Исследование морфологической структуры, физико-химических и химических характеристик беленой, сульфатной целлюлозы из древесины хвойной породы
Одним из наиболее важных факторов, определяющих развитие большинства отраслей промышленности, является устойчивая сырьевая база, и в частности углерод содержащее сырье. К такому сырью относится древесина, чаще всего ее используют в качестве топлива, однако ценность леса как природного богатства и широко применяемого сырья определяется производством бумаги и картона.
Древесина представляет собой уникальный постоянно возобновляемый полимерный композиционный материал, компоненты которого являются высокомолекулярными соединениями. Химической переработкой древесины получают более 20 тысяч наименований различных материалов, продуктов и изделий. Целлюлозные материалы занимают видное место в удовлетворении потребностей человека: природные целлюлозные волокна (прежне всего хлопок, лен и другие лубяные волокна) и сегодня являются существенной частью в балансе сырья для текстильной промышленности. Древесная и хлопковая целлюлоза широко применяются для изготовления бумаги и картона, искусственных волокон, некоторых пластмасс и лаков, эмульгаторов и загустителей для нефтяной, текстильной, пищевой, фармацевтической и других отраслей промышленности. (13)
Одной из важнейших отраслей химической переработки древесины является производство технической целлюлозы и других волокнистых полуфабрикатов. За 2002 год в мире произведено всех волокнистых полуфабрикатов 324,62 миллионов тон, из них древесных 168,24 миллионов тонн, а недревесных 19,77 миллионов тонн.
Технической целлюлозой называют целлюлозу, выделенную из природного растительного сырья, древесного и не древесного, удалением нецеллюлозных компонентов. Таким образом, свойства технической целлюлозы изменяются в широких пределах в зависимости от того, насколько полно в процессе химической обработки были отделены сопутствующие вещества. С помощью химических реакций из технической целлюлозы получают различные производные целлюлозы - искусственные полимеры, главным образом, различные сложные и простые эфиры целлюлозы.(1)
Технические целлюлозы можно подразделить по методам варки. К группе кислотных способов получения целлюлозы из числа применяемых в промышленности относится сульфитная целлюлоза. За 2002 год сульфитной целлюлозы было выработано по всему миру 5,2 млн.т. К группе щелочных способов получения целлюлозы относится сульфатный способ варки. За минувший год сульфатной целлюлозы было получено по всему миру 126 млн. тонн. По представленным выше данным выработки целлюлозы по варкам можно сделать вывод, что основные объемы ее получают именно сульфатным методом. По всем показателям механической прочности сульфатная целлюлоза превосходит сульфитную, той же степени провара, но в то же время выход сульфатной целлюлозы на 3-4% ниже, чем сульфитной. Хотя первая обладает гораздо лучшими бумагообразующими свойствами.
Целью данной работы было исследование морфологической структуры, физико-химических и химических характеристик беленой сульфатной целлюлозы из древесины хвойной породы.
1. Литературный обзор
1.1 Технические целлюлозы
Природная целлюлоза является основным веществом, из которого построены клеточные стенки растительных клеток всех видов растений. Процесс производства сводится к освобождению целлюлозы от других нецеллюлозных компонентов таких как: лигнин, гемицеллюлозы, экстрактивные вещества. Все способы получения целлюлозы основаны на том, что лигнин поддается разрушительному действию многих химических реагентов гораздо легче, чем целлюлоза.
Основным веществом, от которого освобождают растительное сырье, является лигнин, поэтому процесс получения целлюлозы называют делигнификацией растительного материала, а продукт делигнификации называется технической целлюлозой. Процесс получения технической целлюлозы кратко называют варкой целлюлозы. Существуют основные способы варки, которые классифицируются по видам и свойствам применяемых химических реагентов. Исходя из этого можно разделить все известные способы получения целлюлозы на несколько основных групп: кислотные, щелочные, нейтральные и др.(4)
К группе кислотных способов, из числа применяемых относятся сульфитный и бисульфитный способы, которые отличаются составом и рН варочного раствора.
В классическом процессе сульфитной варки на кальциевом основании применяют варочный раствор (варочную кислоту), содержащий Са (НSO3)2 и большой избыток свободного SO2, который при варке весь не расходуется и поддерживает рН на уровне 1,2-1,5. Свободный SO2, имеющий сильнокислотные свойства, проникает в древесную щепу значительно быстрее, чем варочный раствор, и поэтому подъем температуры во время разогрева до конечной температуры варки должен быть более медленным. В противном случае рано произойдут реакции конденсации лигнина, что приведет к неполной делигнификации. При получении целлюлозы для бумаги конечная температура варки обычно лежит в интервале 125-135°С, а при получении целлюлозы для химической переработки составляет около 145*С. Весь цикл варки занимает до 12 часов. Сульфитная целлюлоза, небеленая и беленая, является одним из главнейших полуфабрикатов для выработки газетных, типографских, писчих бумаг, бумаги для печати и целого ряда других видов бумаги и для получения искусственного волокна.
При бисульфитной варке рН составляет 3-5. Применяется бисульфитный варочный раствор, не содержащий SO2, на натриевой основе, хотя пригодно и аммониевое основание. По сравнению с сульфитной варкой максимальная температура несколько выше (150-170°С), а продолжительность варки значительно меньше (1-3 ч). Конечной температуры варки можно достигать даже быстрее, так как химикаты проникают в щепу лучше, и начальная температура варочного раствора выше (90-100°С).Таким образом по свойствам бисульфитная целлюлоза очень близка к сульфитной, но отличается от нее более высокой механической прочностью и более легкой способностью разделяться на волокна при высоком выходе.
Реально оценивая свойства варок кислотного типа можно отметить ряд недостатков и достоинств. В сульфитном методе недостатком в первую очередь является длительность самого процесса варки. К другим недостаткам относятся: образование накипи, отсутствие регенерации химикатов и загрязнение окружающей среды. В качестве сырья нельзя использовать высокосмолистую древесину, например сосновую, а также многие лиственные породы. Щепа не должна содержать значительное количество коры. Все это необходимо для избежания реакций конденсации лигнина с экстрактивными веществами, а эти реакции будут препятствовать сульфированию лигнина. Что касается бисульфитной варки, основными промышленными методами которой служат процессы с использованием натриевого и магниевого основания, то она имеет ряд технологических преимуществ: отсутствие выделения диоксида серы при выдувке массы из котла; применение непрерывного процесса; отсутствие накипи при упаривании отработанного щелока; легкость регенерации химикатов; возможность использования разнообразного древесного сырья.
Сульфатный (или крафт) и натронный процессы - это два главных метода щелочной варки целлюлозы, которые, кроме того, легли в основу ряда модифицированных щелочных процессов и в том числе сульфатной варки с предгидролизом для производства целлюлозы для химической переработки. В обоих процессах варочным реагентом служит гидроксид натрия, а при сульфатной варке дополнительно сульфид натрия. Оба метода получили название по химикатам, которые используются при регенерации для компенсации потерь гидроксида натрия (соответственно, карбонат и сульфат натрия).(3)
В отличии от сульфитных методов варки процессы сульфатной варки проводят практически по единой технологической схеме, хотя существуют разнообразные варианты условий варки и применяемого оборудования. Древесину в качестве щепы загружают в варочный котел и одновременно подают варочный раствор (белый щелок), поступающий из системы регенерации. Используют периодически- и непрерывнодействующие варочные установки. Периодическую варку проводят при температуре 160- 180°С, при рН= 13, под давлением 0,7-1,1 МПа в течение 4-6 часов, непрерывную ускоренную варку при 190-200°С в течение 15-30 минут. Массу и отработанный щелок выгружают при уменьшенном давлении. После промывки массы отработанный щелок отделяют и направляют в систему регенерации. При предварительном пропаривании удаляется сульфатный скипидар, который конденсируется из сдувочных газов. С упаренного щелока снимают сульфатное мыло. При сдувке из варочного котла и упаривании черного щелока выделяются дурнопахнущие и токсичные пары и газы, главным образом сероводород и метилмеркаптан, а также небольшие количества диметил сульфида и диметилдисульфида. Предпринято много попыток уменьшения образования этих типичных для сульфатной варки газовых выбросов различными способами- хлорированием с образованием менее летучих компонентов, окислением и др. Однако и в настоящее время, несмотря на большие капиталовложения в оборудование для защиты окружающей среды, проблему газовых выбросов нельзя считать решенной. (8)
На процесс сульфатной варки и свойства получающейся целлюлозы влияет ряд факторов: исходное сырье (древесная порода и качество); модуль варки (отношение количеств щелока и древесины); расход химикатов и их концентрация в варочном щелоке; состав варочных химикатов.
Сульфатный метод предъявляет меньше требований к сырью и пригоден для древесины хвойных и лиственных пород.
В настоящее время сульфатный метод является не только доминирующим щелочным методом варки при использовании древесины в качестве сырья, но и наиболее важным способом производства целлюлозы вообще. Сульфатная целлюлоза превосходит натронную по выходу и свойствам. Главными преимуществами сульфатной варки являются:
1. Пониженные требования к породному составу и качеству древесного сырья, позволяющие использовать все виды древесины хвойных и лиственных пород, в том числе в смесях, и допускающие присутствие значительных количеств экстрактивных веществ, гнилой древесины, остатков коры.
2. Небольшая продолжительность варки.
3. Достаточно хорошо разработанные процессы переработки отработанных щелоков, включая регенерацию варочных химикатов, выработку тепла, производство ценных побочных продуктов, таких, как таловое масло и скипидар при варке древесины сосны.
4. Отличные прочностные свойства целлюлозы.
Основные недостатки сульфатной варки - образование дурно пахнущих газовых выбросов, пониженный по сравнению с сульфитной выход целлюлозы (45-50%), темный цвет небеленой целлюлозы.
Говоря о свойствах технических целлюлоз, полученных щелочными методами варки, можно отметить, что сульфатные целлюлозы, характеризующиеся отличными прочностными свойствами, используют для выработки прочных видов бумаги, применяемых в качестве наружного слоя гофрированного картона, мешочной и оберточной бумаги. Однако очень высокие показатели прочности свойственны только сульфатной целлюлозе из древесины хвойных пород. Коротковолокнистая целлюлоза из древесины лиственных пород по показателям прочности непригодна для изготовления наружного слоя гофрированного картона, хотя она легко белится и служит отличным сырьем при выработке бумаги для печати.
Сульфитная же целлюлоза для бумаги, полученная из древесины лиственных пород, имеет низкие показатели прочности, и ее используют, главным образом для выработки светонепроницаемой бумаги для печати. Белизна небеленой сульфитной целлюлозы выше, чем сульфатной, даже при высоком выходе. Показатели прочности сульфитных целлюлоз ниже, чем сульфатных.(3)
Обычная сульфатная варка и натронная не дает возможности получать целлюлозу для химической переработки, обладающую достаточно высокой реакционной способностью. Типовым методом получения целлюлозы для указанных целей является щелочная варка с предгидролизом щепы, т. е. двухступенчатая комбинированная варка.
Сульфатная целлюлоза сохраняет большое количество трудногидролизуемых пентозанов (до 50% от содержания в исходной древесине), которые не удаляются и при дальнейшей отбелке. Поэтому содержание a-целлюлозы недостаточно для целлюлозы, идущей на производство химических волокон. Чтобы устранить этот недостаток, надо удалить пентозаны. Для этого древесину варят с предгидролизом в две ступени:
1. Предгидролиз (разрушение пентозанов)
2. Собственно варка.
Предгидролиз может осуществляться двумя способами:
1. Обработка соляной или серной кислотой. Это кислотный гидролиз. Он сравнительно сложен, так как требует проведения многих длительных операций.
2. Обработкой горячей водой. Происходит отщепление ацетильных и формильных групп с образованием органических кислот, рН раствора 3,5-4. Это водный предгидролиз. При этом разрушается 12-17% от абсолютно сухого вещества древесины.
Затем производится сульфатная варка.(12)
Из всех промышленных способов получения целлюлозы наибольшее распространение получили сульфитный и сульфатный.
1.2 Химические превращения компонентов древесины в условиях сульфатной варки
Варочный процесс (варка)- это обработка измельченной древесины (технологическая щепа, иногда опилки) или другого растительного сырья варочным раствором при повышенной температуре и соответствующем давлении с целью получения технической целлюлозы, целлюлозы высокого выхода (ЦВВ) или полуцеллюлозы.
Любой варочный процесс представляет собой сложный комплекс различных процессов, на которые оказывают влияние морфологические, физические и химические факторы. Основными процессами при этом должны быть разрушение лигнина межклеточного вещества и удаление лигнина из клеточной стенки.
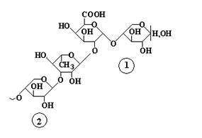
Поведение полисахаридов древесины при ее делигнификации в процессе варки будет определяться условиями проведения процесса, строения макромолекул и особенностями надмолекулярной структуры полисахаридов, влияющими на их доступность действию химических реагентов. По доступности к варочным реагентам все полисахариды можно разделить на три группы: полисахариды, переходящие в варочный раствор; полисахариды, в структуру которых проникают реагенты; полисахариды, структура которых недоступна для реагентов. Полисахариды первой группы растворяются, второй – набухают в варочном растворе, третей – не набухают. Первую группу образуют водорастворимые полисахариды (арабиногалактаны, пектиновые вещества, крахмал и др.). Ко второй группе относятся основная масса гемицеллюлоз и аморфные участки целлюлозы. В третью группу входят кристаллические участки целлюлозы и целлюлозаны.
При делигнификации как в условиях варки, так и отбелки, воздействию подвергаются не только лигнин, но и углеводная часть древесины. Реакции углеводов, главным образом деструкция полисахаридов, будут определять выход и качество получаемого волокнистого полуфабриката.(1)
1.2.1 Лигнин
Лигнин представляет собой ароматический полимер сетчатого строения. Основная структурная единица которого фенилпропановая единица С6-С3. В лигнине мономерные звенья соединены между собой эфирными и углерод углеродными связями.
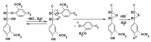
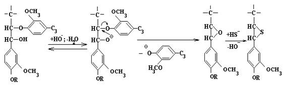
В настоящее время существует более или менее единый взгляд на роль сульфида натрия при сульфатной варке – он обеспечивает защиту лигнина от конденсации. Большинство ученых считают, что сера оказывает блокирующее действие. Следовательно, гидросульфид-ион, являющийся более сильным нуклеофилом по сравнению с гидроксид-ионом, обеспечивает более интенсивную деструкцию лигнина и его защиту от конденсации, причем сера химически связывается с лигнином. Ион гидросульфида играет роль сильного «внешнего» нуклеофила при сульфатной варке. Сульфатный варочный раствор вызывает деструкцию всех связей -О-4 в фенольных структурах лигнина независимо от направления реакции.

По первому направлению, идущему в меньшей степени через промежуточный оксиран (эпоксид), под воздействием гидросульфид-иона образуется группировка тиирана (эписульфида). По второму, главному, направлению к образовавшемуся хинонметиду присоединяется сильный «внешний» нуклеофил (:SH-) и тем самым защищает лигнин от конденсации, а также от конкурирующей с реакциями нуклеофильного замещения реакции элиминирования.

В результате образуется группировка тиола (меркаптана) в ионизированной форме (тиолят-анион). Тиолян-анион атакует -углеродный атом и вызывает деструкцию связи -О-4 с образованием, как и по первому направлению, группировки тиирана. В нефенольных структурах связи -О-4 расщепляются по такому же механизму, как и при натронной варке.
В этой реакции деструкция идет под действием более сильного основания, т.е гидроксид-иона, но затем группировка оксирана под действием гидросульфид-иона превращается в группировку тиирана.

При сульфатной варке в лигнине сначала образуются структуры, богатые серой, а затем значительная часть серы отщепляется в виде элементной серы и образуется сульфатный лигнин.
Кроме гетеролитических реакций при щелочных варках при температурах 160-180 єС могут протекать и свободнорадикальные процессы. В свое время предполагали, что радикалы образуются в результате гомолитического расщепления сетки лигнина, и их рекомбинации приводит к конденсации лигнина. Однако в настоящее время выдвинута теория образования свободных феноксильных радикалов под действием присутствующего в капиллярах древесины и варочном растворе кислорода воздуха, который в щелочной среде на начальной стадии варки при взаимодействии с компонентами древесины восстанавливается до таких активных форм, как супероксид-анион-радикал О2и гидроксильный радикал НО., которые и являются инициаторами свободнорадикальных процессов. При этом сере, содержащийся в сульфиде и гидросульфиде натрия, отводится роль «ловушки» радикалов и антиоксиданта, препятствующего образованию феноксильных радикалов. Протекающие окислительно-восстановительные реакции приводят к изменению степени окисления серы.
Недостаток сульфатной варки – выделение дурнопахнущих сернистых соединений, образующихся из метоксильных групп лигнина под действием гидросульфида натрия при высокой температуре варки. Сначала получается метилмеркаптан (метантиол) легколетучий а затем из него также легколетучий диметилсульфид (тиоэфир) СН3SCH3. В результате окисления метилмеркаптана образуются менее летучие диметилдисульфид СН3SSCH3. Из диметилсульфида при окислении можно получить ценный растворитель – диметилсульфоксид (СН3)2SO. (1)
Недостатки сульфатной варки можно в определенной степени устранить, используя полисульфидные варочные растворы, которые готовят либо растворением серы в сульфатном варочном растворе, либо окислением содержащегося в нем Na2S. Полисульфид-ионы могут восстанавливаться до HS-, окисляя при этом или редуцирующие звенья углеводов, или лигнин. Выход целлюлозы повышается на 1,5-6%, в зависимости от достигаемой степени делигнификации.
1.2.2 Полисахариды
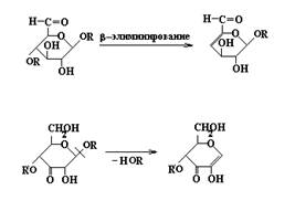
В щелочной среде при повышенных температурах полисахариды подвергаются реакциям деполимеризаци. Для обозначения процесса полимеризации полисахаридов в технологии варки целлюлозы используют термин «пилинг». Пилинг является причиной больших потерь целлюлозы, т.к. она не является самым устойчивым полисахаридом древесины. Потери гемицеллюлоз происходят и в результате их растворения в варочных растворах, чему способствует увеличение концентрации щелочи и снижение СП. Деполимеризацие с редуцирующего конца происходит до превращения концевого звена в щелочеустойчивое в результате процесса стабилизации («стопинг»).
1.Целлюлоза
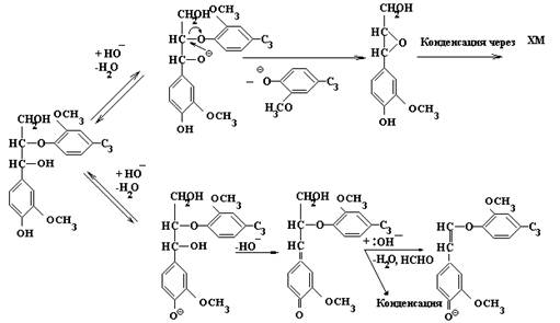
Подвергается деполимеризации в результате реакции b-элиминирования при температуре 80-100°С.

Таким образом редуцирующее концевое звено целлюлозы может участвовать в двух параллельных реакциях b-элиминирования. Одна реакция приводит к изменению этого звена, а другая к его отщеплению. В последнем случае образуется новое редуцирующее концевое звено, которое также может отщепляться. Направление, по которому будет происходить элиминирование, зависит от скорости отщепления гидроксильной и о-алкильной группы. Так как скорость отщепления последней значительно выше, чем первой, то успевает отщепиться 50-70 редуцирующих звеньев прежде чем редуцирующее концевое звено превратится в звено глюкаметасахариновой кислоты и процесс деполимеризации закончится.
При температурах выше 150°С начинает проявлятся щелочной гидролиз. Скорость гидролиза не велика, однако при этом образуется новое редуцирующее концевые звенья и процесс деполимеризации возобновляется. Значительно более легче чем гидролиз происходит окислительная деструкция макромолекул целлюлозы в результате реакции b-элиминирования.

Деполимеризация целлюлозы приводит к ее потерям, а деградация окислительная и гидролитическая снижает СП. В результате СП сульфатной целлюлозы несколько меньше чем у сульфитной.
2.Гемицеллюлозы
Ксиланы оказались более устойчивые в условиях щелочной варки.
У хвойных кроме таких звеньев есть
Кроме того деполимеризации препятствует строение редуцирующего концевого звена макромолекулы ксилана

В щелочной среде отщепляется одно концевое звено при очень высоких температурах второе «разваливается», ксиланы более менее сохраняются при щелочных варках.
В условиях щелочных варок звенья 4-о-метилглюкуроновой кислоты ксилана подвергаются деметоксилированию в результате реакции b-элиминирования. Потеря белизны сульфатной целлюлозы происходит из-за наличия этих групп.
Глюкоманнаны имеют меньшую СП, чем ксиланы, практически не чем не защищенные в щелочной среде. Но у хвойных при низких температурах происходит диацетилирование, что способствует уплотнению глюкоманнанов.
1.2.3 Экстрактивные вещества
Массовая доля экстрактивных веществ в древесине обычно невелика. Однако, концентрируясь в отдельных тканях древесины и являясь чрезвычайно разнообразными по химическому составу, они влияют не только на свойства древесины, но и на процессы ее переработки, а в ряде случаев отделяют и качество получаемых продуктов (например, целлюлозы для химической переработки). Экстрактивные вещества – ценные химические продукты, состав которых при обработке древесины различными реагентами при повышенных температурах существенно изменяется. Утилизация таких продуктов повышает рентабельность производства и снижает вредное воздействие на окружающую среду, оказываемое некоторыми из этих веществ при их попадании в промышленные выбросы.
Экстрактивные вещества накапливаются в паренхимных тканях, где они представлены главным образом жирами, восками и стеринами. Выделение данных веществ затруднено, так как они содержатся во внутренних полостях паренхимных клеток и в воде не растворяются. Поэтому при разделении древесной ткани на волокна эти вещества часто удаляют вместе с содержащими их клетками, отделяя мелкие паренхимные клетки от волокон при сортировании целлюлозной массы после варки. Содержимое смоляных каналов в древесине хвойных пород (в основном смоляные кислоты и монотерпены) легко высвобождается при разрушении древесной ткани.
Экстрактивные вещества в ядровой древесине локализуются не только в лучевой паренхиме, но и пропитывают стенки волокон, покрывают (инкрустируют) мембраны пор, в лиственных породах закупоривают сосуды. Основная масса этих веществ представлена гидрофобными компонентами, что снижает гидрофильность клеточных стенок и водопроницаемость ядровой древесины. Клеточные стенки ядра содержат меньше воды, чем заболонь. Все это приводит к тому, что ядровая древесина труднее перерабатывается в щепу, хуже пропитывается водными растворами реагентов, и при ее химической переработке, в особенности в кислой среде, могут возникнуть трудности. Проблемы из-за экстрактивных веществ ядровой древесины могут появиться и при производстве волокнистых полуфабрикатов механическим, термомеханическим и химикотермомеханическим способами.
У ряда древесных пород часть экстрактивных веществ имеет окраску, что затрудняет отбелку целлюлозы. Некоторые компоненты экстрактивных веществ ядра легко окисляются, что приводит к нестабильности белизны. Наличие липофильных экстрактивных веществ сильно влияет на смачиваемость и может привести к “самопроклейке” бумаги.
Таким образом, содержание, состав и природа превращений экстрактивных веществ важны не только для извлечения этих ценных продуктов, но и для установления роли отдельных компонентов в развитии побочных процессов. Химические реакции и глубина преврещений экстрактивных веществ определяются в первую очередь природой этих веществ и условиями переработки древесины.
Монотерпены сравнительно устойчивы при сульфатной варке. При конденсации сдувочных паров получают сульфатный скипидар, по составу близкий к живичному, но загрязненный дурнопахнущими сернистыми соединениями и требующий очистки. В кислой среде в условиях сульфитной варки или гидролиза древесины летучая терпеновая фракция претерпевает существенные изменения, и ее основным компонентом становится -цимол.
Стерины относятся к самым устойчивым компонентам экстрактивных веществ, тогда как жиры подвергаются превращениям уже при хранении древесины. При сульфатной варке в результате взаимодействия смоляных и жирных кислот, жиров и восков с гидроксидом натрия образуется сульфатное мыло. Жиры и воски в щелочной среде омыляются с образованием натриевых солей жирных кислот. Поверхностно-активные свойства мыла способствуют эмульгированию части неомыляемых липофильных компонентов экстрактивных веществ. В результате отбираемое после отстаивания упаренного отработанного варочного раствора (черного щелока) сульфатное мыло будет содержать натриевые соли смоляных и жирных кислот и неомыляемые соединения (фитостерины и др.). При обработке сульфатного мыла раствором серной кислоты получают талловое масло. Оно представляет собой смесь смоляных и жирных кислот и нейтральных веществ (фитостерин, высшие алифатические спирты, углеводороды). Вакуум-ректификацией таллового масла получают талловые продукты (дистиллированное талловое масло, талловую канифоль, талловые жирные кислоты и талловый пек).
При варке целлюлозы роль экстрактивных веществ может проявиться в снижении выхода целлюлозы, увеличении расхода химикатов, усложнении процесса делигнификации, а также в появлении так называемых смоляных затруднений. Снижение выхода целлюлозы из-за растворения экстрактивных веществ обычно невелико, но есть древесные породы (лиственница, дуб) с высоким содержанием водорастворимых соединений. Расход химикатов повышается в результате химического взаимодействия экстрактивных веществ с варочными реагентами. В щелочных варках часть гидроксида натрия расходуется на омыление жиров и восков и на взаимодействие со свободными кислотами и фенольными соединениями. С экономической точки зрения это частично получением продуктов переработки сульфатного мыла. При сульфитных варках некоторые экстрактивные вещества сульфируются (флавоноиды, лигнаны). Дигидрокверцетин, обладающий восстанавливающими свойствами подобно сахарам, в растворах гидросульфита окисляется до кверцетина. Кверцетин плохо растворяется в воде и осаждается на волокна, приводя к пожелтению целлюлозы.(1)
В настоящее время сульфатная варка превалирует над другими методами переработки древесины, и, следует отметить, что производство талловых продуктов на основе экстрактивных веществ вносит существенный вклад в прибыль предприятий. В связи с ростом доли древесины лиственных пород повысился интерес и к выделению из черный щелоков нейтральных веществ (стерины, тритерпеноиды и др.).
1.3 Отбелка целлюлозы
Целлюлоза в зависимости от вида сырья, жесткости, качества промывки содержит продукты темного цвета. Считается, что темный цвет обуславливается присутствием в целлюлозе остаточного лигнина, красящих веществ, смол, солей марганца и железа.
Развитие технологии отбелки древесной целлюлозы привело к применению гипохлорита, хлора ( с введением промежуточной ступени щелочного обработки ) и других разнообразных отбеливающих реагентов. Главная цель отбелки – повышение белизны в случае выработки целлюлозы для производства бумаги и картона.
Хромофорные компоненты, поглощающие свет, представляют собой группировки деградированного и химически изменённого лигнина. Поэтому отбелку можно осуществить либо превращением и стабилизацией хромофорных групп без потери вещества ( отбелка с удалением лигнина ). Наряду с лигнином при отбелке удаляются по крайней мере частично другие соединения ( экстрактивные и минеральные вещества полиозы ), а также недостаточно делигнифицированные частицы ( кусочки коры ).
Отбелка приводит к изменению оптических свойств целлюлозы – светопоглащения, светорассеяние и отражательной способности, которые характеризуются белизной, яркостью и светопроницаемостью.
Отбеливающие реагенты можно подразделить на окислители и восстановители. Основные из них, наиболее часто применяемые в промышленности, приводятся ниже.
| Хлор | Cl2 |
| Гипохлорит натрия | NaOCl |
| Гипохлорит кальция | Ca(Ocl)2 |
| Диоксид хлора | ClO2 |
| Пероксид водорода | H2O2 |
| Пероксид натрия | Na2O2 |
| Кислород | O2 |
Кроме того, при отбелке широко применяется щелочь NaOН, а также сернистая кислота.
Сульфатная целлюлоза имеет более темный цвет, чем сульфитная. Она труднее отбеливается, поэтому отбелка связана с рядом особенностей:
1. Для получения целлюлозы невысокой белизны необходимо применять двуокиси хлора.
2. При хлорировании сульфатной целлюлозы интенсивней идут побочные реакции окисления. С целью уменьшения деструкции целлюлозы при этом, во-первых, снижают расход хлора на хлорирование до 40-50% (вместо 70-80%), во-вторых, при хлорировании добавляют ClO3 в колличестве10-20% от расхода хлора.
3. При отбелке сульфатной целлюлозы увеличивают число ступеней отбелки на 1-2 по сравнению с сульфитной целлюлозой равной белизны.
Существует такое понятие, как схема отбелки. Схемой отбелки называется последовательность обработки целлюлозы отбеливающими реагентами. В зависимости от свойства получаемой целлюлозы схемы различные. Так как данная работа рассматривает сульфатную беленую целлюлозу для производства бумаги и картона, для нее будет соответствовать следующая схема отбелки. Сама отбелка будет проходить в 5-6 ступеней, последовательность ступеней будет следующая:
Хлорирование ® щелочение ® отбелка двуокисью хлора® щелочение® добелка двуокисью хлора ® гипохлоритная отбелка II®кисловка (12)
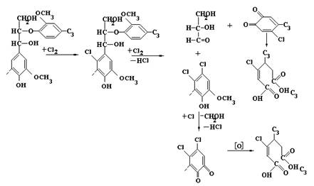
Первой ступенью отбелки целлюлозы является хлорирование. Успех процесса отбелки во многом зависит от этого процесса. Лигнин, который обладает сильными восстановительными свойствами, может вступать в реакцию с любыми окислителями. Хлор получил большее распространение, это объясняется тем, что хлор отличается высокой реакционной способностью и является сравнительно дешевым реагентом. Применение хлора для хлорирование не требует высокой температуры и повышенного давления, при этом реакция идет достаточно быстро. В процессе хлорирования хлор действует избирательно на лигнин, и образующийся хлор-лигнин растворяется в водных растворах щелочей. Хлорирование лигнина – реакция топохимическая, идущая с поверхности вглубь волокна и замедляющаяся по мере хлорирования молекул лигнина, расположенных на поверхности. Удаление продуктов хлорирования открывает доступ к новой поверхности лигнина, и реакция продолжается.
С повышением температуры концентрация ионов водорода , хлора и хлорноватистой кислоты увеличивается и, следовательно, основными реакциями будут реакции гидролиза и окисления, что является нежелательным из-за деструкции целлюлозы. Обычно при хлорировании поддерживают температуру 15-20°С, но может быть проведено и при 45-50°С, что только ускорит скорость реакции.(9)
Обычно хлорирование проводят при низких концентрациях массы – 3-3,5% при рН 1,8-2,2. В таких условиях в растворе преобладает молекулярный хлор, и основной является реакция хлорирования.
Отсюда следует, что при обработке лигнинсодержащих материалов молекулярным хлором в воде лигнин претерпевает различные химические реакции при этом образуется хлор-лигнин, который растворяется в разбавленных растворах NaOН, поэтому на второй стадии проводят обработку разбавленным раствором щелочи. Такая обработка позволяет эффективно удалять более 50% остаточного лигнина.

Т.о. при хлорировании происходит электрофильное замещение в бензольном кольце, в том числе и с вытеснением пропановой цепочки, кроме этого происходит окислительное расщепление b-О-4 связи, образование ортохиметильных структур с последующим их окислением до структуры муконовой кислоты. В результате получается хлорлигнин, кроме хлора содержит много карбоксильных групп. При последующей обработке часть хлора замещается на гидроксильные группы в результате хлорлигнин содержит много карбоксильных и фенольных групп хорошо растворяющихся в щелочном растворе.
Диоксид хлора давно известен как отличный делигнифицирующий и отбеливающий реагент, но при использовании в промышленных процессах возникают определённые трудности из-за его высокой реакционной способности в газовой фазе и токсичности. Тем не менее диоксидом хлора постепенно заменяют хлор на первой ступени многоступенчатой отбелки, тогда как первоначально его использовали на конечных ступенях. Диоксид хлора увеличивает конечную белизну целлюлозы и её прочностные свойства, а так же снижает расход химикатов и БПК сточных вод. Отбелку диоксидом хлора обычно осуществляют при низкой или средней концентрации массы, рН 3 – 5, низкой температуре около 70 оС в течение 3-5 часов
Пероксиды, кроме отбелки древесной массы, в настоящее время применяют так же в ряде промышленных схем отбелки технических целлюлоз. Пероксиды используют главным образом на последних ступенях в сочетании с диоксидом хлора, что приводит к получению целлюлозы с высокой стабильной белизной. Отбелку пероксидами обычно проводят при средней или высокой концентрации массы, при температур