Расчет межстанционной сети связи районированной ГТС с УВС
Минобрнауки России
Федеральное агентство по образованию
Государственное образовательное учреждение высшего профессионального образования
«Ижевский государственный технический университет»
Кафедра «Сети связи и телекоммуникационные системы»
Курсовая работа
по дисциплине «Теория телетрафика»
на тему: «Расчет межстанционной сети связи районированной ГТС с УВС»
Вариант 6
Выполнил
студент группы 8-77-3: Мухачев В.В.
Принял: Абилов А.В.
Ижевск, 2011
Содержание
1. Задание и исходные данные
2. Расчет интенсивности поступающей нагрузки для каждой АТС
3. Расчет интенсивности нагрузки на выходе каждой АТС
4. Определение внутристанционной нагрузки
5. Определение интенсивности нагрузки на УСС и АМТС
6. Расчет интенсивности нагрузки, распределяемой по направлениям других АТС
7. Распределение интенсивности нагрузки на направлениях межстанционной связи различными методами
7.1 Пропорционально исходящим интенсивностям нагрузок станций
7.2 Пропорционально ёмкости станций
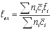
7.3 Пропорционально условным исходящим интенсивностям нагрузок станций
8. Структурные матрицы распределения нагрузок
8.1 Пропорционально исходящим нагрузкам
8.2 Пропорционально ёмкости станций
8.3 Пропорционально коэффициентам тяготения
9. Структурные матрицы расчетных нагрузок
9.1 Пропорционально исходящим нагрузкам
9.2 Пропорционально ёмкости станций
9.3 Пропорционально коэффициентам тяготения
10. Матрицы соединительных линий
10.1 Пропорционально исходящим нагрузкам
10.2 Пропорционально ёмкости станций
10.3 Пропорционально коэффициентам тяготения
11. Структурные матрицы потоков
11.1 Пропорционально исходящим нагрузкам
11.2 Пропорционально ёмкости станций
11.3 Пропорционально коэффициентам тяготения
12. Расчет числа соединительных линий и цифровых трактов между площадками
13. Проектирование ГТС с УВС с использованием программы "NET 5(6)"
13.1 Матрица нагрузок (каждая с каждой)
13.2 Структурная матрица нагрузок
13.3 Матрица соединительных линий
13.4 Структурная матрица 30-канальных трактов
Вывод
Список литературы
1. Задание и исходные данные
Задание
1. Для каждой АТС заданной сети рассчитать поступающую от абонентов телефонные нагрузки, пересчитать нагрузки на выходы каждой АТС.
2. Распределить общую выходящую нагрузку каждой АТС по следующим направлениям: на АМТС, на УСС, на внутристанционном направлении.
3. Оставшуюся нагрузку (исходящую) распределить по направлениям других АТС тремя методами: пропорционально емкости АТС, пропорционально исходящим нагрузкам АТС, пропорционально условным исходящим нагрузкам АТС (с учетом расстояний между АТС). Составить соответствующие матрицы (таблицы) нагрузок для полносвязной схемы.
4. Для каждого из трех методов распределения нагрузки составить структурные матрицы (таблицы) нагрузок согласно заданной схемы соединения АТС в сети.
Составить соответствующие матрицы (таблицы) расчетных нагрузок.
5. По табл. Эрлангов определить количество СЛ на всех направлениях межстанционной связи и составить соответствующие матрицы (таблицы) соединительных линий.
6. Составить матрицы (таблицы) первичных цифровых трактов (ПЦТ) между площадками.
7. Сравнить результаты, полученные для разных трех методов распределения нагрузки, и сделать выводы.
8. Провести все аналогичные расчеты параметров межстанционной связи с помощью программы «NET5(6)» (с использованием одного метода распределения нагрузок по направлениям других АТС – пропорционально исходящим нагрузкам).
9. Сделать вывод по курсовой работе.
Исходные данные: Параметры РАТС:
Число абонентов квартирного и учрежденческого сектора (таблица 1.1):
Таблица 1.1 Число абонентов квартирного и учрежденческого сектора
| АТС1 | АТС2 | АТС3 | АТС4 | АТС5 | АТС6 | АТС7 | АТС8 | ||||||||
| НХ | КИ | НХ | КИ | НХ | КИ | НХ | КИ | НХ | КИ | НХ | КИ | НХ | КИ | НХ | КИ |
| 3000 | 7000 | 5000 | 4000 | 6000 | 3000 | 9000 | 1000 | 3000 | 4000 | 1000 | 8000 | 1000 | 8000 | 1000 | 8000 |
| 10000 | 9000 | 9000 | 10000 | 7000 | 9000 | 9000 | 9000 | ||||||||
Из-за отсутствия результатов статистических наблюдений за параметрами нагрузки, воспользуемся средними значениями параметров нагрузки для абонентов различных категорий ГТС, представленные в табл. 1.2.
Таблица 1.2 Параметры нагрузки для числа абонентов квартирного сектора до 75%.
| Число жителей населенного пункта, тысяч человек | Квартирный сектор | Учрежденческий сектор | ||
|
|
|
| |
| Свыше 500 | 1,1 | 110 | 4,0 | 85 |
Параметры нагрузки для числа абонентов квартирного сектора свыше 75%.
Таблица 1.3
| Число жителей населенного пункта, тысяч человек | Квартирный сектор | Учрежденческий сектор | ||
|
|
|
| |
| Свыше 500 | 1,2 | 140 | 3,3 | 90 |
- средняя продолжительность разговора;
– среднее число вызовов от одного абонента.
На АТС1, АТС2, АТС3, АТС4, АТС5 доля абонентов квартирного сектора не превышает 75%, а на АТС6, АТС7 и АТС8 доля абонентов квартирного сектора превышает 75%. Все АТС – координатные.
Для АТСК принимаем следующий спектр занятий (таблица 1.4)
Таблица 1.4 Спектр занятий и средние длительности занятий.
| kзн | kр | kно | kош | kтех | tсо | tпв | tнн | tуст | tпвн | tтех | tош | tст | tо |
| 0,3 | 0,5 | 0,18 | 0,02 | 0,5 | 3с | 7с | 9с | 2,5с | 30с | 12с | 18с | 0с | 0с |
- средняя продолжительность слушания абонентом сигнала «ответ станции»;
– среднее время посылки вызова абонента;
- средне время набора номера;
- среднее время установления соединения;
- среднее время посылки вызова номера;
– средняя длительность безуспешного занятия по техническим причинам;
- среднее время отбоя.
кp – коэффициент полезного действия станции по вызовам.
кзн – коэффициент занятости линии вызываемого абонента.
кно – коэффициент неответа вызываемого абонента.
кош – коэффициент ошибки вызывающего абонента.
ктех – коэффициент технической неисправности в узлах коммутации.

2. Расчет интенсивности поступающей нагрузки для каждой АТС
Для начала дадим определение интенсивности поступающей нагрузки.
Интенсивностью поступающей нагрузки называется среднее число вызовов, поступивших на вход системы обслуживания от группы источников N за время, равное средней длительности одного занятия
:
![]()
Расчёт интенсивности нагрузки можно выполнять для источников каждой категории отдельно. Интенсивность поступающей нагрузки в целом определяется как сумма интенсивностей нагрузки каждой категории абонентов (2.1):
(2.1)
где
– число абонентов i-ой категории;
– среднее число вызовов от одного абонента i-ой категории;
– средняя длительность занятия коммутационной системы при обслуживании одного вызова от абонента i-ой категории;
Средняя длительность одного занятия на АТС может быть рассчитана по формуле (2.2):
(2.2)
где
- средняя длительность успешного занятия:
;
- средняя длительность безуспешного занятия по причине занятости линии вызываемого абонента:
;
- средняя длительность безуспешного занятия по причине неответа вызываемого абонента:
![]()
Рассчитаем значения
,
,
и среднюю длительность одного занятия для абонентов квартирного и учрежденческого секторов при использовании АТСК, используя данные табл. 1.2 спектра занятий (для АТС1, АТС2, АТС3, АТС4, АТС5) (таблица 2.1):
Таблица 2.1 Средняя длительность одного занятия для абонентов квартирного и учрежденческого секторов.
| Категория абонентов |
|
|
|
|
| Квартирный сектор | 131,5 | 14,5 | 44,5 | 78,47 |
| Учережденческий сектор | 106,5 | 14,5 | 44,5 | 65,97 |
Используя данные табл.1.3 рассчитываются значения
,
,
и средняя длительность одного занятия для абонентов квартирного и учрежденческого секторов при использовании АТСК (для АТС6, АТС7, АТС8):
Таблица 2.2
| Категория абонентов |
|
|
|
|
| Квартирный сектор | 161,5 | 14,5 | 44,5 | 93,47 |
| Учережденческий сектор | 111,5 | 14,5 | 44,5 | 68,47 |
В табл. 2.3 представлены интенсивности поступающих нагрузок для каждой АТС, рассчитанные по формуле 2.1.
Таблица 2.3 Интенсивности поступающих нагрузок для каждой АТС.
| № АТС | ATC 31/1 | ATC 32/4 | ATC 33/5 | ATC 41/2 | ATC 42/6 | ATC 51/3 | ATC 52/7 | ATC 53/8 |
| Yпост , Эрл. | 387,74 | 462,41 | 511,73 | 683,68 | 315,81 | 312,02 | 312,02 | 312,02 |
3. Расчет интенсивности нагрузки на выходе каждой АТС
Нагрузка на выходах коммутационного поля меньше нагрузки, поступающей на её входы, так как длительность занятия выхода коммутационного поля меньше длительности занятия входа на величину, включающую в себя длительность слушания сигнала ответа станции
, набора знаков номера вызываемого абонента
, установления соединения
:
(3.1)
Средняя длительность занятия входа коммутационного определяется как средневзвешенная из длительностей занятия входов источниками разных категорий:
(3.2)
Интенсивность нагрузки (ИН) на выходе коммутационного поля РАТС распределяется по следующим направлениям связи:
внутристанционная связь;
к УСС;
к АМТС;
исходящие связи к остальным АТС.
Интенсивность нагрузки на выходах коммутационного поля рассчитывается по формуле (3.3):
(3.3)
Общая исходящая интенсивность нагрузки сети:
(3.4)
Результаты, полученные из формул (3.1), (3.2), (3.3), (3.4) сведём в таблице 3:
Таблица 3 Интенсивность нагрузки на выходе каждой АТС.
| № АТС | ATC 31/1 | ATC 32/4 | ATC 33/5 | ATC 41/2 | ATC 42/6 | ATC 51/3 | ATC 52/7 | ATC 53/8 |
| Yвх , Эрл. | 387,74 | 462,41 | 511,73 | 683,68 | 315,81 | 312,02 | 312,02 | 312,02 |
| 70,85 | 68,22 | 67,48 | 66,34 | 69,32 | 75,48 | 75,48 | 75,48 |
| 56,35 | 53,72 | 52,98 | 51,84 | 54,82 | 60,98 | 60,98 | 60,98 |
| Yвых , Эрл. | 308,38 | 364,13 | 401,77 | 534,25 | 249,75 | 252,08 | 252,08 | 252,08 |
| Yвых. сети , Эрл. | 2614,52 | |||||||
4. Определение внутристанционной нагрузки
Для определения внутристанционной нагрузки сначала рассчитывается общая исходящая интенсивность нагрузки сети (см. табл. 4.1):
, где
- номер АТС.
Затем вычисляем долю исходящей интенсивности нагрузки для каждой АТС от общей исходящей интенсивности нагрузки сети в процентах:
%. (4.1)
Расчет внутристанционных интенсивностей нагрузки производим по формуле:
. (4.2)
По таблице определим процент интенсивности внутристанционной нагрузки
от интенсивности исходящей нагрузки
-й АТС.
Таблица 4.1

Результаты расчетов сведём в таблице 4.2.
Таблица 4.2 Внутристанционная нагрузка
| № АТС | АТС1 | АТС2 | АТС3 | АТС4 | АТС5 | АТС6 | АТС7 | АТС8 |
| η,% | 11,79% | 13,93% | 15,37% | 20,43% | 9,55% | 9,64% | 9,64% | 9,64% |
| Квн | 28,3 | 32,9 | 38,3 | 38,5 | 26,4 | 26,4 | 26,4 | 26,4 |
| Yвн,Эрл | 87,27 | 119,80 | 153,88 | 205,69 | 65,93 | 66,55 | 66,55 | 66,55 |
5. Определение интенсивности нагрузки на УСС и АМТС
Интенсивность нагрузки, распределяемая к УСС составляет 5 % от интенсивности исходящей на АТС нагрузки, т.е.
(5.1)
Между местными сетями и АМТС имеются СЛ двух видов:
- исходящие ЗСЛ (заказно-соединительные линии) в направлении к АМТС, предназначены для установления исходящей автоматической междугородной связи (включая внутризоновую), а также предварительных заказов на междугородные соединения с пунктами, не имеющими автоматической междугородной телефонной связи;
- и входящие СЛМ (соединительные линии междугородные) от АМТС к местным сетям для установления входящих междугородных соединений.
Интенсивность нагрузки, распределяемая к АМТС (на ЗСЛ) определяется:
(5.2)
где:
- число абонентов
-й категории;
- удельная междугородная интенсивность нагрузки, определяемая по таблице в зависимости от числа жителей в городе:

В нашем случае для населённого пункта с населением 500-1000 тыс. чел. она равна 0,0032 Эрл.
Интенсивность нагрузки от АМТС (на соединительные линии междугородние) определяется по формуле:
, (5.3)
где:
=150 c – средняя длительность занятия ЗСЛ;
= 126 с – средняя длительность занятия СЛМ.
Рассчитанные значения сведём в табл. 5:
Таблица 5 Интенсивность нагрузки на УСС и АМТС
| №АТС | ATC 1 | ATC 2 | ATC 3 | ATC 4 | ATC 5 | ATC 6 | ATC 7 | ATC 8 |
| YУСС, Эрл | 15,42 | 18,21 | 20,09 | 26,71 | 12,49 | 12,60 | 12,60 | 12,60 |
| YЗСЛ кв , Эрл | 22,40 | ?????? ?????????? ??????? ???????? ??????????? ???????????? ?????????????? ??????? ??????????? ??????????? ???????
Актуально:
|