Определение коэффициента поверхностного натяжения методом компенсации давления Лапласа

ОПРЕДЕЛЕНИЕ КОЭФФИЦИЕНТА ПОВЕРХНОСТНОГО НАТЯЖЕНИЯ МЕТОДОМ КОМПЕНСАЦИИ ДАВЛЕНИЯ ЛАПЛАСА

 

Содержание

 

Введение

Глава I. Определение коэффициента поверхностного натяжения

§1. Явление поверхностного натяжения

§2. Экспериментальные методы определения коэффициента поверхностного натяжения

§3. Определение коэффициента поверхностного натяжения методом компенсации давления Лапласа

Глава II. Обработка экспериментальных данных

§1. Экспериментальные результаты

§2. Методическая разработка лабораторной работы “Измерение коэффициента поверхностного натяжения воды”

Заключение

Литература

 

Введение

В процессе проведения физического практикума необходимо научить учащегося творчески подходить к исследовательской работе, правильно выбирать методику эксперимента и измерительные приборы

Ученики должны научиться понимать и применять теорию изучаемого явления (6)

Сознательное выполнение эксперимента, внимательность и сосредоточенность на процессе измерений, бережное отношение к приборам – необходимые условия успешного проведения опыта (7)

Учащийся заранее должен ознакомиться с установкой, на которой ему предстоит выполнять лабораторную работу, и сделать ориентировочные измерения

Многие учителя физики проводят в настоящее время те или иные работы, связанные с физическим экспериментом: организуют практикумы, различные физические кружки, дают домашние экспериментальные задания и т.д. Среди этих разнообразных форм обучения, приводящих к всестороннему развитию учащихся, особенно большое значение имеют классные лабораторные работы (10)

Фронтальный метод постановки лабораторных занятий по физике в средней школе, как известно, имеет ряд весьма важных положительных сторон. Это прежде всего даёт возможность тесно связать лабораторные работы учащихся с изучаемым курсом. Благодаря фронтальному методу лабораторные занятия могут быть поставлены как введение к тому или иному разделу курса, или как иллюстрация к объяснению учителя, или как повторение и обобщение пройденного материала (13)

Таким образом, лабораторный эксперимент учащихся становится необходимым звеном в процессе обучения, значительно помогающим усвоению материала, как и демонстрационные опыты (4)

Всё вышеизложенное объясняет актуальность темы выбранной выпускной квалификационной работы: явление поверхностного натяжения входит в обязательный минимум содержания определяемый государственным образовательным стандартом, особенно в школах теоретическое обучение необходимо подтверждать экспериментом

Объект исследования: процесс обучения физике в средней школе и вузе в области изучения строения и свойств жидкости

Предмет исследования: экспериментальное определение коэффициента поверхностного натяжения жидкости

Цель: изучение существующих методов определения коэффициента поверхностного натяжения жидкостей

Для достижения данной цели были поставлены следующие задачи:

  • углублённое изучение явления поверхностного натяжения;
  • ознакомиться с существующими методами определения коэффициента поверхностного натяжения и выявить те, которые можно использовать в школьном курсе;
  • отработать методику экспериментального определения коэффициента поверхностного натяжения воды методом компенсации давления Лапласа.

В первой главе рассматриваются: явление поверхностного натяжения, экспериментальные методы определения коэффициента поверхностного натяжения, а также определение коэффициента поверхностного натяжения методом компенсации давления Лапласа

Во второй главе анализируются экспериментальные результаты данного опыта и приводится методическая разработка лабораторной работы “Измерение коэффициента поверхностного натяжения воды”

В заключении сделаны основные выводы о работе

 

Глава I. Определение коэффициента поверхностного натяжения

§1. Явление поверхностного натяжения

Изучим одно из свойств поверхности жидкости, соприкасающейся с другой средой, например с её собственным паром, с твёрдым телом, в частности со стенками сосуда

Возьмём катушку и выдуем мыльный пузырь. Как только мы отнимем катушку от рта, плёнка мыльного пузыря начнёт сокращаться, он уменьшится, а затем исчезнет. Взяв проволочное кольцо с привязанной к нему в двух толчках нитью, получим на нём мыльную плёнку. На плёнке нить лежит свободно. Прорвём плёнку с одной стороны нити. Оставшаяся часть плёнки сократилась, натянув нить. Получим плёнку на проволочной рамке, одна перекладина которой подвижна . В этом случае плёнка тоже сократилась, подняв перекладину (15)

Выясним, чем обусловлено свойство поверхности жидкости сокращаться. Три молекулы и сферы их действия. Молекулярные силы, действующие на молекулу 1 со стороны молекул, находящихся в сфере молекулярного действия, взаимно уравновешиваются. В иных условиях оказывается молекула 2 на поверхности жидкости. Над ней имеется пар жидкости, действием молекул которого можно пренебречь. При таком условии молекулярные силы, действующие на молекулу 2, оказываются неуравновешенными, их равнодействующая R направлена в глубь жидкости перпендикулярно к её поверхности. В таком состоянии находятся все молекулы поверхностного слоя толщиной в радиус сферы молекулярного действия (приблизительно слой в 1-2 молекулы)

Чтобы молекула 3 оказалась в поверхностном слое жидкости, над ней надо совершить работу против сил, втягивающих её в глубь жидкости. Эта работа совершается за счёт кинетической энергии окружающих её молекул; в результате работы увеличивается потенциальная энергия поверхностного слоя жидкости

Оказавшись в поверхностном слое, молекула станет обладать большей потенциальной энергией, чем молекулы, расположенные в глубине жидкости. Таким избыточным запасом потенциальной энергии обладают все молекулы поверхностного слоя жидкости. Эта энергия прямо пропорциональна величине поверхности жидкости

Из курса механики известно, что начиная от атома всякая система, включая галактики, при равновесии находится в таком состоянии (из всех возможных), при котором запас её потенциальной энергии минимальный. Применительно к поверхности жидкости это означает, что данная поверхность должна сокращаться (если возможно) до минимума, тогда запас потенциальной энергии поверхностного слоя станет наименьшим. Это сокращение вызывается молекулярными силами, действующими вдоль поверхности жидкости. Они называются силами поверхностного натяжения (1). Наличием силы поверхностного натяжения и объясняется сокращение плёнки в вышеописанных опытах. Сила поверхностного натяжения, сокращая поверхностный слой, придаёт капле жидкости форму шара, вызывает слипание намоченных водой волос, слипание мокрого песка. Вектор силы поверхностного натяжения F направлен перпендикулярно к любому элементу длины линии, ограничивающей поверхность жидкости, и касательно к этой поверхности. В случае, если поверхность жидкости плоская, то вектор силы поверхностного натяжения лежит в плоскости поверхности жидкости

Выясним, как можно измерить силу поверхностного натяжения. Получив мыльную плёнку на проволочной рамке, чтобы она не перемещалась, приложим к ней силу F. Сторона АВ этой рамки подвижна. Сила поверхностного натяжения плёнок (одна из которых находится по одну сторону рамки, а другая – по другую) равна весу проволоки АВ и грузика. Если так определять силу натяжения поверхностного слоя, например воды, керосина и т.д., то оказывается, что у разных жидкостей она различна. Для сравнения сил поверхностного натяжения различных жидкостей введена величина, называемая коэффициентом поверхностного натяжения. Величина, характеризующая свойство поверхности жидкости сокращаться и измеряемая силой поверхностного натяжения, действующей на единицу длины линии на поверхности жидкости, называется коэффициентом поверхностного натяжения (8). Если обозначить длину границы поверхности жидкости l , силу поверхностного натяжения одной плёнки, действующей на этой границе, - F, то коэффициент поверхностного натяжения будет

. (1)

Коэффициент поверхностного натяжения имеет наименование н/м. С повышением температуры коэффициент поверхностного натяжения чистых жидкостей уменьшается (1)

Асимметрия сил взаимодействия молекул переходного слоя с окружающими их (в пределах объёма молекулярного действия) молекулами приводит, как известно, к представлению о наличии тангенциальных и нормальных относительно поверхности раздела фаз сил, действующих на молекулы переходного слоя (2). Это – силы поверхностного межфазового натяжения и молекулярного давления

Обе эти категории сил, действующих на молекулы, которые находятся на различных расстояниях от поверхности раздела фаз, не одинаковы по величине: они монотонно убывают в обоих направлениях по нормали к нормали раздела фаз

В этом легко разобраться, рассмотрев прохождение молекулы m через поверхность раздела фаз MN . Пусть, например, перемещение молекулы происходит через границу раздела между жидкостью и её насыщенным паром с расстояния r радиуса молекулярного действия внутри жидкой фазы на то же расстояние в газообразной фазе (11)

Молекула переходного слоя, находящаяся на произвольном расстоянии c от фазовой границы, взаимодействует со всеми молекулами, находящимися в пределах шарового объёма её молекулярного действия. Результирующая этого взаимодействия равна, однако, разности суммарных взаимодействий молекулы m с молекулами, находящимися в шаровых сегментах EFG и CHD, так как взаимодействия с молекулами в шаровых поясах ACDB и ABFE уравновешиваются. Если пренебречь притяжением молекул газа, то некомпенсированным остаётся лишь притяжение молекул, заполняющих сегмент EFG. Величину этого притяжения следует считать пропорциональной числу молекул, находящихся в объёме w сегмента, а при постоянной их плотности внутри сегмента – объёму w (3)

При перемещении молекулы через фазовую границу на расстоянии 2r объём w возрастает от нуля до , а затем вновь убывает до нуля. Пропорционально этому объёму изменяется и величина силы, действующих на молекулу m. Отсюда можно сделать заключение, что чем ближе молекула жидкости находится к поверхности фазы, тем больше при тепловых соударениях вероятность её выхода в газовую фазу (испарения), и чем ближе молекула пара к фазовой границе, тем больше вероятность её захвата жидкой фазой (конденсации)

Таким образом, во время перехода молекулы через фазовую границу равнодействующая молекулярных сил изменяется пропорционально объёму шарового сегмента

, (2)

где h – высота сегмента. Зависимость w =j (h); геометрический смысл она имеет в пределах значений h от нуля до 2r . Изменение величины силы, действующей на молекулу при прохождении ею фазовой границы; за начало отчётов принята плоскость ОВ, положение молекулы определяется координатой z. Из рисунка видно, что кривая имеет максимум, соответствующей нахождению молекулы на границе фаз. Зависимость f=y (z) в равной мере относится как к поверхностному натяжению, так и к молекулярному давлению. Таким образом, s =y (z) и p m =y (z) (12)

До сих пор мы говорили об элементарных силах, действующих на отдельные молекулы. Однако величину поверхностного натяжения s , как известно, принято относить к единице длины контура, а молекулярное давление – к единице площади на поверхности фазы. В связи с наличием зависимости s =y (z), строго говоря, величину поверхностного натяжения (численно равную работе образования элемента поверхности) следует относить к элементарному моноатомному слою поверхностного слоя фазы, находящемуся на определённом расстоянии z от поверхности отсчёта. Обычно поверхностное натяжение относят к самому поверхностному слою фазы (z=r ), где оно имеет максимальное значение. Учитывая указанные соотношения, можно было бы говорить о “среднем” значении поверхностного натяжения переходного слоя фазы, что соответствовало бы понятию “линейного напряжения переходного слоя” (2)

Что касается молекулярного давления, то ввиду наличия зависимости p m =y (z) его величину также следует представлять себе как результат суммирования элементарных сил по толщине r от переходного слоя (1)

До последнего времени не было найдено метода измерения молекулярного давления. Решение этой задачи встречает большие трудности, так как молекулярное давление по его происхождению связано с взаимодействиями молекул переходного слоя чрезвычайно малой толщины (~ 10 -7 см) по всей поверхности фазы. Молекулярное давление доступно, однако, вычислению:

, (3)

где p BH – внешнее давление, I – механический эквивалент, С р и Сu - молярные теплоёмкости при постоянном давлении и объёме, g - термический коэффициент объёма u . Величина p m может быть также вычислена на основании уравнения Ван-дер-Ваальса, если известны его константы

Изменение молекулярного давления для жидкостей и твёрдых тел охватывает три порядка: 10 -3ё 10 -5 атм. Индивидуальные вариации величины p m являются прямым следствием индивидуальных различий атомных и молекулярных структур вещества. Поэтому молекулярное давление может служить надёжным критерием интенсивности молекулярного взаимодействия

Если известна зависимость f=y (z), то можно подсчитать работу выхода молекулы на поверхность фазы. Максимальная работа выхода (14):

. (4)

Таким образом, увеличение поверхности связано с затратой работы; при сжатии поверхность сама совершает работу. Из этих термодинамических предпосылок и вытекает представление о поверхностном натяжении как тангенциальных силах, совершающих работу при изменении величины поверхности. Для фазовых поверхностей, имеющих кривизну, ещё Лапласом было введено представление о капиллярном дополнительном давлении р как тангенциальных силах, действующих на поверхностный слой фазы таким образом, что их результирующая направлена к центрам кривизны поверхности (14):

. (5)

Действительно, наблюдаемые на опыте поверхностные явления протекают таким образом, как если бы поверхность находилась в состоянии квазиупругого натяжения. Такое представление весьма наглядно и облегчает решение многих задач

Однако никакой действительной аналогии между поверхностным и упругим натяжением не существует, так как закон Гука по отношению к поверхностному натяжению не выполняется: величина деформации поверхности не зависит от s , которое в изометрических условиях изометрической величины поверхности остаётся постоянным

К сожалению общепринятой теории возникновения поверхностных сил не существует. Имеющиеся точки зрения сводятся к следующим:

1) Выдвигается гипотеза, утверждающая, что межмолекулярные взаимодействия благодаря особой ориентации как самих молекул в поверхностном слое, так и их полей осуществляются преимущественно в направлении, тангенциальном к поверхности. Благодаря такой особой структуре поверхностного слоя возникают силы поверхностного натяжения. Иначе говоря, согласно этой точки зрения существует особая анизотропия молекулярных сил в поверхностном слое, а происхождение этих сил может быть связано с лондоновским (обменным) взаимодействием ван-дер-ваальсового типа

2) Падение давления в жидкости по толщине поверхностного слоя при постоянном переходе от жидкости к пару, численно равное свободной поверхностной энергии, служит причиной поверхностного натяжения (Беккер) (2)

Обе эти точки зрения при их развитии наталкиваются на серьёзные трудности

3) Н. Адам, наконец, считает, что понятие поверхностного натяжения имеет смысл лишь математического эквивалента поверхностной энергии (2). Введение понятия поверхностного натяжения он сопоставляет с принципом возможных перемещений в статике, как чисто математическим приёмом. Так как наличие свободной энергии поверхности может быть объяснено молекулярным давлением, то, по Адаму, нет надобности задаваться вопросом, каким образом это приводит к возникновению тангенциальных сил поверхностного натяжения

Эта точка зрения не даёт, однако, оснований отрицать, как это делает Адам, физическую реальность поверхностного натяжения

Таким образом, подводя итоги, можно лишь сказать, что ясности в вопросе о происхождении поверхностного натяжения в настоящее время нет и что этот вопрос нуждается в теоретической разработке (16)

§2. Экспериментальные методы определения коэффициента поверхностного натяжения

Обнаружение поверхностного натяжения у жидкости с помощью поплавка

Для того, чтобы провести данный эксперимент необходимо следующее оборудование: 1) ареометр с пределами измерений 1,000-0,700; 2) стеклянный цилиндр ёмкостью 1 л (длина 465 мм, диаметр 65 мм); 3) сетка медная диаметром 35 мм (9 клеток на 1 см); 4) два резиновых колечка; 5) глазная пипетка; 6) эфир

Для обнаружения поверхностного натяжения воды пользуются ареометром как поплавком. На расстоянии 6-7 см от верхнего конца ареометра одевают кружок, вырезанный из мелкой медной сетки, и укрепляют его сверху и снизу двумя резиновыми колечками (3). Затем наливают воду в литровый цилиндр и опускают в него ареометр с таким расчётом, чтобы сетка плавающего ареометра находилась на 1-2 см над поверхностью воды

Если затем пальцем медленно и неглубоко погрузить сетку ареометра под воду и осторожно отпустить палец, то можно наблюдать, что ареометр не всплывает: сетка задерживается у поверхности воду. Это объясняется тем, что поверхность воды, как бы обладая свойствами упругой плёнки, удерживает сетку, мешая ей вместе с ареометром подняться вверх в своё первоначальное положение

Если внести теперь с помощью глазной пипетки 2-3 капли эфира на поверхность воды, то сетка сейчас же оторвётся от воды и ареометр опять поднимется вверх. Это объясняется тем, что поверхностное натяжение у эфира примерно в 4 раза меньше, чем у воды

Для большей наглядности можно проводить демонстрацию с применением плоского зеркала, расположенного над цилиндром под углом 45 О к поверхности воды

В случае отсутствия ареометра поплавок можно сделать из маленького стеклянного пузырька с широким горлом (или из пробирки), вставив предварительно в него стеклянную трубку или проволочку с помощью резиновой пробирки. Пузырёк надо предварительно нагрузить, т.е. насыпать в него песок, гвозди, дробь и т.п., причём величина груза подбирается путём нескольких проб

 

Получение мыльных плёнок на каркасах разной формы

Оборудование: 1) проекционный аппарат; 2) пружинный динамометр на 1 Г с ценой деления 100 мГ; 3) штатив; 4) кристаллизатор или плоскопараллельная кювета на стержне; 5) два проволочных каркаса – кольцо с ниткой и “качели”; 6) П-образный каркас из проволоки с подвижной перекладиной; 7) мыльный раствор

Подвешивают на штативе “качели”, т.е. две прямые проволочки диаметром 0,3 мм и длиной приблизительно 50 мм, предварительно связывают между собой тонкими нитями (3). Затем подносят снизу кристаллизатор или плоскопараллельную кювету с мыльным раствором, чтобы проволочка погрузилась в раствор. Медленно опускают вниз кювету и получают между проволоками и нитями сплошную мыльную плёнку. Обращают внимание, что нижняя проволочка “качелей” заметно поднялась вверх, а боковые нити приняли форму дуг

Если слегка потянуть за нижнюю нить, то плёнка растянется и каркас примет вид правильного прямоугольника. Если же нить отпустить, то нижняя проволочная перекладина опять поднимется и поверхность плёнки снова сократится

Заменяют качели проволочным каркасом в виде кольца, к которому свободно (без натяжения) привязана тонкая (лучше шелковая) нитка с петелькой в средней части. Как и предыдущем опыте, получают на поверхности кольца сплошную мыльную плёнку. Затем прорывают её, например, в правой части кольца и опять обнаруживают значительное уменьшение поверхности плёнки, так как нить принимает форму дуги окружности

Снова получают сплошную плёнку на проволочном кольце и прорывают её внутри нитяной петельки. Нить растянется и образует правильную окружность

Эти опыты убеждают учащихся в наличии поверхностного натяжения. Кроме того, они показывают, что плёнка изменяется, если ей предоставить возможность, в сторону уменьшения поверхности и, что силы поверхностного натяжения всегда направлены перпендикулярно к любому элементу контура, ограничивающего плёнку

Далее надо показать учащимся один из простейших методов определения коэффициента поверхностного натяжения какой-либо жидкости, например мыльного раствора (3). Для это может быть применён самодельный прибор, состоящий из чувствительного пружинного динамометра и подвешенной к нему проволочной П-образной петли шириной 50 мм. динамометр снабжён прозрачной шкалой, изготовленной из органического стекла ил целлулоида, с нанесёнными делениями от 0 до 1 Г, с ценой деления 100 мГ

Для демонстрации опыта поступают так. Сначала устанавливают вблизи конденсора проекционного аппарата динамометр с подвешенным к нему П-образным каркасом и проецируют шкалу динамометра на экран. Чтобы не учитывать в дальнейшем вес петли, нужно перед проецированием прибора отвернуть слегка винт а и, переместив пружину, установить указатель против нуля шкалы

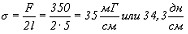
Затем подставляют под петлю кристаллизатор с мыльным раствором так, чтобы верхняя сторона петли была погружена в раствор. При опускании кристаллизатора петля затянется сплошной мыльной плёнкой. На пружину будет действовать направленная вниз сила поверхностного натяжения, которую легко определить по показаниям динамометра, заметным для всего класса. А зная силу, например 350 мГ, и длину проволочной перекладины (5 см) легко найти коэффициент поверхностного натяжения:

. (1)

Полученная таким образом величина, довольно хорошо соответствует истинному значению коэффициента поверхностного натяжения, на что и следует обратить внимание учащихся

Перед проецированием динамометра полезно нарисовать схему опыта на классной доске и показать сначала без проекции образование плёнки на П-образной рамке

Для изготовления чувствительного динамометра, применённого в описанном опыте, очень важно выбрать достаточно тонкую и упругую проволоку. Наиболее подходящей оказалась проволока от спирали малой лабораторной электроплитки. Эту проволоку в количестве 16 витков тщательно навивают на круглый стержень (карандаш) диаметром 8 мм, зажатый предварительно в тиски. Затем пружину снимают со стрежня и придают ей форму и размеры

Далее вставляют пружину через тонкую металлическую трубку в отверстие стержня с зажимным винтом. Трубка, имеющая узкую прорезь на боковой поверхности для указателя, должна быть заранее припаяна к стержню. За указателем, припаянным к пружине, укреплена тонкая пластинка из органического стекла, на которой наносятся штрихи с помощью острой иглы. Чтобы увеличить видимость, в углубление штрихов полезно втереть графит от обычного карандаша или чёрную тушь

Градуировка шкалы производится с помощью разновеса: 1 Г, 500 мГ, 200 мГ, 200 мГ и 100 мГ. Таким образом, вся шкала, рассчитанная на 1 Г, имеет 10 делений с ценой каждого деления 100 мГ

Определение коэффициента поверхностного натяжения жидкости методом капель

Оборудование. 1) Линейка измерительная. 2) Весы. 3) Разновес. 4) Штатив с муфтами и лапкой. 5) Колба коническая. 6) Стакан химический 50 см 3 . 7) Воронка. 8) Кран стеклянный с наконечником (4)

Установка, изображённая на рисунке, служит для определения постоянной поверхностного натяжения жидкости методом капель. В качестве исследуемой жидкости удобнее всего взять дистиллированную воду. Работа проводится в такой последовательности:

1) При помощи масштабной линейки измеряют диаметр канала стеклянной трубки, причём на глаз отсчитывают десятые доли миллиметра. В таком случае погрешность измерения не будет превышать 0,2 мм

2) Взвешивают химический стаканчик для собирания капель с точностью до сотых долей грамма

3) Закрывают кран и наливают воду. Подставляют под трубку колбу и, приоткрывая кран, добиваются, чтобы капли падали достаточно медленно 1 . Тогда можно считать, что отрывание капель происходит только под действием веса

После этого под трубку подставляют стаканчик 2 и отсчитывают в него несколько десятков капель

4) Вторично производят взвешивание стаканчика и находят массу воду

Чтобы получить постоянную поверхностного натяжения, пользуются уравнением

, (2)

где М – масса воды, n – число капель, D – диаметр канала трубки, g – ускорение силы тяжести

Приводим примерные результаты, полученные из опыта:

масса пустого стаканчика М 1 =22,62± 0,01 г,

масса стаканчика с водой М 2 =30,97± 0,01 г,

масса воды М=8,35± 0,02 г,

количество капель n=100,

диаметр отверстия трубки D=0,35± 0,02 см

Тогда

” 74 дн/см . (3)

Количество капель как результат счёта есть точное число. Если взять p =3,14 и g=981 см/сек 2 , то относительные погрешности этих величин так же, как и для массы капли, будут слишком малы по сравнению с относительной погрешностью измерения диаметра канала трубки, чтобы заметным образом повлиять на величину относительной погрешности результата. Поэтому можно принять

; (4)

следовательно,

, или приблизительно 6%

Таким образом,

D s =74Ч 0,06” 4,4 дн/см и

s =74± 4 дн/см

 

Определение поверхностного натяжения при помощи рычага

Для производства работы по этому способу нам понадобится:

1) рычаг, весьма лёгкий и подвижный; 2) гирька в 1 г или заменяющий её грузик, сделанный из жести или проволоки такого же веса; 3) скобочка; 4) стакан; 5) штатив для подвеса рычага (5)

Скобочку мы делаем из звонковой проволоки так, чтобы воздушное расстояние между точками А и F или, что то же самое, между точка В и Е было равно 5 см, а величины АВ и ЕF были около 55 мм. к петле D мы привяжем нитяную петлю, которую будем надевать на рычаг

Работу производим следующим образом. Уравновешиваем на рычаге скобочку и гирьку в 1г, привязанную тоже на нити, и отмечаем в тетради соответствующие плечи с и а. Затем погружаем скобочку в стакан с водой, причём подвешиваем рычаг так, чтобы в равновесии он вытягивал скобочку на высоту 3-4 мм из воды и образовал бы водяную плёнку. В этом случае при том же самом плече с для равновесия рычага понадобится большая сила, т.е. придётся переместить гирьку в 1 г далее на новое плечо b

Допустим, что все скобочки равен Р и поверхностное натяжение жидкости s . Будем помнить, что за линию ВСЕ будут тянуть вниз две жидкие плёнки, следовательно, их сила будет равна 2Ч 5s =10s . Таким образом, мы можем написать два равенства моментов, полагая 1 г=1000 мг

Равновесие на воздухе Р c =1000а (5)

с плёнкой (Р+10s )=1000b. (6)

Вычитая (2) из (1), мы получим:

10s с=(b-a)1000,

откуда

(в мг/см ). (7)

Следует заметить, что употребление кольца вместо скобочки не улучшит, ухудшит точность вычислений, так как при вытягивании кольца из жидкости образуется не цилиндр, что было бы удобно для расчёта, а некоторая конусообразная поверхность. Последнее происходит по той причине, что поверхность плёнки имеет стремление сократиться. Скобка, побывавшая в одной жидкости, должна быть хорошо отмыта для употребления в другой, иначе она, растворив своё содержимое, исказит значение s у другой жидкости

Несомненно, что вычисление можно проделать и с другими плечами a, b и с

 

Определение поверхностного натяжения при помощи динамометра

Данную работу можно провести с динамометром типа весов Жоли или подобным им по чувствительности

Такой динамометр можно изготовить самим

На доске размерами 5 см ґ 10 см укрепляем пружинку из жёсткой проволоки диаметром 0,4 мм, с числом витков около 10. К петле свободного усика пружинки привязываем нить с лёгким крюком. Около того места, где находится конец усика, врезаем узенькую зеркальную полоску 1 см ширины. Такой динамометр даёт величину шкалы около 1200 или 1300 мГ с достаточно одинаковыми делениями по 50 Мг

Работа проводится по тому же методу, что и с весами Жоли

Наш динамометр мы зажимаем в лапку штатива, вешаем на него скобочку и отмечаем её вес Р 1 . Затем подносим стакан с жидкостью так, чтобы скобочка погрузилась, и начинаем отпускать его до момента образования плёнки. Отмечая новую тягу Р 2 , мы найдём для поверхностного натяжения s значение:

. (8)

 

§3. Определение коэффициента поверхностного натяжения методом компенсации давления Лапласа

Молекулы жидкости взаимодействуют между собой силами притяжения и отталкивания, которые проявляются заметно в пределах расстояния r, называемого радиусом молекулярного действия (порядка нескольких диаметров молекулы). Сфера радиуса r называется сферой молекулярного действия. Если молекула находится в поверхностном слое, то есть удалена от поверхности менее чем на r, то равнодействующая сил притяжения со стороны окружающих молекул направлена внутрь жидкости. Поэтому для перехода молекулы из внутренней части жидкости на её поверхность требуется совершить работу, в результате свободная энергия поверхности возрастает. Свободную поверхностную энергию, приходящуюся на единицу поверхности жидкости, называют коэффициентом поверхностного натяжения:

, (1)

где А – работа, которую нужно совершить, чтобы площадь поверхности увеличить на S. В системе СИ коэффициент поверхностного натяжения s измеряется в Дж/м 2

В положении равновесия свободная энергия системы минимальна, поэтому жидкость, предоставленная самой себе, стремится сократить свою поверхность. Мысленно ограничим какой-либо участок поверхностного слоя замкнутым контуром. В нём действуют силы, называемые силами поверхностного натяжения, направленные по касательной к поверхности перпендикулярно к участку контура, на который они действуют. Коэффициент поверхностного натяжения s можно определить и как силу, приходящуюся на единицу длины контура, ограничивающего поверхность:

. (2)

Единица его измерения в системе СИ: 1 Н/м=1 Дж/м 2

Коэффициент поверхностного натяжения зависит от химического состава жидкости, среды, с которой она граничит, температуры. С ростом температуры s уменьшается и при критической температуре обращается в нуль

В зависимости от силы взаимодействия молекул жидкости с частицами твёрдого тела, соприкасающегося с ней, возможно смачивание ил несмачивание жидкостью твёрдого тела. В обоих случаях поверхность жидкости вблизи границы с твёрдым телом искривляется. Такого рода кривую поверхность называют мениском

Для характеристики мениска вводят краевой угол j между поверхностью стенки и мениском с вершиной в точке их пересечения. Если j < 90 0 , то говорят, что жидкость смачивает стенку, если j > 90 0 – не смачивает. Появление мениска вызвано тем, что молекулы жидкости, находящиеся вблизи стенки, взаимодействуют с частицами твёрдого тела

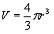
Искривлённая поверхность оказывают на жидкость дополнительное (лапласово) давление, действующее в направлении на центр кривизны поверхности. Рассмотрим сферическую каплю жидкости радиуса r. Её поверхность, стремясь сократиться оказывает на жидкость добавочное давление р л . при уменьшении площади поверхности капли на dS поверхностные силы совершают изометрическую работу d А, равную убыли свободной энергии поверхности: d А=s dS. С другой стороны, d А=р л dV, где dV – изменение объёма капли. Учитывая (dV=4p r 2 dr) и S=4p r 2 (dS=8p rdr), получаем 8p rs dr=4p r 2 p л dr, следовательно:

. (3)

Капиллярами называют трубки, радиус кривизны мениска жидкости в которых сравним с радиусом трубки. В них лапласово давление вызывает поднятие смачивающих и опускание несмачивающих жидкостей. Уровень жидкости в капилляре изменяется на такую величину h, чтобы гидростатическое давление p=r gh уравновесило лапласово давление . Поверхность мениска в капилляре можно считать частью сферы, поэтому радиус кривизны мениска r=r 0 /cosj , где r 0 – радиус трубки. Получим, что высота поднятия жидкости в капилляре:

. (4)

Измерив высоту h, радиуса капилляра r 0” r и зная плотность r , можно определить коэффициент поверхностного натяжения s . Однако точное измерение высоты h затруднено. В данной работе необходимо увеличить давление воздуха в капилляре до тех пор, пока уровни жидкости в капилляре и в сосуде не сравняются. Это произойдёт, когда давление воздуха над жидкостью сравняется с лапласовым. Измерив это давление, можно по формуле (3) вычислить коэффициент s жидкости

ЭКСПЕРИМЕНТАЛЬНАЯ УСТАНОВКА

Оборудование: капилляр, пробирка, сильфон, манометр, микроскоп, панель с капилляром, резиновая груша, поролоновые подставки, исследуемые жидкости: вода, раствор поваренной соли, спирт

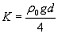
Основной элемент экспериментальной установки – капилляр 2, опущенный одним концом в пробирку 1 с исследуемой жидкостью, которая его смачивает. Поворачивая трёхходовой кран 3, можно позволить воздуху в капилляре сообщаться либо с атмосферой, либо с сильфоном 4 и открытым водяным манометром 5. Когда давление воздуха в капилляре равно атмосферному, исследуемая жидкость в нём поднимается на некоторую высоту h над поверхностью в пробирке, образуя вогнутый мениск. Создавая при помощи сильфона 4 над мениском избыточное по сравнению с атмосферным давление, измеряемое манометром 5, можно добиться того, что уровни жидкости в капилляре 2 и пробирке 1 сравняются. Тогда лапласово давление и давление воздуха над мениском р=r 0 gH равны, то есть

, (5)

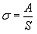
где d – диаметр капилляра, H – разность уровней в коленах манометра, r 0 – плотность манометрической жидкости. Величина является постоянной для данной установки, поэтому, вычислив её, можно найти s по формуле

s =KЧ H. (6)

ПРОВЕДЕНИЕ ЭКСПЕРИМЕНТА

  1. Измерительным микроскопом определите внутренний диаметр капилляра восемь раз, поворачивая окуляр микроскопа со шкалой.
  2. Вычислите постоянную К и её абсолютную погрешность.
  3. Возьмите из пробирки с водой капилляр и при помощи резиновой груши смочите его изнутри примерно до половины, втянув воду из пробирки.
  4. Вставьте верхний конец капилляра в резиновую трубку, а другой опустите в пробирку 1.
  5. Поверните кран 3 так, чтобы капилляр сообщался с атмосферой.
  6. Соедините краном 3 капилляр с манометром и с помощью сильфона выровняйте уровни жидкости в пробирке и в капилляре. Отсчитайте разность уровней жидкости в коленах манометра H.
  7. Повторите измерения 10 раз.
  8. Вычислите по формуле (6) коэффициент s , найдите его абсолютную и относительную погрешности.
  9. Повторите действия, описанные в пунктах 3-8, для спирта и раствора поваренной соли. Сравните найденные значения коэффициентов поверхностного натяжения с табличными.
  10. Напишите заключение.

 

  Глава II. Обработка экспериментальных данных

§1. Экспериментальные результаты

После проведения эксперимента получил следующие результаты

Для начала необходимо было измерить диаметр капилляра, который использовался в эксперименте. Для этого использовали измерительный микроскоп. Измерения производились 8 раз, что обеспечивает точность (17)

№ опыта

1

2

3

4

5

6

7

8

среднее

d, мм

1

1,1

1,1

1

1

1,1

1,1

1,1

1,1

В результате получилось, что диаметр капилляра равен:

d=1,1Ч 10 -3 м

Плотность манометрической жидкости мы взяли из табличных данных для воды при температуре 20 0 С. Она оказалась равной:

r 0 =998,23 кг/м 3

Ускорение свободного падения: g=9,81 м/с 2

Таким образом, мы получили необходимые данные для расчёта коэффициента К для данного прибора. Он оказался равным:

, (1)

Н/м 2

Теперь определим абсолютную погрешность измерений диаметра капилляра. Причём, этот результат необходимо найти в виде среднего значения, так как были произведены многократные измерения

1

2

3

4

5

6

7

8

среднее

d, мм

1

1,1

1,1

1

1

1,1

1,1

1,1

1,1

D d, мм

0,1

0

0

0,1

0,1

0

0

0

0,0429

Отсюда мы видим, что абсолютная погрешность измерений диаметра капилляра равна:

D d=4,29Ч 10 -5 м

Далее проводим сам эксперимент. Измерения производим 10 раз

№ опыта

H, м

s , Н/м

D s , Н/м

1

0,027

0,07271

0

2

0,029

0,078096

0,00539

3

0,025

0,067324

0,005386

4

0,027

0,07271

0

5

0,028

0,075403

0,00269

6

0,027

0,07271

0

7

0,027

0,07271

0

8

0,026

0,070017

0,002693

9

0,027

0,07271

0

10

0,027

0,07271

0

 

среднее

0,07271

1,616Ч 10 -4

Таким образом мы получили абсолютную погрешность измерений:

D s =2,78Ч 10 -18 Н/м

Теперь определим относительную погрешность (18)

, (2)

s =72,71Ч 10 -3 Н/м

Как видно из результата погрешность мала. Использование таких точных приборов как измерительный микроскоп привели нас к достаточно большой точности (19)

§2. Методическая разработка лабораторной работы “Измерение коэффициента поверхностного натяжения воды”

ЭКСПЕРИМЕНТАЛЬНАЯ УСТАНОВКА

Цель: определение коэффициента поверхностного натяжения воды методом компенсации давления Лапласа

Оборудование: капилляр, пробирка, сильфон, манометр, микроскоп, панель с капилляром, резиновая груша, поролоновые подставки, исследуемые жидкости: вода, раствор поваренной соли, спирт

Основной элемент экспериментальной установки – капилляр 2, опущенный одним концом в пробирку 1 с исследуемой жидкостью, которая его смачивает. Поворачивая трёхходовой кран 3, можно позволить воздуху в капилляре сообщаться либо с атмосферой, либо с сильфоном 4 и открытым водяным манометром 5. Когда давление воздуха в капилляре равно атмосферному, исследуемая жидкость в нём поднимается на некоторую высоту h над поверхностью в пробирке, образуя вогнутый мениск. Создавая при помощи сильфона 4 над мениском избыточное по сравнению с атмосферным давление, измеряемое манометром 5, можно добиться того, что уровни жидкости в капилляре 2 и пробирке 1 сравняются. Тогда лапласово давление и давление воздуха над мениском р=r 0 gH равны, то есть

, (1)

где d – диаметр капилляра, H – разность уровней в коленах манометра, r 0 – плотность манометрической жидкости. Величина является постоянной для данной установки, поэтому, вычислив её, можно найти s по формуле

s =KЧ H. (2)

 

  КРАТКАЯ ТЕОРИЯ

Молекулы жидкости взаимодействуют между собой силами притяжения и отталкивания, которые проявляются заметно в пределах расстояния r, называемого радиусом молекулярного действия (порядка нескольких диаметров молекулы). Сфера радиуса r называется сферой молекулярного действия. Если молекула находится в поверхностном слое, то есть удалена от поверхности менее чем на r, то равнодействующая сил притяжения со стороны окружающих молекул направлена внутрь жидкости. Поэтому для перехода молекулы из внутренней части жидкости на её поверхность требуется совершить работу, в результате свободная энергия поверхности возрастает. Свободную поверхностную энергию, приходящуюся на единицу поверхности жидкости, называют коэффициентом поверхностного натяжения:

, (3)

где А – работа, которую нужно совершить, чтобы площадь поверхности увеличить на S. В системе СИ коэффициент поверхностного натяжения s измеряется в Дж/м 2

В положении равновесия свободная энергия системы минимальна, поэтому жидкость, предоставленная самой себе, стремится сократить свою поверхность. Мысленно ограничим какой-либо участок поверхностного слоя замкнутым контуром. В нём действуют силы, называемые силами поверхностного натяжения, направленные по касательной к поверхности перпендикулярно к участку контура, на который они действуют. Коэффициент поверхностного натяжения s можно определить и как силу, приходящуюся на единицу длины контура, ограничивающего поверхность:

. (4)

Единица его измерения в системе СИ: 1 Н/м=1 Дж/м 2

Коэффициент поверхностного натяжения зависит от химического состава жидкости, среды, с которой она граничит, температуры. С ростом температуры s уменьшается и при критической температуре обращается в нуль

В зависимости от силы взаимодействия молекул жидкости с частицами твёрдого тела, соприкасающегося с ней, возможно смачивание ил несмачивание жидкостью твёрдого тела. В обоих случаях поверхность жидкости вблизи границы с твёрдым телом искривляется. Такого рода кривую поверхность называют мениском

Для характеристики мениска вводят краевой угол j между поверхностью стенки и мениском с вершиной в точке их пересечения. Если j < 90 0 , то говорят, что жидкость смачивает стенку, если j > 90 0 – не смачивает. Появление мениска вызвано тем, что молекулы жидкости, находящиеся вблизи стенки, взаимодействуют с частицами твёрдого тела

Искривлённая поверхность оказывают на жидкость дополнительное (лапласово) давление, действующее в направлении на центр кривизны поверхности. Рассмотрим сферическую каплю жидкости радиуса r. Её поверхность, стремясь сократиться оказывает на жидкость добавочное давление р л . при уменьшении площади поверхности капли на dS поверхностные силы совершают изометрическую работу d А, равную убыли свободной энергии поверхности: d А=s dS. С другой стороны, d А=р л dV, где dV – изменение объёма капли. Учитывая (dV=4p r 2 dr) и S=4p r 2 (dS=8p rdr), получаем 8p rs dr=4p r 2 p л dr, следовательно:

. (5)

Капиллярами называют трубки, радиус кривизны мениска жидкости в которых сравним с радиусом трубки. В них лапласово давление вызывает поднятие смачивающих и опускание несмачивающих жидкостей. Уровень жидкости в капилляре изменяется на такую величину h, чтобы гидростатическое давление p=r gh уравновесило лапласово давление . Поверхность мениска в капилляре можно считать частью сферы, поэтому радиус кривизны мениска r=r 0 /cosj , где r 0 – радиус трубки. Получим, что высота поднятия жидкости в капилляре:

. (6)

Измерив высоту h, радиуса капилляра r 0” r и зная плотность r , можно определить коэффициент поверхностного натяжения s . Однако точное измерение высоты h затруднено. В данной работе необходимо увеличить давление воздуха в капилляре до тех пор, пока уровни жидкости в капилляре и в сосуде не сравняются. Это произойдёт, когда давление воздуха над жидкостью сравняется с лапласовым. Измерив это давление, можно по формуле (3) вычислить коэффициент s жидкости

 

    ПРОВЕДЕНИЕ ЭКСПЕРИМЕНТА

  1. Измерительным микроскопом определите внутренний диаметр капилляра восемь раз, поворачивая окуляр микроскопа со шкалой. Результаты измерений занесите в таблицу.
  2. Вычислите постоянную К и её абсолютную погрешность.
  3. Возьмите из пробирки с водой капилляр и при помощи резиновой груши смочите его изнутри примерно до половины, втянув воду из пробирки.
  4. Вставьте верхний конец капилляра в резиновую трубку, а другой опустите в пробирку 1.
  5. Поверните кран 3 так, чтобы капилляр сообщался с атмосферой.
  6. Соедините краном 3 капилляр с манометром и с помощью сильфона выровняйте уровни жидкости в пробирке и в капилляре. Отсчитайте разность уровней жидкости в коленах манометра H.
  7. Повторите измерения 10 раз.

№ опыта

H, м

s , Н/м

D s , Н/м

1

 

 

 

2

 

 

 

3

 

 

 

4

 

 

 

5

 

 

 

6

 

 

 

7

 

 

 

8

 

 

 

9

 

 

 

10

 

 

 

 

среднее

 

 

 

  1. Вычислите по формуле (6) коэффициент s , найдите его абсолютную и относительную погрешности
  2. Сравните найденное значение коэффициента поверхностного натяжения с табличными.
  3. Напишите заключение.

r 0 =998,23 кг/м 3 (при t=20 0 C),

g=9,81 м/с 2

 

Заключение

Широкое применение в нашей средней школе фронтальных лабораторных работ по физике в настоящее время является необходимостью. Оно должно привести, согласно современным методическим взглядам, проверенным практикой, к значительному и резкому повышению качества обучения физике; оно будет служить серьёзной опорой для борьбы не на словах, а на деле с “меловым” методом преподавания физики, насаждающим формализм в знаниях учащихся, т.е. отсутствия глубокого понимания самой сущности многих физических явлений. На фронтальных занятиях учащимся прививают правильные начальные практические навыки, которые в дальнейшем могут нормально развиваться и совершенствоваться

В результате проведённого эксперимента были получены результаты коэффициента поверхностного натяжения, которые сравнимы с табличными данными

Существующие экспериментальные методы определения коэффициента поверхностного натяжения для обычных школ недостаточны для школ с углублённым изучением физики. Вышеприведенная разработка лабораторной работы поможет учителям в школах с углублённых изучением предмета. Учащиеся таких образовательных учреждений смогут более углублённо ознакомиться с явлением поверхностного натяжения жидкостей

 

Литература

  1. Ковалёв П.Г. Молекулярная физика, электродинамика. – Ростов: Университетское, 1975.
  2. Ахматов А.С. Молекулярная физика. – М., 1963.
  3. Покровский А.А., Зворыкин Б.С. и др. Демонстрационные опыты по молекулярной физике и теплоте. – М., 1960.
  4. Покровский А.А., Зворыкин Б.С. Фронтальные лабораторные занятия по физике в средней школе. – М., 1956.
  5. Бакушинский В.Н. Организация лабораторных работ по физике в средней школе. – М., 1946.
  6. Лабораторный практикум по физике / Под ред. Ахматова А.С. – М.: Высшая школа, 1980.
  7. Агапов Б.Т., Максютин Г.В., Островерхов П.И. Лабораторный практикум по физике. – М.: Высшая школа, 1982.
  8. Евграфова Н.Н., Каган В.Л. Руководство к лабораторным работам по физике. – М.: Высшая школа, 1970.
  9. Лабораторные занятия по физике / Под ред. Гольдина Л.Л. – М.: Наука, 1983.
  10. Беклемишев А.В. Методика и организация лабораторных занятий по физике в высшей школе. – М.: Советская наука, 1952.
  11. Фетисов В.А. Лабораторные работы по физике. – М., 1961.
  12. Павлов В.И. Механика, молекулярная физика. М., 1955.
  13. Подгорнова И.И. Молекулярная физика в средней школе. М.: Просвещение, 1970.
  14. Яковлев В.Ф. Курс физики. Теплота и молекулярная физика. – М.: Просвещение, 1976.
  15. Стрючков И.А., Краев П.И. Руководство к лабораторным работам по молекулярной физике. – Ашхабад, 1981.
  16. Павленко Ю.Г. Молекулярная физика. – М., 1992.
  17. Зайдель А.Н. Ошибки измерений физических величин. – Л.: Наука, 1974.
  18. Деденко Л.Г., Керженцев В.В. Математическая обработка и оформление результатов эксперимента. – М., 1977.
  19. Новицкий П.В., Зограф И.А. Оценка погрешностей результатов измерений. – Л., 1985.


Подобные работы:

Актуально: