Однополостный гиперболоид
Министерство высшего образования Российской Федерации
Московский государственный строительный университет
РЕФЕРАТ
На тему:
“Однополостный гиперболоид”
Факультет: ПГС
Группа: №15
Студент: Муравицкий А.С.
Преподаватель: Ситникова Е.Г.
Москва
2003
Поверхности второго порядка – это поверхности, которые в прямоугольной системе координат определяются алгебраическими уравнениями второй степени. К ним относится однополосный гиперболоид.
Однополосный гиперболоид.
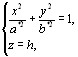
Однополосным гиперболоидом называется поверхность, которая в некоторой прямоугольной системе координат определяется уравнением
(1) 
Из уравнения (1) вытекает, что координатные плоскости являются плоскостями симметрии, а начало координат — центром симметрии однополостного гиперболоида.
Уравнение (1) называется каноническим уравнением однополосного гиперболоида.
Если однополостный гиперболоид задан своим каноническим уравнением (1) то оси Ох, Оу и Oz называются его главными осями.
Установим вид поверхности (1). Для этого рассмотрим сечение ее координатными плоскостями Oxy (y=0) и Oyx (x=0). Получаем соответственно уравнения
и 
из которых следует, что в сечениях получаются гиперболы.

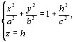
Теперь рассмотрим сечения данного гиперболоида плоскостями z=h, параллельными координатной плоскости Oxy. Линия, получающаяся в сечении, определяется уравнениями
или
из которых следует, что плоскость z=h пересекает гиперболоид по эллипсу с полуосями
и
,
достигающими своих наименьших значений при h=0, т.е. в сечении данного гиперболоида координатной осью Oxy получается самый маленький эллипс с полуосями a*=a и b*=b. При бесконечном возрастании
величины a* и b* возрастают бесконечно.

Таким образом, рассмотренные сечения позволяют изобразить однополосный гиперболоид в виде бесконечной трубки, бесконечно расширяющейся по мере удаления (по обе стороны) от плоскости Oxy.
Величины a, b, c называются полуосями однополосного гиперболоида.
Исследование поверхности методом параллельных сечений.Суть метода заключается в выяснении формы линий пересечения поверхности с плоскостями, параллельными координатным плоскостям.
Рассмотрим линии пересечения с плоскостями, параллельными плоскости OXY. Все уравнения линий пересечений будут получаться из уравнения плоскости, в котором z будет заменена на некоторое число, равное расстоянию от пересекающей плоскости до плоскости OXY. Для более наглядного представления, я изобразил все полученные кривые в виде проекций на плоскость OXY. Изображения кривых представлены выше.
Величины a, b, c называются полуосями однополосного гиперболоида. Если a=b,то гиперболоид может быть получен вращением гиперболы с полуосями а и с вокруг мнимой оси 2с.
Одним из примеров такой поверхности является конструкция радиобашни построенной по принципу сетчатых конструкций на Шаболовке (г. Москва), Владимиром Григорьевичем Шуховым в 1919 - 1922 гг. В прошедшем году исполнилось 80 лет Шаболовской радиобашне — символу советского телевидения 40-60-х годов.
Список использованной литературы:
1.Шипачёв В.С.: «Высшая математика»
2.В.А. Ильин, Э.Г. Позняк: «Аналитическая геометрия»
3.И.Н.Бронштейн, К.А.Семендяев «Справочник по математике для инженеров и учащихся ВТУЗОВ»