и в копенгагенской интерпретации квантовой механики описание необратимого поведения макроскопических систем исходя из обратимых микроскопических законов наталкивается на существенные трудности.
В разделе 3 вкратце описаны основные интерпретации квантовой механики: копенгагенская, статистическая, многомировая интерпретация Эверетта. Основное же внимание уделяется брюссельской интерпретации квантовой механики, развиваемой И. Пригожиным. Особенности её математического аппарата поясняются на простых примерах динамических систем, уже рассмотренных в предыдущих разделах. Общая концепция неунитарной эволюции приводит к тому, что единственно адекватным становится статистическое описание систем – как классических, так и квантовых. Для случая последних проясняются некоторые известные парадоксы известных интерпретаций квантовой механики, связанные с ролью внешнего наблюдателя.
К сожалению, идеи И. Пригожина требуют для своего изложения (даже в популярном виде) существенного использования математического аппарата, что привело к некоторой перегруженности текста формулами. Автор, однако, надеется, что "лес" за "деревьями" не скрылся, и основные положения физической концепции Брюссельской школы нашли отражение в настоящей работе.
1. ХАОС
Их либе жизнь и обожаю хаос...
И. Бродский, "Два часа в резервуаре"
1.1 Классический динамический хаос: неустойчивость по начальным условиям
Хаотическое поведение может возникать даже в очень простых системах, например, из физических моделей – в колебаниях сферического маятника с двумя степенями свободы. Мы для начала рассмотрим даже ещё более простые математические модели с дискретным временем – сдвиг Бернулли и преобразование пекаря.
Сдвиг Бернулли представляет собой отображение в одномерном пространстве на интервале (0,1) по закону
xn+1=2xn(mod1) .
Это уравнение движения детерминистично: по заданному xn однозначно вычисляется xn+1. При этом, однако, сдвиг Бернулли не является обратимым отображением. Симметрия во времени нарушена ещё на уровне уравнения движения. Этим сдвиг Бернулли отличается от динамических систем с обратимыми уравнениями движения.
Сдвиг Бернулли представляет собой пример детерминистического хаоса. Можно представить примеры последовательностей, начинающихся с какого-нибудь произвольного числа, например:
{0.13; 0.26; 0.52; 0.04; 0.08; 0.16; 0.32; 0.64; 0.28... }
и
{0.14; 0.28; 0.56; 0.12; 0.24; 0.48; 0.96; 0.92; 0.84... } –
как видим, незначительное отличие в начальных условиях уже на 4-м шаге порождает существенное различие траекторий, а в дальнейшем их поведение совершенно различно.
Легко показать, что со временем разойдутся траектории любых двух сколь угодно близких точек. Запишем число x в виде двоичной дроби:
x=0. u–1u–2u–3... u–k... =u–1/2 + u–2/22 + u–3/23 +... + u–k/2k +...
Описанное выше отображение соответствует сдвигу u–k'=u–(k+1) , откуда становится понятным название "сдвиг Бернулли". Видно, что нулевой разряд числа при этом теряется, что соответствует не-взаимооднозначности отображения.
Описание эволюции динамической системы типа сдвига Бернулли в терминах траектории неадекватно, так как для адекватности траектория должна оставаться "почти одной и той же" при незначительном изменении начальных условий.
В данном же случае имеет смысл обратиться к статистическому описанию, введя плотность вероятности r (x) пребывания системы в каждой точке x интервала (0,1) . Отображение представляет собой оператор U, действующий на эту функцию:
r n+1=Ur n(x) = (r n(x/2) +r n((x+1) /2) ) / 2.
Оказывается, что при многократном применении оператора отображения к произвольному распределению плотности вероятности оно стремится к константе:
r n=Unr 0(x) ® r µ (x) =const.
В дальнейшем мы ещё вернемся к отображению Бернулли и свойствам его оператора, а пока рассмотрим другую простую динамическую систему, теперь уже двумерную, называемую преобразованием пекаря:

Правило, определяющее преобразование пекаря, очень просто. Сначала квадрат со стороной, равной 1, сплющивается в прямоугольник длиной 2 и высотой 1/2, затем правая половина полученного прямоугольника накладывается на левую, образуя новый квадрат. Процесс в чём-то аналогичен размешиванию теста, отсюда и название.
В отличие от сдвига Бернулли преобразование пекаря обратимо во времени. Однако оно точно так же порождает хаотическое движение, связанное с неустойчивостью по начальным условиям.
Преобразование пекаря сводится к сдвигу в двусторонней двоичной последовательности:
x0y =.... u–k... u–3u-2u–1u0u1u2... uk...., uk' = u–(k+1) .
Видно, что при этом никакие двоичные разряды не теряются, что и соответствует обратимости преобразования пекаря во времени.
Аналогично сдвигу Бернулли, преобразование пекаря порождает динамический хаос, и описание движения точки в терминах траекторий также неадекватно.
В случае преобразования пекаря описание эволюции системы в статистических терминах даже более "физически осмысленно", чем для сдвига Бернулли. Дело в том, что теперь, в двумерном случае, можно рассматривать координатную плоскость как фазовое пространство некоторой динамической системы с одной степенью свободы: ось x соответствует координате, а ось y – импульсу. Аналогия с "физическими" динамическими системами усиливается ещё и тем, что выполняется теорема Лиувилля: сохраняется объём в фазовом пространстве. Другими словами, взяв ансамбль точек внутри некоторой области и проделав произвольное количество преобразований пекаря, мы обнаружим тоже самое количество точек внутри некоторой другой области (форма её при этом очень сильно изменится и станет крайне замысловатой) . Объём этой области (в нашем двумерном случае ему соответствует площадь) останется неизменным.
Несмотря на обратимость преобразования пекаря во времени, эволюция при t ® +µ и при t ® –µ оказывается различной (1, c. 114).
Кроме описанных выше, существует ещё много сравнительно простых моделей динамического хаоса. Однако мы воздержимся от их подробного рассмотрения, и перейдём теперь к причинам, лежащим в основе непредсказуемого поведения физических систем.
1.2 Классический хаос: неинтегрируемые системы Пуанкаре Чем простое отличается от сложного? Традиционный ответ содержит ссылку на иерархию. На одном конце шкалы мы находим такие объекты, как маятник, подчиняющийся простым детерминистским законам. На другом конце шкалы находятся люди и их сообщества. Между этими полюсами можно мысленно вписать целую иерархию "комплексификации" – возникновения сложного из простого. В действительности же дело обстоит даже более тонко: простое и сложное могут сосуществовать вместе, не будучи связаны между собой иерархически.
Что касается человеческих сообществ, теория их поведения крайне трудно поддаётся хоть какой-нибудь математизации и заслуживает отдельного рассмотрения, вне рамок настоящей работы. Пример же хаотического поведения простейших физических систем типа маятника будет рассмотрен ниже.
При исследовании того, как простое относится к сложному, обычно широко используется понятие аттрактора, то есть конечного состояния или хода эволюции диссипативной системы. Смысл этого понятия был глубоко преобразован современной физикой и математикой. В прошлом считалось, что все системы, эволюция которых связана с существованием аттрактора, одинаковы. Ныне понятие аттрактора связывают с разнообразием диссипативных систем.
Идеальный маятник без трения не имеет аттрактора и колеблется бесконечно. С другой стороны, движение реального маятника – диссипативной системы, движение которой включает трение, – постепенно останавливается в положении равновесия. Это положение является аттрактором. Аналогичным образом, аттрактором является и состояние термодинамического равновесия: ансамбль из миллиардов и миллиардов частиц, образующих изолированную систему, эволюционирует к состоянию равновесия, описание которого зависит лишь от немногих параметров, таких как температура и давление.
Идеальный маятник служит примером так называемой структурной неустойчивости: в отсутствие трения аттрактор не существует, но введение даже самого незначительного трения изменяет движение маятника и вводит аттрактор.
Чтобы представить аттрактор геометрически, обычно вводят пространство, размерность которого совпадает с числом переменных, необходимых для описания системы. Это могут быть координаты, импульсы, различные термодинамические переменные. Во введённом пространстве равновесное состояние диссипативных систем соответствует точечному аттрактору. То же относится и к стационарным состояниям систем, близких к термодинамическому равновесию и удовлетворяющим теореме о минимальном производстве энтропии. Во всех случаях, каково бы ни было первоначальное приготовление системы, её эволюция может быть описана траекторией, ведущей из точки, которая представляет начальное состояние, к аттрактору. Таким образом, конечная точка – аттрактор – представляет собой финальное состояние всех траекторий.
Не все диссипативные системы приводят к одной-единственной конечной точке. Например, сильно неравновесная диссипативная структура, известная под названием "химические часы", эволюционирует не к какому-нибудь состоянию, а к устойчивому периодическому режиму. Такая ситуация приводит к необходимости обобщения идеи аттрактора: аттрактор более не точка, а линия, описывающая периодическое во времени изменение концентрации химических веществ. Примеры подобных аттракторов легко найти, например, и в радиофизике – ими являются предельные циклы автогенераторов, – и во многих других разделах естествознания.
Система с предельным циклом остаётся предсказуемой и потому допускает простое описание. Но за этой простотой кроются неожиданные свойства. Нетрудно представить себе химическое равновесие – множество химических процессов, компенсирующих друг друга подобно тому, как в состоянии демографического равновесия рождаемость компенсирует смертность. Но воображение бессильно представить себе, как огромные количества молекул, взаимодействующих только через столкновения, начинают вдруг действовать "дружно" – так, что среда периодически изменяет свой цвет.
В других случаях, пытаясь построить изображение аттрактора, мы получим не точку или замкнутую линию, а поверхность или объём. Поворотным же событием стало открытие аттракторов, не относящихся к столь простым геометрическим объектам – так называемым странных аттракторов. В отличие от линии или поверхности, странные аттракторы представляют собой фрактальные объекты, характеризующиеся дробной размерностью.
Странные аттракторы были обнаружены в поведении многих динамических систем, описываемых детерминистическими уравнениями движения. Например, они возникают для так называемого сферического маятника – обыкновенного грузика на нитке, который совершает колебания не в плоскости, а по поверхности полусферы. При внесении возмущений в виде колебаний точки подвеса в некоторый критический момент (зависящий от частоты возмущения) движение маятника становится хаотическим, а его траектория описывается странным аттрактором (1, с. 83).
Корреляционный анализ временных последовательностей, характеризующих работу человеческого мозга, изменения климата на планете за миллионы лет и курса акций на бирже также приводит к обнаружению странных аттракторов. Впрочем, при наличии огромного количества внешних причин, влияющих на поведение всех этих систем, случайность их поведения вроде бы удивления не вызывает, поэтому пока обратим внимание на более загадочное явление. Откуда возникает хаотическое поведение в случае сферического маятника?
Как было показано выше, хаотическое поведение отображений типа сдвига Бернулли связано с неустойчивостью по начальным условиям, а необратимость их во времени – с потерей информации при сдвиге двоичной записи числа. Можно, однако, возразить, что приведённые примеры отображений несколько искусственны, так как в природе не встречается подобных дискретных процессов, да и "вычислительной мощности" природы не хватит на выполнение столь мудрёной операций, как модульная арифметика.
Оказывается, однако, что и на уровне решения обычных уравнений движений (вытекающих из законов Ньютона) для того же маятника возможно получение неустойчивых решений, связанных с так называемой неинтегрируемостью системы по Пуанкаре.
Основная проблема классической механики состоит в расчёте движения взаимодействующих тел на основе их уравнений движения (в частном случае, например, это может быть закон Ньютона F=ma) . Обобщение ньютоновской механики на более сложные системы показало, что более удобной формой описания является не зависимость от времени пространственной траектории системы (в нашем примере – координаты) , а движение точки, изображающей систему, в пространстве вдвое большей размерности, чем обычное "физическое". В общем случае состояние динамической системы описывается координатами q1,..., qs, которые являются независимыми переменными, и соответствующими им импульсами p1,..., ps. Преимуществом такого подхода является существенное упрощение уравнений движения.
Центральная величина всей гамильтоновой механики – функция Гамильтона, или гамильтониан – это, в простейшем случае, выраженная через координаты и импульсы энергия системы (Строгое изложение гамильтоновой механики – см. (3)) . В гамильтоновском описании число независимых переменных удваивается, но уравнения движения существенно упрощаются. Рассмотрим систему N точек. Каждой из 3N координат N точек соответствует каноническое уравнение движения
. Аналогично, каждому из 3N импульсов соответствует каноническое уравнение движения вида
. В качестве частного случая рассмотрим свободные, то есть невзаимодействующие, частицы. Гамильтониан для них зависит только от импульсов (потенциальной энергии нет) . Тогда из канонических уравнений следует, что импульсы постоянны во времени (
) , и что координаты, задающие положение частиц, – линейные функции времени. Этот тривиальный случай играет, тем не менее, весьма важную роль в общей проблеме интегрирования гамильтоновых уравнений движения.
Чтобы ввести понятие интегрируемой системы, обратимся к другому простому примеру – маятнику на пружинке, одномерному гармоническому осциллятору. Гамильтониан для него имеет вид
, где k – жёсткость пружины, q – смещение груза от положения равновесия. Чтобы упростить уравнения движения, введём новые переменные a и J вместо старых q и p:
,
, где
– собственная частота колебаний осциллятора. Переменная a называется угловой переменной, J – переменной действия. В переменных угол–действие гамильтониан принимает простой вид: H=w J. Он теперь зависит только от нового импульса – переменной действия. В результате, как и в случае свободных частиц,
, то есть переменная действия является инвариантом движения. Что же касается угловой переменной, то
, она меняется линейно по времени.
Переход от переменных p, q к переменным J, a называется каноническим преобразованием. В данном случае оно позволило исключить из гамильтониана член, ответственный за потенциальную энергию. Аналогичное преобразование можно иногда проделать и в случае системы со многими степенями свободы, исключив из гамильтониана межчастичное взаимодействие, и выразить движение в циклических переменных. Их название относится к периодическому характеру движения, который делается явным в таких переменных.
Особую важную роль играют частоты системы w 1, w 2,..., w n. Именно через эти частоты мы приходим к понятию резонанса, имеющего решающее значение для теоремы Пуанкаре.
Движение интегрируемой системы с двумя степенями свободы можно представить на торе. Возможны две ситуации. Если для некоторых целых n1 и n2 выполняется условие n1w 1+ n2w 2=0, то есть частоты соизмеримы, мы имеем резонанс, и движение на торе периодическое – траектория замкнутая. Если же эта сумма ни при каких комбинациях n1 и n2 не равна нулю, то траектория навивается на поверхность тора и никогда не замыкается. В конце концов, как показано Пуанкаре, такая траектория проходит сколь угодно близко к произвольной точке на поверхности тора. Траектория при этом называется всюду плотной, а движение – квазипериодическим. Квазипериодическое движение очень сложно выглядит, но на самом деле является вполне детерминированным.
До Пуанкаре полагалось, что все динамические системы являются интегрируемыми. Однако в 1889 г. Пуанкаре показал, что в общем случае невозможно получит каноническое преобразование, сохраняющее вид гамильтоновых уравнений, которое приводило бы к циклическим переменным. Например, система двух тел (Земля – Солнце) интегрируема, а вот система трёх тел (Земля – Солнце – Юпитер) неинтегрируема. Короче говоря, подавляющее большинство динамических систем неинтегрируемы.
Данная работа не посвящена анализу математических методов, которыми Пуанкаре доказывал свою теорему. Отметим только, что он сформулировал свой вопрос в терминах теории возмущений, то есть пытался для гамильтониана вида
H(J, a) = H0(J) +l V(J, a)
определить новые переменные действия J' вида J' = J + l J1 + l 2J2+... , аналитически переходящие в исходные при стремлении константы связи l (параметра, определяющего интенсивность взаимодействия) к нулю. Если такая замена возможна, то мы можем исключить потенциальную энергию возмущённой системы и ввести новый гамильтониан, зависящий только от J'. Интегрирование возмущённой системы было бы в этом случае столь ж простым, так как новые переменные действия были бы постоянными движения. Однако Пуанкаре показал, что такая замена возможна далеко не всегда.
Предположим, что Пуанкаре удалось бы доказать интегрируемость всех динамических систем. Это означало бы, что все динамические движения изоморфны движению свободных (не взаимодействующих) частиц. Разумеется, такая модель не оставляет никакого места для возможности макропроцессов, которые мы наблюдаем ежеминутно. В интегрируемом мире не нашлось бы места ни для самоорганизации, ни для когерентности (в случае, например, диссипативного хаоса) .
Пуанкаре не только доказал неинтегрируемость, но и указал на её причину, а именно – на существование резонансов между степенями свободы системы. Именно резонансы сильно связывают степени свободы и не дают возможность исключить взаимодействие. В качестве примера рассмотрим систему с двумя степенями свободы, гамильтониан которой имеет вид
H = H0(J1, J2) +l V(J1, J2, a 1, a 2) ,
представимый в виде суммы невозмущённого интегрируемого гамильтониана и малого возмущения l V. Как показал Пуанкаре, теория возмущений неизбежно приводит к появлению членов с "оласными" знаменателями вида 1/(n1w 1+n2w 2) . Если частоты соизмеримы и существуют резонансы, то члены ряда теории возмущений расходятся, и им приходится приписывать значение, равное бесконечности. Но это означает, что в физике описания что-то "не так"!
Проблема малых знаменателей была известна ещё астрономам в XIX в. Теорема Пуанкаре показала, что основная трудность – появление расходимостей в решении задач динамики – не может быть устранена и делает невозможным введение циклических переменных для большинства динамических проблем, начиная с проблемы трёх тел.
Открытие неинтегрируемости вызвало определённый пессимизм и недоумение в рядах многих физиков. Макс Борн, например, заметил: "Было бы весьма странно, если бы Природа укрылась от дальнейшего прогресса познания за аналитическими трудностями проблемы многих тел". Только с появлением работ Колмогорова, продолженных Арнольдом и Мозером (так называемой теории КАМ) , проблему неинтегрируемости перестали оценивать как сопротивление Природы прогрессу знания, а начали рассматривать как новый отправной пункт дальнейшего развития динамики.
Теория КАМ рассматривает влияние резонансов на траектории. Простой случай гармонического осциллятора с постоянной частотой, не зависящей от переменных действия J, является исключением: частоты, вообще говоря, зависят от значений, принимаемых переменными действия. А посему в одних точках фазового пространства динамической системы резонанс может существовать, а в других – нет. Резонансы соответствуют рациональным соотношениям между частотами, классический же результат теории чисел говорит, что мера рациональных чисел по сравнению с мерой иррациональных равна нулю. Это означает, что резонансы встречаются крайне редко. Кроме того, в отсутствие возмущений, как было сказано выше, резонансы приводят к периодическому движению, а в общем случае мы имеем квазипериодическое движение (нерезонансные торы) . Резюмируя, можно сказать, что периодические движения – не правило, а исключение.
(Интересно было бы предположить, какими путями развивалась бы эволюция жизни на Земле, если бы движение Земли вокруг Солнца не носило периодического характера. Возможна ли, например, жизнь в условиях планетной системы двойной звезды? Автор реферата полагает, что если "крайние" условия, в которые попадала бы такая планета, не были слишком уж жёсткими, то жизнь нашла бы возможность приспособиться и эволюция была бы всё-таки возможна. Однако все эти рассуждения основаны лишь на оптимизме автора и его вере в глубокую приспособляемость всего живого к внешним условиям, и имеют крайне мало отношения к объявленной в заглавии теме работы) .
При введении возмущений характер движения на резонансных торах резко изменяется (по теореме Пуанкаре) , в то время как квазипериодическое движение изменяется незначительно, по крайней мере, при малом параметре возмущения l. Основной результат теории КАМ состоит в том, что теперь мы имеем два совершенно различных типа траекторий: слегка изменившиеся квазипериодические траектории и стохастические траектории, возникшие при разрушении резонансных торов. Появление стохастических траекторий подтверждается численными экспериментами (1, c. 127).
Теория КАМ не приводит к динамической теории хаоса. Её главный вклад в другом: она показала, что при малых значениях параметра l мы имеем промежуточный режим, в котором сосуществуют траектории двух типов – регулярные и стохастические. В дальнейшем нас будет в основном интересовать то, что происходит в предельном случае, когда снова останется только один тип траекторий. Эта ситуация соответствует так называемым большим системам Пуанкаре (БСП) , к рассмотрению которых мы и переходим.
При рассмотрении предложенной Пуанкаре классификации динамических систем на интегрируемые и неинтегрируемы мы отметили, что резонансы встречаются редко. При переходе к БСП ситуация радикально изменяется: в БСП резонансы играют главную роль.
Рассмотрим в качестве примера взаимодействие между какой-нибудь частицей и полем. Поле можно рассматривать как суперпозицию осцилляторов с континуумом частот. В отличие от поля, частица совершает колебания с одной фиксированной частотой w 1. Перед нами – пример неинтегрируемой системы Пуанкаре. Резонансы будут возникать всякий раз, когда w 1=w k. Испускание излучения обусловлено именно такими резонансными взаимодействиями между заряженной частицей и полем. Испускание излучения представляет собой необратимый процесс, связанный с резонансами Пуанкаре.
Новая особенность состоит в том, что частота w k есть непрерывная функция индекса k, соответствующая длинам волн осциллятора поля. Такова специфическая особенность больших систем Пуанкаре, то есть хаотических систем, у которых нет регулярных траекторий, сосуществующих с хаотическими траекториями. БСП соответствуют в действительности большинству физических ситуаций, с которыми мы сталкиваемся в природе. Но БСП позволяют также исключить расходимости Пуанкаре, то есть устранить основное препятствие на пути к интегрированию уравнений движения. Этот результат, заметно приумножающий мощь динамического описания, разрушает отождествление ньютоновской или гамильтоновой механики и обратимого по времени детерминизма в духе Лапласа. Уравнения для больших систем Пуанкаре в общем случае приводят к принципиально вероятностной эволюции с нарушенной симметрией во времени. Более подробно вопросы необратимости времени рассмотрим в следующем разделе.
1.3 Статистическое описание. Диссипативный хаос
Можно описывать мир в терминах траекторий (в классической физике) или волновых функций (в квантовой механике) . Почти сто лет назад Гиббс и Эйнштейн ввели ещё один тип описания – статистическое описание в терминах ансамблей. Описание отдельной динамической системы заменяется описанием ансамбля систем, которые все соответствуют одному и тому же гамильтониану и различаются только начальными условиями эволюции. Для введения ансамблевой точки зрения были две основные причины. Во-первых, описание в терминах ансамбля позволило удобно вычислять средние значения. Во-вторых, понятие ансамбля стало необходимым для описания системы, достигшей термодинамического равновесия. Оказалось, что термодинамические свойства можно понять только в терминах ансамблей, но отнюдь не в терминах отдельных траекторий или волновых функций. Ансамблевый подход применим ко всем динамическим системам, интегрируемым и неинтегрируемым, устойчивым и неустойчивым.
Основной величиной в ансамблевом подходе становится распределение вероятностей. Однако ничто не мешает вернуться как к предельному случаю. Подход Гиббса–Эйнштейна – альтернативный, но эквивалентный способ представления законов физики, он является сводимым статистическим описанием.
Концепцию несводимых статистических описаний, развиваемую школой И. Пригожина, мы подробнее рассмотрим в третьем разделе. Пока что вкратце обратимся к классическому диссипативному хаосу, для которого статистическое описание является единственно возможным подходом. Введём также некоторые понятия, необходимые для дальнейших рассуждений о статистическом описании. (Подробнее – см. (4)) .
Как и прежде, каждому состоянию системы соответствует точка в фазовом пространстве. Но в теории ансамблей Гиббса система как целое представима лишь "облаком" точек в фазовом пространстве. Это "облако" описывается непрерывным распределением плотности вероятности r (q1,..., qs, p1,..., ps) в фазовом пространстве. Каждая точка фазового пространства движется во времени по своей динамической траектории, которые никогда не пересекаются. Две первоначально различные точки навсегда остаются различными. Это фундаментальное свойство приводит к теореме Лиувилля, которая уже упоминалась при описании преобразования пекаря. Эта теорема утверждает, что плотность r ведёт себя как несжимаемая жидкость: для любой динамической системы объём области, занятой представляющими точками в фазовом пространстве, сохраняется в ходе эволюции. Однако теорема Лиувилля отнюдь не исключает изменения формы области, занятой представляющими точками.
Вернёмся к хаосу. Примеры хаотически ведущих себя динамических систем, описанные выше, относительно новы и, как уже упоминалось, не всегда "физичны". Термодинамика же и статистическая физика примерно на сто лет раньше столкнулись с проблемой хаотического поведения систем.
За примерами далеко ходить не следует – окружающая нас атмосфера ведёт себя вполне хаотически, предсказание прогноза погоды на сколько-нибудь большой срок – задача огромной сложности (хотя в принципе и небезнадёжная) .
Однако даже в атмосфере встречаются относительно устойчивые образования и на некотором уровне описания поведение атмосферы не совсем хаотично. Другим примером того, что (термодинамический) хаос и беспорядок – в физике не синонимы, являются широко известные ячейки Бенара (настолько известные, что автор почему-то совершенно не желает в очередной раз давать описание этого явления – см., например, (1, с. 68)) . И ячейки Бенара, и атмосферные вихри, и многие другие подобные явления относятся к так называемым диссипативным структурам – структурам, существование которых напрямую обусловлено наличием в системе процессов диссипации энергии и производства энтропии.
Таким образом, простое и сложное, детерминированное и хаотическое поведение сосуществуют в современной физике рядом. Закончим этот очень краткий обзор словами И. Пригожина (1, с. 59): "... хотелось бы подчеркнуть замечательный дуализм, который мы обнаруживаем в природе, – сосуществование равновесных ситуаций типа излучения абсолютно чёрного тела и высокоорганизованных объектов, одним из наиболее замечательных среди которых, по-видимому, является человеческий мозг с его 1011 связанных между собой нейронами. Порядок и беспорядок не могут быть поняты в терминах Больцмана: порядок как менее вероятное состояние, беспорядок как более вероятное состояние. И порядок, и беспорядок являются неотъемлемыми составными частями и продуктами коррелированных эволюционных процессов".
2. НЕОБРАТИМОСТЬ ВРЕМЕНИ
Меж тем вот палец твой, он на пульсе. А вот часы, Они идут, и довольно быстро – я проверял...
М. Щербаков, "Фармацевт"
2.1 Обратимость времени в классической и квантовой механике
Центральная тема размышлений И. Пригожина и направление размышлений "брюссельской школы" состоит в решении дилеммы: отрицание – неотрицание стрелы времени. Выражение "стрела времени" было введено в 1928 г. Эддингтоном в его книге "Природа физического мира". В этой книге Эддингтон предсказывал конец господства в физике "первичных" (детерминистических) законов и наступление эры "вторичных" (статистических) законов, описывающих необратимые процессы.
В том виде, в каком время входит в фундаментальные законы физики от классической динамики до теории относительности и квантовой физики, время не содержит в себе различия между прошлым и будущим. Для многих физиков это уже почти вопрос веры: до тех пор и поскольку речь идёт о фундаментальном уровне описания, "стрелы времени" не существует.
Но на макроуровне, в мире объектов, с которыми мы имеем дело ежедневно, на уровне живых организмов необратимость времени сомнений ни у кого не вызывает. Процессы старения, распада, рассеяния энергии неизбежны. Как сказано в пародии на известную песню, "фарш невозможно провернуть назад". Стрела времени на самом деле присутствует и во всех физических теориях, описывающих реальный мир. Но присутствует она там не в виде членов в уравнениях, а в виде примечаний и комментариев к этим уравнениям, представляя собой высказывания типа: "... Из этих двух решений мы должны выбрать первое, поскольку оно соответствует прямому направлению хода времени" или "... В формуле (...) первый член отвечает за прямое, а второй – за обратное рассеяние, в реальности не наблюдающееся, поэтому мы будем рассматривать только решения вида (...) ".
В более явном виде стрела времени появляется в термодинамике, в различных формулировках её второго начала и в H-теореме Больцмана. Удивительным оказывается то, что при попытке анализировать такие процессы, как диффузия или вязкость – вполне макроскопически необратимые – физика успешно их описывает с помощью обратимых во времени микропроцессов.
В основе классической механики (исторически, даже если и не логически) лежит закон Ньютона. Он обратим во времени и детерминистичен. Закон Ньютона можно рассматривать как прототип некоего Универсального Закона Природы.
Понятие закона природы заслуживает некоторого отступления. Мы настолько привыкли к нему, что оно воспринимается как нечто само собой разумеющееся. Однако в других взглядах на мир (не всегда вполне научных – с нынешней точки зрения) такая концепция "закона природы" отсутствует. По Аристотелю, живые существа не подчиняются никаким законам, их деятельность обусловлена их собственными внутренними причинами. Каждое существо стремится к достижению своей собственной истины. В Китае господствовали взгляды о спонтанной гармонии космоса, своего рода статистическом равновесии, связывающем воедино природу, общество и небеса. Примеры можно множить и множить...
Идея о том, что в мире могут действовать законы, вызрела в недрах западной мысли. Отчасти она восходит к стоикам, несмотря на ту роль, которую они отводили року. Немаловажную роль, вероятно, сыграли и иудеохристианские представления о Боге как абсолютном Вседержителе, устанавливающем законы для всего сущего. Так или иначе, открытие неизменяющихся детерминистических законов как бы сближало человеческое знание с божественной, вневременной точкой зрения.
Намеченная программа оказалась необычайно успешной. Однако на протяжении всей истории западной мысли неоднократно возникал один и тот же вопрос: как следует понимать новое, играющее центральную роль, в мире, управляемом детерминистическими законами?
Впервые этот вопрос возник задолго до рождения современной науки. Ещё Платон связывал разум и истину с доступом к "бытию", неизменной реальностью, стоящей за "становлением". Становление, поток воспринимаемых нами явлений, относится к сфере "чистого мнения". Однако Платон сознавал парадоксальность такой позиции, поскольку она принижала жизнь и мысль, которые представали как неотделимые от процесса становления. В "Софисте" Платон приходит к заключению, что нам необходимы и бытие, и становление.
С той же трудностью столкнулись и атомисты. Чтобы допустить возникновение нового, Лукрецию пришлось ввести "клинамен", возмущающий детерминистическое падение атомов в пустоте. Обращение к клинамену часто подвергалось критике как введение чужеродного элемента в схему атомистического описания. Но и через два тысячелетия мы встречаем аналогичное утверждение в работе Эйнштейна, посвящённой самопроизвольному испусканию света возбуждённым атомом, где говорится, что "время и направление элементарных процессов определены случайным образом" (6, с. 386) И клинамен, и спонтанное испускание света относятся к событиям, соответствующим вероятностному описанию. События и вероятности требуются и для эволюционного описания, будь то дарвиновская теория эволюции или история человечества. Встаёт вопрос: можно ли пойти дальше, чем Лукреций и Эйнштейн, "добавившие" события к детерминистическим законам? Можно ли видоизменить само понятие физических законов так, чтобы включить в фундаментальное описание природы необратимость, события и стрелу времени?
Для ответа на этот вопрос обратимся сначала к той области физики, которая имеет дело с "наиболее необратимыми" из встречающихся в повседневной жизни системами – а именно, к термодинамике и статистической физике.
2.2 Роль необратимости в статистической механике. Потоки корреляций
Теория ансамблей Гиббса и Эйнштейна предназначалась главным образом для достижения лучшего понимания равновесной термодинамики в терминах равновесных ансамблей. Коль скоро равновесное распределение задано, мы можем вычислить все термодинамические свойства: давление, удельную теплоёмкость и т.д. Мы можем даже выйти за рамки микроскопической термодинамики, поскольку ничто не мешает нам вычислять флуктуации равновесных величин. По общему мнению, в обширной области равновесной "статистической" термодинамики не осталось каких-либо концептуальных трудностей, вычислительные же легко снимаются численным моделированием. Таким образом, применение теории ансамблей к равновесным распределениям оказалось весьма успешным.
Но термодинамические величины, "соответствующие" необратимому характеру времени – такие, как энтропия – обладают фундаментально важными свойствами и вне равновесия. Встаёт вопрос: как можно понять в терминах теории ансамблей приближение к равновесию?
При описании равновесного состояния основной величиной является распределение скоростей f(v, t) . Микроскопическим аналогом энтропии Больцман объявил знаменитую H-функцию:
![]()
Больцман показал, что для разрежённых газов распределение скоростей эволюционирует до тех пор, пока не достигает равновесного распределения скоростей Максвелла-Больцмана, при этом H(t) монотонно убывает.
Компьютерное моделирование и численные эксперименты подтверждают утверждение Больцмана (1, с. 167), то есть наличие необратимых процессов на микроскопическом уровне. Однако такая проверка не может нас полностью удовлетворить: всегда можно списать появляющуюся необратимость на счёт неточности вычислений (аналогично потере информации при сдвиге Бернулли, рассмотренном выше) .
Теорема Больцмана подвергалась критике (в частности, со стороны Лошмидта) на том основании, что она противоречит обратимым во времени законам динамики. Лошмидт выдвинул возражение, основанное на том, что обращение всех скоростей означало бы, что для каждой "больцмановской" эволюции к равновесию существовала бы другая эволюция, уменьшающая энтропию.
Вероятно, Лошмидт был прав. На то есть серьёзные основания, лежащие в основе той самой гамильтоновой механики, на базе которой строилась классическая статистическая механика. Дело в том, что интегрируемые системы не могут приближаться к равновесию, поскольку для таких систем все переменные действия J1, ..., Js являются инвариантами движения: если первоначально r есть функция только переменных действия, то эта функция остаётся постоянной во времени и не может эволюционировать в функцию только энергии, как должно быть для равновесного состояния.
Пытаясь увязать детерминизм поведения динамических систем с необратимостью систем статистических, Максвелл и Больцман ввели понятие эргодичности – то есть свойства системы с течением времени сколь угодно близко подходить к любой точке на энергетической поверхности. При этом в пределе, при больших временах, средние от динамических свойств по времени совпадают со средними по ансамблю. Эргодическая теория и различные её обобщения позволяют делать заключения о поведении динамических систем при больших временах (при этом безразлично, t ® + µ или t ® –µ ) , но не дают никакой информации относительно поведения системы при конечных временах. Кроме того, интегрируемые системы, вообще говоря, неэргодичны.
Между тем, именно поведение систем на конечных временах является центральной математической проблемой необратимости. Нужна обобщённая спектральная теория, включающая в спектр такие диссипативные свойства, как времена жизни, времена релаксации и т.д. (Брюссельская школа как раз и предлагает такое комплексное спектральное представление для неустойчивых динамических систем – об этом сказано в следующих разделах данной работы) .
После возражений Лошмидта для описания различия между "больцмановскими" и "антибольцмановскими" начальными состояниями была предпринята попытка воспользоваться корреляциями в скоростях частиц, возникающими в результате межчастичных столкновений. Последовательные столкновения порождают парные, тройные,..., n–арные корреляции между частицами. Обращение скорости привело бы к столкновениям, разрушающим корреляции.
В терминах функций распределения это можно выразить так: проинтегрируем по координатам функцию r (q1,..., qn,..., p1,..., pn,, t) . Получим в результате функцию r 0(p1,..., pn,, t) , зависящую только от импульсов. В ней не содержится никакой информации о положении частиц в пространстве, поэтому её можно назвать вакуумом корреляций. Можно также определить функцию, содержащую информацию о положении одной i-й частицы, функцию r 2(qi., qj,, p1,..., pn,, t) , описывающую две частицы и т.д. Функция r 2 содержит уже информацию о парных столкновениях, r 3 – о тройных,... В результате, мы можем разложить r на вакуум корреляций r 0 и на состояния корреляций. Отличие в квантовой механике, как обычно, связано с числом независимых переменных. Матрице плотности соответствует матричное представление – например, в терминах импульсов – r (p1,..., pn, p1',..., pn') . Мы имеем диагональные элементы с p1=p1', p2=p2', ... и недиагональные, у которых по крайней мере одно из этих соотношений нарушено. В квантовой механике вакууму корреляций r 0 соответствует диагональным элементам матрицы r, а r n – недиагональным элементам, в которых n переменных p1, p2,..., pn не равны соответственно p1', p2',..., pn '. В результате взаимодействий различные состояния корреляций переходят друг в друга. (С точки зрения операторного формализма на матрицы pi действует супероператор Лиувилля – см. ниже) . Когда частица, уже коррелированная с другой частицей, сталкивается с третьей, возникает тройная корреляция, и т.д.
Теперь нетрудно установить связь между потоком корреляций и теоремой Пуанкаре. Интегрируемые системы – это системы, в которых мы можем исключить взаимодействие, поэтому исключается и поток корреляций. Следовательно, если эволюция интегрируемой системы начинается с вакуума корреляций, в ходе эволюции никогда не возникнут двойные, тройные и т.д. корреляции. Потока корреляций в интегрируемых системах не существует.
В отличие от интегрируемых систем, в неинтегрируемых системах Пуанкаре существует непрерывный процесс рождения корреляций. Неинтегрируемость означает, что мы не можем исключить поток корреляций с помощью любого (канонического) преобразования. Поток корреляций, как и все необратимые процессы, носит внутренний характер.
Кроме того, в неинтегрируемых системах вакуум корреляций становится зависящим от времени. Таким образом, делается заключение, что кинетические уравнения типа уравнений Больцмана могут выполняться только для "неинтегрируемых" систем, как классических, так и квантовых.
2.3 Проблема несводимого описания
Эволюция во времени плотности распределения вероятности определяется уравнением Лиувилля, которое следует из классической гамильтоновой динамики. В операторной записи оно имеет вид
![]()
при этом явный вид оператора Лиувилля L может быть выведен из гамильтониана. Следует отметить, что, как и операторы квантовой механики, оператор Лиувилля эрмитов.
Теория ансамблей Гиббса обобщается на случай квантовой теории с той лишь разницей, что в квантовой теории гильбертово пространство содержит лишь половину переменных, входящих в классическое описание. Место плотности вероятности занимает матрица плотности
, эволюция её во времени описывается уравнением Лиувилля–фон Неймана
. Так как новый оператор Лиувилля действует не на волновые функции, а на матрицу плотности, которая сама по себе оператор, L обычно называют супероператором. Оператор L – эрмитов, а пространство матриц плотности – гильбертово. (5) Использование операторного формализма позволяет в статистической механике применять к классическим системам методы, разработанные для квантовых систем: определение собственных функций и собственных значений для оператора Лиувилля.
Как и в квантовой механике, мы можем рассмотреть задачу на собственные значения:
При этом, поскольку L – эрмитов оператор, его собственные значения ln действительны. Кроме того, из функций | j n > можно составить полную ортонормированную систему, по которой раскладывается любая функция распределения:
.
Эволюция же распределения во времени определяется соотношением
r (t) =U(t) r (0) =e–iLtr (0) .
Как и в квантовой механике, U(t) – унитарный оператор, и поэтому
.
Таким образом, распределение вероятности разлагается в сумму независимо развивающихся во времени мод, каждая из которых входит с весом cn, постоянным во времени. Поскольку собственные значения вещественны, каждая мода "вращается" в фазовом пространстве. Единственное отличие от квантовой механики состоит в том, что в данном случае каждая мода вносит свой вклад непосредственно в вероятность r, а не в амплитуду вероятности y, как в квантовой механике.
Проблема состоит в том, что решение уравнения Лиувилля для матрицы плотности в гильбертовом пространстве не описывает приближения к равновесию (1, с. 166).
Мы сталкиваемся здесь с основной трудностью теории необратимых процессов. Вращение по фазе сохраняет симметрию во времени. Чтобы получить нарушение симметрии во времени, было бы необходимо иметь комплексные собственные значения ln = ln' + iln'', тогда exp(–ilnt) =exp(–iln't) exp(–ln''t) , и второй множитель порождает экспоненциальное затухание. Но это невозможно, поскольку мы имеем дело с эрмитовым оператором и используем формализм гильбертова пространства.
Одна из возможностей, к принятию которой склоняются многие авторы, состоит в утверждении, что поскольку уравнение Лиувилля обратимо во времени, необратимость возникает в результате грубой зернистости, то есть приближённого описания. Но на микроскопическом уровне мы снова возвращаемся к парадоксу времени. Решить его можно только двумя способами: выбрать в качестве исходных новые уравнения движения, с самого начала содержащие необратимость, или отказаться от гильбертова пространства. Концепция Пригожина реализует вторую возможность.
Для интегрируемых классических систем решение задачи на собственные значения оператора L приводит к траекториям. В квантовой теории ансамблей ситуация аналогична. Если задача на собственные значения для гамильтониана H решена, то мы можем решить её и для L и представить решение в терминах волновых функций. Для квантовых систем с дискретным спектром никаких трудностей при этом не возникает, но при переходе к большим системам Пуанкаре (с непрерывным спектром и непрерывными множествами резонансов) не существует уже конструктивного метода решения задачи ни для H, ни для L (1, с. 164).
Отличие статистического описания, даваемого школой Пригожина, от классического эйнштейновско-гиббсовского именно в том, что оно несводимо. Оно неприменимо к отдельной траектории. Это утверждение представляет собой строгий математический результат, полученный в результате применения к анализу хаоса методов современного функционального анализа. Кроме того, в таком необратимом вероятностном описании прошлое и будущее играют различные роли. Хаос приводит к включению стрелы времени в фундаментальное динамическое описание.
Легко показать, что хаос, определяемый как обычно, приводит к несводимому вероятностному описанию. Пригожин обращает это утверждение и выдвигает новое определение: все системы, допускающие несводимое вероятностное описание, по определению считаются хаотическими (1, с. 9).
3. БРЮССЕЛЬСКАЯ ИНТЕРПРЕТАЦИЯ КВАНТОВОЙ МЕХАНИКИ
Э. Шрёдингер
3.1 Альтернативные интерпретации квантовой механики
Вероятно, квантовая механика – одна из немногих, если не единственная работающая физическая теория, по поводу интерпретации которой на фундаментальном уровне до сих пор ведутся содержательные споры. Данная работа посвящена краткому изложению позиции и следствий только одной из интерпретаций, однако автору кажется невозможным при этом не упомянуть самые распространённые альтернативные интерпретации. (Более подробно – см. (2)) .
Наиболее известны следующие подходы к квантовой механике: – копенгагенская интерпретация; – статистическая интерпретация; – "неоклассические" интерпретации со скрытыми параметрами; – многомировая интерпретация; – брюссельская интерпретация, развиваемая школой Пригожина.
Остановимся вкратце на каждой из этих интерпретаций.
а) Копенгагенская интерпретация является наиболее распространённой, но в то же время представляет (в силу исторических причин) собой скорее конгломерат различных подходов, нежели монолитную концепцию. Двумя важнейшими принципами являются общефилософский принцип дополнительности Бора и постулат редукции волнового пакета.
Принцип дополнительности первоначально возник как истолкование соотношения неопределённостей Гейзенберга. В дальнейшем Бор развил этот принцип как общенаучный и призывал к его применению в биологии, психологии и гуманитарных науках. Содержание его примерно таково: никакая классически непротиворечивая система понятий не может описать реальность, всегда существуют различные, взаимоисключающие и взаимодополняющие подходы, каждый из которых отрицает другой. Только совместное рассмотрение этих описаний может дать нам полную картину происходящих в мире событий.
Постулат редукции волнового пакета описывает процесс наблюдения квантовой системы внешним наблюдателем и утверждает, что в таком процессе происходит переход волновой функции квантового объекта в одно из собственных состояний – то есть система переходит из смешанного состояния в чистое, и переход этот необратим. Собственно, в копенгагенской интерпретации этот постулат и является тем "примечанием", вносящем необратимость времени (см. раздел 2.1) в теорию. С постулатом редукции волнового пакета связано много дискуссий и парадоксов. Копенгагенская интерпретация квантовой механики неоднократно подвергалась критике за необходимость присутствия в ней наряду с квантовыми объектами сугубо классического внешнего наблюдателя.
б) Статистическая интерпретация, или интерпретация статистических ансамблей, основана на предположении, что волновая функция квантовой системы описывает не индивидуальный объект, а ансамбль одинаковым образом приготовленных объектов. При этом признаётся фундаментальный характер вероятностных предсказаний в квантовой механике, и в этом смысле квантово-механическое описание реальности считается полным. Вероятности того или иного результата естественным образом даётся относительно-частотное толкование. С точки зрения статистической интерпретации квантовая механика вообще не описывает индивидуальные квантовые объекты.
Нужно заметить, что в рамках статистической интерпретации вводится постулат о том, что в процессе измерения макроприбор выделяет из статистического ансамбля некоторый подансамбль, соответствующий данному результату измерения. Этот постулат фактически занимает место постулата редукции в копенгагенской интерпретации.
в) Неоклассические интерпретации квантовой механики исходят из того, что квантово-механическое описание в действительности не является полным. Следовательно, должна существовать более общая теория, обеспечивающая наличие детерминизма классического образца. По отношению к такой теории квантовая механика была бы некоторым статистическим приближением. Наиболее распространены неоклассические теории со скрытыми параметрами. В них предполагается, что волновая функция Ѕ y > не полностью определяет состояние системы. Наряду с ней существуют скрытые параметры x, такие, что их точное знание могло бы дать возможность предсказания результатов измерения любой физической величины. При этом сами параметры являются статистически распределёнными по некоторому закону, и мы не можем на практике точно определить значение x. Поэтому сохраняются все следствия квантовой механики, в том числе невозможность одновременного точного измерения некоммутирующих величин. Принципиальным в такой неоклассической интерпретации является факт, что существует описание состояния системы (Ѕ y >, x) , позволяющее избежать недетерминированности в предсказании результатов измерений.
Вопрос об обратимости времени в интерпретации со скрытыми параметрами не является ключевым, и остаётся столь же открытым, сколь и в копенгагенской интерпретации (особенно если из последней "удалось бы изъять" принцип редукции волновой функции) .
г) Многомировая интерпретация квантовой механики (концепция Эверетта) исходит из принципа реальности волновой функции. При этом постулируется, что существует такая функция сразу для всей Вселенной, и нет необходимости в мистическом "внешнем наблюдателе", отвечающем, например, за квантовые эффекты в момент её рождения. В многомировой интерпретации место постулата редукции волнового пакета занимает понятие "ветвления волновой функции Вселенной", которое можно толковать либо образно – как появление "параллельных квантовых миров", либо чисто математически, как процедуру дефакторизации волновой функции наблюдаемого объекта (2, с. 29). При этом возникают свои математические тонкости, связанные с предпочтительным выбором базиса собственных состояний для каждого объекта во Вселенной, исключающего "лишние" ветвления для не наблюдающихся в конкретном эксперименте объектов (своеобразное применение хорошо известной "бритвы Оккама") .
Наконец, брюссельская интерпретация ограничивает применимость чистых состояний (то есть точек в фазовом пространстве классической механики и волновых функций в квантовой механике) введением некоего нового принципа, который можно назвать "микроскопическим вторым началом термодинамики". При этом отвергается представление как о реальности волновой функции в старом смысле этого слова, так и о "классическом идеале" – в пользу новой концепции, в основе которой лежит необратимость времени.
3.2 Неунитарная эволюция и несводимое описание
Необратимость, выражаемая стрелой времени – свойство статистическое. Она не может быть введена на уровне отдельных траекторий (или волновых функций) и поэтому требует радиального отхода от ньютоновской механики или ортодоксальной квантовой механики, в основе которых лежат понятия траектории или отдельной волновой функции. Ещё Больцман понял, что необходим подход на основе ансамблей. Школа Пригожина реализует эту программу с необходимой математической строгостью.
Неустойчивость и хаос вынуждают отказаться от описания классической механики в терминах траекторий и перейти к описанию в терминах распределения вероятности. Примером может служить рассмотренное ранее отображение сдвига Бернулли. В разделе 1.1 был приведён явный вид оператора с дискретным временем, описывающего эволюцию плотности вероятности для сдвига Бернулли (применительно к отображениям подобный оператор называется оператором Перрона–Фробениуса) . В статистической механике оператор эволюции имеет вид U(t) = e–iLt, а в квантовой механике U(t) = e–iHt. Два последних оператора унитарны, то есть сохраняют скалярное произведение, и в гильбертовом пространстве имеют собственные значения, по модулю равные 1 – то есть приводят к периодическим функциям от времени типа exp(–iEnt) . В отличие от них оператор эволюции хаотических систем должен описывать приближение к равновесию и, следовательно, содержать время релаксации. Для этого требуются комплексные спектральные представления.
Оказалось, что для сдвига Бернулли в гильбертовом пространстве спектрального разложения отображения не существует. Собственные функции этого оператора не удовлетворяют условию квадратичной интегрируемости, поэтому вместо гильбертова пространства требуется перейти к так называемому обобщённому пространству, включающему наряду с квадратично интегрируемыми функциями, например, ещё и d -функции типа дираковской. Собственные значения для построенных в этом пространстве собственных функций оказываются напрямую связанными с временем Ляпунова в хаотической системе.
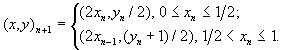
На языке распределений вероятности отдельная траектория для сдвига Бернулли представляется функцией r n=d (x–xn) , сдвиг Бернулли преобразует её в r n+1=d (x–xn+1) = d (x–2xn) при xn<1/2 и в r n+1=d (x–xn+1) = d (x+1–2xn) при 1/2 Рассмотрим задачу на собственные значения для оператора эволюции U. Нетрудно проверить, что U(x–1/2) = 1/2(x–1/2) . Следовательно, (x–1/2) – собственная функция оператора U, соответствующая собственному значению 1/2. В отличие от оператора эволюции в квантовой механике, мы получили комплексную спектральную теорию (собственное значение соответствует k=i ln2) . Полученное значение связано с показателем Ляпунова, который в точности равен 1/2=e–ln 2. Применение оператора U к функции x–1/2 приводит к затуханию. Итерируя действие оператора U, мы получаем последовательность (1/2) n, которая при n® µ стремится к нулю. Функция x–1/2 принадлежит семейству многочленов, называемых многочленами Бернулли: B0(x) = 1; B1(x) = x – 1/2; B2(x) = x2 – x + 1/6; B3(x) = x3 – 3/2 x2 + 1/2 x; B4(x) = x4 – 2 x3 + x2 – 1/30; ... На первый взгляд может показаться, что задача на собственные значения для сдвига Бернулли решена, но это не так. Рассмотрим теперь оператор U+, сопряжённый с оператором U (сопряжённый оператор определяется соотношением U+(d (x–1) –d (x) )=1/2 (d (x–1) –d (x) ), следовательно, мы имеем собственную функцию оператора U+, которая принадлежит к классу обобщённых функций и имеет такое же собственное значение, какое первый многочлен Бернулли имеет для оператора U. Обозначим поэтому найденную функцию B(1) (x) . Существует целое семейство обобщенных функций B(n) (x) , которые являются собственными функциями оператора U+ и соответствуют собственным значениям 1/2n. Эти функции не имеют конечной нормы, что вынуждает к переходу в обобщённое пространство. Их семейство, однако, обладает свойствами ортогональности и полноты. Таким образом, как и в квантовой механике, мы можем разложить вероятность r (x) по биортонормированному семейству функций: Распространяя скалярное произведение на обобщённые функции, необходимо сделать некоторые существенные замечания. Основное свойство d -функции состоит в том, что при интегрировании с обычной непрерывной функции она "вырезает" её значение в точке x=x0. Для корректности скалярного произведения Мы можем определить действие оператора A на обобщённую функцию f с помощью соотношения Возвращаясь к спектральному представлению эволюции при сдвиге Бернулли, делаем вывод: так как B(n) – обобщённые функции, r (x) должна быть пробной функцией, так как в противном случае ей бы соответствовала d -функция, для которой скалярное произведение с B(n) расходится. Спектральные теории Пригожина применимы только для ансамблей траекторий – это фундаментальный результат. Для хаотических систем, а сдвиг Бернулли – простейший из примеров таких систем, вероятностное описание следует строить не в гильбертовом, а в обобщённом пространстве, и оно несводимо. В этом – принципиальное отличие брюссельского подхода от подхода на основе теории ансамблей Гиббса–Эйнштейна: их описание было сводимо, поскольку могло быть разложено на описания отдельных траекторий. Мы подходим к важному вопросу: что означает действие оператора эволюции U(t) на обобщённую функцию? Это соотношение имеет вполне определённый смысл, если U+(t) g остаётся пробной функцией. Для хаотических систем это условие, как правило, не выполняется и при t>0, и при t<0. Пробные функции для прошлого отличаются от пробных функций для будущего. Этот факт приводит к нарушению симметрии во времени и лежит в основе решения парадокса времени, предлагаемого брюссельской школой. Рассмотренное выше отображение пекаря также допускает спектральное представление в гильбертовом пространстве, однако собственные значения его оператора Перрона–Фробениуса не имеют при этом отношения к времени Ляпунова – таким образом, хаотические свойства остаются "за кадром". Оказывается всё-таки, что некоторые хаотические системы – и преобразование пекаря в частности – допускают дополнительные спектральные представления. Помимо спектрального представления оператора эволюции в гильбертовом пространстве можно построить новое представление в обобщённом гильбертовом пространстве, которое связывает эволюцию во времени с временем Ляпунова. Может возникнуть вопрос – так какое же представление правильное? С математической точки зрения они оба вполне корректны. Однако комплексные представления в обобщённом пространстве позволяют продвинуться значительно дальше, так как включают в спектр оператора эволюции время Ляпунова, которое характеризует временной горизонт хаотических систем. Новые представления позволяют описывать приближение к равновесию, явно описывают нарушение симметрии во времени и включают необратимость на фундаментальном уровне описания. Весьма важно, что новые представления несводимы. Неоднократно утверждалось, что хаос, связанный с чувствительностью к начальным условиям, приводит к "невычислимым" траекториям. Казалось, что это чисто техническая трудность. Как теперь понятно, причина гораздо более глубокая. Существует своего рода соотношение дополнительности в боровском смысле между необратимостью на уровне статистических ансамблей, с одной стороны, и траекторий – с другой. На простейших хаотических примерах мы проиллюстрировали, как в концепции Пригожина возникает необходимость несводимого описания и как в этом несводимом описании проявляется стрела времени. Обратимся теперь к выводам, которые аналогичный подход даёт в квантовой теории (объём настоящей работы не позволяет подробно описать математические особенности применения этого подхода) . Приведём только один пример. В операторе эволюции U(t) =e–iHt будущее и прошлое играют одну и ту же роль, так как независимо от того, какие знаки имеют t1 и t2 выполняется свойство U(t1+t2) = U(t1) + U(t2) . Принято говорить, что оператор эволюции U(t) образует динамическую группу. Пробные функции же принадлежат двум различным классам в зависимости от того, какую эволюцию – прямую (в будущее) или обратную (в прошлое) – мы рассматриваем. Это означает, что динамическая группа, порождаемая оператором эволюции U(t) , распадается на две полугруппы – одну для оператора U(+t) , другую – для U(–t) . Введение стрелы времени позволяет сделать шаг вперёд в рассмотрении уже упоминавшихся больших систем Пуанкаре – например, в задаче рассеяния. Возникающие в теории возмущений малые знаменатели вида Аналогичный подход в квантовой статистической теории – решение задачи на собственные значения супероператора Лиувилля – также приводит к необходимости мнимой добавки в знаменатель, и собственные функции супероператора Лиувилля перестают быть произведениями волновых функций. Получающиеся уравнения Лиувилля–фон Неймана не могут быть выведены из уравнения Шрёдингера. В этом смысле концепция Пригожина приводит к альтернативной квантовой теории. ЗАКЛЮЧЕНИЕ В концепции И. Пригожина необратимость процессов во времени вводится на микроскопическом уровне. В квантовой теории это достигается рассмотрением пространства обобщённых функций вместо обычного гильбертова пространства, при этом оператор эволюции системы перестаёт быть унитарным, а его собственные значения становятся комплексными. Мнимая часть этих собственных значений после подстановки в уравнение Шрёдингера отвечает за затухание, что соответствует необратимости времени. Другая важная черта квантовой теории в концепции Пригожина – принципиальная несводимость получаемых решений к волновым функциям отдельных частиц. Статистическое описание с использованием матрицы плотности становится необходимым с самого начала, мы больше не можем рассуждать иначе, как в терминах ансамблей. В отличие от копенгагенской интерпретации квантовой механики, не требуется постулата о редукции волнового пакета и существования внешнего наблюдателя с классическим прибором. В этом есть некоторое сходство с многомировой интерпретацией Эверетта, так как можно вводить понятие волновой функции Вселенной. Однако, математический аппарат теории Пригожина не требует введения процесса дефакторизации волновой функции и сложных процедур выбора базиса, связанного с объектом. Введение вероятностей в концепции Пригожина вполне совместимо с физическим реализмом, и его не требуется объяснять неполнотой нашего знания. Наблюдатель более не играет активной роли в эволюции природы – по крайней мере, играет роль не большую, чем в классической физике. Эта роль крайне далека от роли демиурга, которой копенгагенская интерпретация квантовой физики наделяет наблюдателей, считая их ответственными за переход от потенциальной возможности природы к актуальности. Самым же, вероятно, важным, является то, что одна и та же математическая структура, включающая в себя хаос, позволяет решить и парадокс времени, и квантовый парадокс – две проблемы, которые омрачали горизонты физики на протяжении многих-многих лет. ЛИТЕРАТУРА
Можно также показать, что оператор U+ – изометрический, то есть сохраняет скалярное произведение (однако в отличие от унитарного изометрический оператор не допускает обратного, из чего следует, что сдвиг Бернулли – не обратимое отображение) . Задача на собственные значения U+f(x) =l f(x) не имеет других решений в классе непрерывных функций, кроме постоянной. Таким образом, сдвиг Бернулли не имеет спектрального представления в гильбертовом пространстве. Однако U+ имеет собственные функции и собственные значения в обобщённых пространствах. Например:
.
регуляризуются введением малой мнимой добавки:
при e ® 0 . Это устраняет расходимость – но такая добавка есть не что иное, как введение хронологического упорядочения на микроскопическом уровне! В результате симметричное во времени уравнение Шрёдингера порождает два класса решений, одно из которых соответствует прямому. а другое – обратному рассеянию. Решение уравнений обладает меньшей симметрией, чем уравнения движения.