Уравнение Лапласа, решение задачи Дирихле в круге методом Фурье
Пьер-Симо́н Лаплас ( 23 марта 1749 — 5 марта 1827) — выдающийся французский математик, физик и астроном; известен работами в области небесной механики, дифференциальных уравнений, один из создателей теории вероятностей. Заслуги Лапласа в области чистой и прикладной математики и особенно в астрономии громадны: он усовершенствовал почти все отделы этих наук. Был членом Французского Географического общества.
При решении прикладных задач Лаплас разработал методы математической физики, широко используемые и в наше время. Особенно важные результаты относятся к теории потенциала и специальным функциям. Его именем названо преобразование Лапласа и уравнение Лапласа. Он далеко продвинул линейную алгебру; в частности, Лаплас дал разложение определителя по минорам.
Лаплас расширил и систематизировал математический фундамент теории вероятностей, ввёл производящие функции. Первая книга «Аналитической теории вероятностей» посвящена математическим основам; собственно теория вероятностей начинается во второй книге, в применении к дискретным случайным величинам. Там же — доказательство предельных теорем Муавра—Лапласа и приложения к математической обработке наблюдений, статистике народонаселения и «нравственным наукам».
Лаплас развил также теорию ошибок и приближений методом наименьших квадратов.
1.Оператор Лапласа
Оператор Лапласа - дифференциальный оператор, действующий в линейном пространстве гладких функций и обозначаемый символом
. Функции F он ставит в соответствие функцию

Оператор Лапласа эквивалентен последовательному взятию операций градиента и дивергенции.
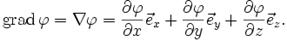
Градиент— вектор, показывающий направление наискорейшего возрастания некоторой величины , значение которой меняется от одной точки пространства к другой (скалярного поля). Например, если взять в качестве высоту поверхности Земли над уровнем моря, то её градиент в каждой точке поверхности будет показывать «направление самого крутого подъёма». Величина (модуль) вектора градиента равна скорости роста в этом направлении. Для случая трёхмерного пространства, градиентом называется векторная функция с компонентами
, где
- некоторая скалярная функция координат x,y,z.
Если
- функция n переменных
то ее градиентом называется n-мерный вектор

Компоненты которого равны частным производным
по всем ее аргументам. Градиент обозначается grad
, или с использованием оператора набла, ![]()
Из определения градиента следует, что:
![]()
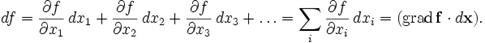
Смысл градиента любой скалярной функции f в том, что его скалярное произведение с бесконечно малым вектором перемещения
дает полный дифференциал этой функции при соответствующем изменении координат в пространстве, на котором определена f, то есть линейную (в случае общего положения она же главная) часть изменения f при смещении на
. Применяя одну и ту же букву для обозначения функции от вектора и соответствующей функции от его координат, можно написать:
![]()
Стоит здесь заметить, что поскольку формула полного дифференциала не зависит от вида координат x i, то есть от природы параметров x вообще, то полученный дифференциал является инвариантом, то есть скаляром, при любых преобразованиях координат, а поскольку dx — это вектор, то градиент, вычисленный обычным образом, оказывается ковариантным вектором, то есть вектором, представленным в дуальном базисе, какой только и может дать скаляр при простом суммировании произведений координат обычного (контравариантного), то есть вектором, записанным в обычном базисе.
Таким образом, выражение (вообще говоря — для произвольных криволинейных координат) может быть вполне правильно и инвариантно записано как:
![]()
Или опуская по правилу Эйнштейна знак суммы,
![]()
Дивергенция — дифференциальный оператор, отображающий векторное поле на скалярное (то есть операция дифференцирования, в результате применения которой к векторному полю получается скалярное поле), который определяет (для каждой точки), «насколько расходится входящее и исходящее из малой окрестности данной точки поле» (точнее — насколько расходятся входящий и исходящий поток).
Если учесть, что потоку можно приписать алгебраический знак, то нет необходимости учитывать входящий и исходящий потоки по отдельности, всё будет автоматически учтено при суммировании с учетом знака. Поэтому можно дать более короткое определение дивергенции:
дивергенция — это дифференциальный оператор на векторном поле, характеризующий поток данного поля через поверхность малой окрестности каждой внутренней точки области определения поля.
Оператор дивергенции, применённый к полю F , обозначают как
![]()
или
![]()
Определение дивергенции выглядит так:
![]()
где ФF — поток векторного поля F через сферическую поверхность площадью S, ограничивающую объём V. Ещё более общим, а потому удобным в применении, является определение, когда форма области с поверхностью S и объёмом V допускается любой. Единственным требованием является её нахождение внутри сферы радиусом, стремящимся к нулю. Это определение, в отличие от приводимого ниже, не привязано к определённым координатам, например, к декартовым, что может представлять дополнительное удобство в определённых случаях. (Например, если выбирать окрестность в форме куба или параллелепипеда, легко получаются формулы для декартовых координат, приведённые в следующем параграфе).
![]()
таким образом значение оператора Лапласа в точке может быть истолковано как плотность источников (стоков) потенциального векторного поля gradF в этой точке. В декартовой системе координат оператор Лапласа часто обозначается следующим образом
то есть в виде скалярного произведения оператора набла на себя.
2.Уравнение Лапласа в двумерном пространстве
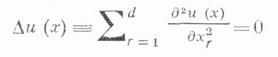
При исследовании стационарных процессов различной физической природы (колебания, теплопроводность, диффузия и др.) обычно приходят к уравнениям эллиптического типа. Наиболее распространенным уравнением этого типа является Уравнение Лапласа ![]()
где ![]()
где u(х, у, z) — функция независимых переменных х, у, z. Названо по имени французского учёного П. Лапласа, применившего его в работах по тяготению (1782). К уравнению Лапласа приводят многие задачи физики и механики, в которых физическая величина является функцией только координат точки. Так, уравнение Лапласа описывает потенциал сил тяготения в области, не содержащей тяготеющих масс, потенциал электростатического поля — в области, не содержащей зарядов, температуру при стационарных процессах и т. д. Функции, являющиеся решениями уравнения Лапласа, называются гармоническими. Уравнение Лапласа— частный случай Пуассона уравнения. Оператор называется оператором Лапласа.
Функция U называется гармонической в области T, если она непрерывна в этой области вместе со своими производными до 2-го порядка и удовлетворяет уравнению Лапласа.
При изучении свойств гармонических функций были разработаны различные математические методы, оказавшиеся плодотворными и в применении к уравнениям гиперболического (например, уравнение колебаний струны) и параболического типов (например, уравнение теплопроводности). Мы будем искать решение краевых задач для простейших областей методом разделения переменных. Решение краевых задач для уравнения Лапласа может быть найдено методом разделения переменных в случае некоторых простейших областей (круг, прямоугольник, шар, цилиндр и др.). Рассмотрим некоторые из них.
Трехмерное уравнение – Лапласа
Трехмерное уравнение Лапласа часто встречается в теории тепло - и массопереноса, гидро и аэромеханике, теории упругости, электростатике и других областях механики и физики. В теории тепло - и массопереноса оно описывает стационарное распределение температуры при отсутствии источников тепла в рассматриваемой области.
Для трехмерного уравнения Лапласа существуют также координаты, допускающие 7 -разделение переменных.
Замечательно, что и для трехмерного уравнения Лапласа может быть построен интегральный оператор с аналогичным свойством.
Координаты х, у, z, допускающие решения с - разделенными переменными. Трехмерное уравнение Пуассона, как и трехмерное уравнение Лапласа, часто встречается в теории тепло - и массопереноса, гидро - и аэромеханике, теории упругости, электростатике и других областях механики и физики. Оно описывает стационарное распределение температуры при наличии источников ( или стоков) тепла в рассматриваемой области.
Компонента / ZQO должна даваться скалярным решением трехмерного уравнения Лапласа.
Компонента / IQO должна даваться скалярным решением трехмерного уравнения Лапласа.
Показать, что если ф ( г) - решение трехмерного уравнения Лапласа, то и ф ( г) Ц - 1 - также решение.
Задача в этом случае может быть решена классическим методом построения функций Грина для трехмерного уравнения Лапласа, но вследствие малости поперечных размеров капиллярной трубки по сравнению с длиной и высокой проводимости металла можно считать окружность поперечного сечения трубки эквипотенциальной с достаточной точностью в пределах разрешающей способности приборов. Поэтому целесообразно сразу принять допущение о цилиндрической симметрии объекта и решать задачу более просто с построением соответствующего интегро-дифференциального уравнения.
Задача в этом случае может быть решена классическим методом построения функций Грина для трехмерного уравнения Лапласа, но вследствие малости поперечных размеров капиллярной трубки по сравнению с длиной и высокой проводимости металла можно считать окружность поперечного сечения трубки эквипотенциальной с достаточной точностью в пределах разрешающей способности приборов. Поэтому целесообразно сразу принять допущение о цилиндрической симметрии объекта и решить задачу более просто с построением соответствующего интегро-дифференциального уравнения.
Сеточные модели используются для решения краевых задач, описываемых двух - или даже трехмерными уравнениями Лапласа, Гельмгольца или Фурье.
После растяжки вертикальной координаты в раз поставленная задача в общем случае сводится к решению трехмерного уравнения Лапласа для потенциала скорости ф и не имеет аналитического решения. Чтобы получить приближенную формулу для дебита горизонтальной скважины, в работе используется известный в подземной гидромеханике прием: трехмерная задача фильтрации заменяется двумя плоскими задачами.
Множество инженерных задач, связанных, в частности, с медленным стационарным обтеканием корпуса корабля, стационарной фильтрацией подземных вод, возникновением поля вокруг электромагнита, а также стационарного электрического поля в окрестности фарфорового изолятора или заглубленного в землю электрического кабеля переменного поперечного сечения, сводится к решению трехмерных уравнений Лапласа или Пуассона.
Такие функции называются гармоническими; из них нужно выбрать те, которые удовлетворяют граничным условиям задачи. Поэтому целесообразно создать возможно больший запас гармонических функций, различные сочетания которых, а часто и каждая в отдельности, могут соответствовать задачам, имеющим важное практическое значение. Наиболее простые частные решения уравнения Лапласа можно получить, предположив, что потенциал Ф зависит только от одной координаты. Такое предположение означает, что трехмерное уравнение Лапласа в частных производных распадается в некоторых системах координат на три одномерных дифференциальных уравнения, каждое из которых равно нулю. При этом можно руководствоваться первым следствием из теоремы единственности: электростатическое поле между двумя равнопотенциальными поверхностями и гармоническая функция, описывающая это поле, не изменяется, если эти поверхности сделать границами проводников, которым сообщены соответствующие потенциалы.
В заключение заметим, что развитая методика построения равномерно пригодного решения для задачи входа тонкого пространственного тела в жидкость ( разд. В частности, при наличии излома передней кромки методика непригодна. Так, на дозвуковом режиме входа пространственного тела в жидкость характеристики линейного ( внешнего) решения задачи имеют логарифмическую особенность в носике тела при стремлении к нему точки поля возмущенного течения по любому направлению. Поэтому внутренние переменные в этом случае необходимо вводить по всем трем декартовым координатам x y z, что приведет к внутренней задаче для трехмерного уравнения Лапласа с соответствующими краевыми условиями на поверхности пространственного тела в окрестности носика.
Однако остаются иные задачи, имеющие также весьма серьезное значение, которые отличаются вполне определенным пространственным характером. Так, если скважина, вскрывшая продуктивный песчаник, полностью не проходит сквозь него, то течение в той части песчаника, которая не вскрыта забоем скважины, будет иметь компонент скорости, направленный вверх и влекущий жидкость в скважину. По отношению к общим методам решения пространственных задач следует заметить, что все те методы, которые были рассмотрены нами в приложении к плоским системам, за исключением только одного из них, имеют свои аналоги в том случае, когда в систему включается третья координата. Только метод сопряженных функций не имеет своего аналога для случая трехмерного уравнения Лапласа. Все же для решения практических задач мы находим, что имеющиеся в нашем распоряжении методы вполне достаточны для получения искомых результатов. Численные методы решения - методы, заменяющие исходную краевую задачу дискретной задачей, содержащей конечное число N неизвестных, нахождение которых с соответствующей точностью позволяет определить решение исходной задачи с заданной точностью
; N зависит от
и стремится к
при
.
3.Уравнение Лапласа в случае пространственных переменных
имеет вид

Краевые задачи для уравнения Лапласа являются частными случаями краевых задач для уравнения Пуассона и более общих уравнений эллиптического типа , а численные методы решения краевых задач для уравнений эллиптического типа содержат в себе многие численные методы для уравнения Лапласа. Специфика уравнения Лапласа позволяет конструировать и использовать методы, обладающие существенно лучшими характеристиками, чем методы для более общих уравнений, хотя на практике часто этим возможностям предпочитают простоту реализации метода на ЭВМ.
Основными численными методами для уравнений эллиптического типа являются: вариационно-разностные методы (проекционно-разностные, методы конечных элементов) и разностные методы (методы сеток). Оба класса методов связаны с аппроксимацией исходной области
некоторой сеточной областью
содержащей N узлов сетки, и построением системы алгебраических уравнений
![]()
относительно значений функции, определяемой в этих узлах. В вариационно-разностных методах, являющихся специальными случаями вариационных и проекционных методов, используется идея аппроксимации рассматриваемого пространства функций, содержащего решение исходной задачи, некоторыми специальными конечномерными подпространствами с заданными базисными функциями, а в системе (*) вектор
состоит из коэффициентов разложения получаемой аппроксимации искомого решения по выбранному базису. В предположении, что решение исходной задачи в ограниченной области W на плоскости имеет вид
![]()
где
- пространство Соболева, а функции
заданы и отражают асимптотическое поведение и (х) вблизи особых точек (угловых точек границы, точек перемены типа граничного условия), для многих типов областей
и смешанных краевых задач эти методы позволяют, например, найти решение u (х) с точностью e в
при затрате арифметических действий, а в ряде более частных случаев оценки вычислительной работы уменьшаются до
![]()
4.Решение задачи Дирихле в круге методом Фурье
Найти функцию U, удовлетворяющую уравнению:
внутри круга
И граничному условию
на границе круга,
Где
- заданная функция,
- полярный угол.
![]()
Введем полярную систему координат
с началом в центре круга.
- полярные координаты.
Уравнение (1) в полярных координатах имеет вид
![]()
Решим уравнение методом разделения переменных, то есть будем искать частное решение уравнения (1), вида
![]()
Подставляя предполагаемую форму решения в уравнение (3), получим
![]()
![]()

Отсюда получим два обыкновенных дифференциальных уравнения:

Определим знак
:
1 случай. Пусть
например ![]()
Рассмотрим уравнение (5)
![]()
Характеристическое уравнение имеет вид
![]()
![]()
Это решение не подходит, так как при изменении угла
на величину
однозначная функция
должна вернуться к исходному значению
(условие периодичности).
Отсюда следует, что
является периодической функцией угла
с периодом
.
2 случай Пусть
, тогда
![]()
- это решение подходит для уравнения (5) системы при условии, что А=0.
Рассмотрим уравнение (4) системы:

Пусть
, тогда:

Таким образом, получаем:
- решение уравнения в общем случае.
3 случай Пусть
.
Решение уравнения (5):
причем q
.
Рассмотрим уравнение (4) системы:
![]()
Функцию
будем искать в виде ![]()
Подставим
в уравнение (4):
![]()

Следовательно,
- решение уравнения, где C и D-постоянные. Для решения внутренней задачи надо положить
, так как, если
, то функция
обращается в бесконечность при
и не является гармонической функцией внутри круга. Итак, частные решения нашей задачи найдены:
,
![]()
вид общего решения.
Удовлетворим краевому условию:
![]()
Считая , что
задана как функция угла
, возьмем ее разложение в ряд Фурье
![]()
Подставляя выражения для коэффициентов Фурье в формулу (6) и меняя порядок суммирования и интегрирования, получим

Произведем следующие тождественные преобразования:


Подставляя полученный результат в равенство (8), получаем:
![]()
интегральная формула, дающая решение задачи.
![]()
Ядро Дирихле.
Заключение
Таким образом решения уравнения Лапласа очень гладкие они не имеют шишки максимумами или минимумами в R и, по сути "интерполировать" плавно между их значениями на границах Р. Докажем это важный факт, как применение теоремы о дивергенции.
Этот результат также следует, что если мы знаем, дивергенция вектора V и его ротора во всем мире, эти дифференцируемы всюду, и V обращается в нуль на бесконечности, то V определяется однозначно. Доказательство окна (если есть два решения V и V 'с тем же дивергенция и ротор, то на применении двойных поперечных личность продукт, который мы находим, что каждая компонента их разность подчиняется по уравнению Лапласа всюду. Его значение нигде, то его среднее значение по окружности на бесконечности, которая равна 0 по предположению. огромный же вывод справедлив, если V и V "должны вести себя на бесконечности таким же образом, так что V - V 'к 0 для больших аргументов.
Список использованной литературы
1.Эдвард Ч.Г., Пенни Д.Э. Дифференциальные уравнения и краевые задачи: моделирование и вычисление с помощью Mathematica, Maple и MATLAB. 3-е изд.-М.ООО "И.Д. Вильямс", 2008.-1104 с.
2. Гантмахер Ф.Р. математический анализ, 3-е изд.-М.: Наука, 1967.
3. Еругин Н.П. Линейные системы обыкновенных дифференциальных уравнений. - Минск, 1963.
4. Кручкович Г.И., Мордасов Г.М., Сулейманова Х.Р. и др. Сборник задач и упражнений по специальным главам высшей математики. Учебное пособие для втузов. М., "Высшая школа", 1970 г.