Графен и его свойства
МИНИСТЕРСТВО ОБРАЗОВАНИЯ И НАУКИ УКРАИНЫ
Славянский Педагогический Государственный университет
КАФЕДРА ФИЗИКИ
КУРСОВАЯ РАБОТА
По теме: Графен и его свойства. Нобелевская премия 2010 года по физике
Выполнила
студентка 3-го курса,
физико-математического факультета , группа 3
Щербина И.Л.
Преподаватель
Костиков А.П
Славянск 2011г.
Содержание
1. История открытия
2. Получение
3. Дефекты
4. Возможные применения
5. Физика
5.1 Теория
5.1.1 Кристаллическая структура
5.1.2 Зонная структура
5.1.3 Линейный закон дисперсии
5.1.4 Эффективная масса
5.1.5 Хиральность и парадокс Клейна
5.2 Эксперимент
5.2.1 Проводимость
5.2.2 Квантовый эффект Холла
6. Интересные факты
Литература
1. История открытия
Графен является двумерным кристаллом, состоящим из одиночного слоя атомов углерода, собранных в гексагональную решётку. Его теоретическое исследование началось задолго до получения реальных образцов материала, поскольку из графена можно собрать трёхмерный кристалл графита.
Графен является базой для построения теории этого кристалла. Графит является полуметаллом. Как было показано в 1947 году П. Воллесом, в зонной структуре графена также отсутствует запрещённая зона, причём в точках соприкосновения валентной зоны, и зоны проводимости энергетический спектр электронов и дырок линеен, как функция волнового вектора. Такого рода спектром, обладают безмассовые фотоны и ультрарелятивистские частицы, а также нейтрино. Поэтому говорят, что эффективная масса электронов и дырок в графене вблизи точки соприкосновения зон равна нулю. Но здесь стоит заметить, что несмотря на сходство фотонов и безмассовых носителей, в графене существует несколько существенных различий, делающих носители в графене уникальными по своей физической природе, а именно: электроны и дырки являются фермионами, и они заряжены. В настоящее время аналогов для этих безмассовых заряженных фермионов среди известных элементарных частиц нет.
Несмотря на такие специфические особенности, экспериментального подтверждения эти выводы не получили до2005 года, поскольку не удавалось создать графен. Кроме того, ещё раньше было доказано теоретически, что свободную идеальную двумерную плёнку получить невозможно из-за нестабильности относительно сворачивания или скручивания. Тепловые флуктуации приводят к плавлению двумерного кристалла при любой конечной температуре.
Интерес к графену появился снова после открытия углеродных нанотрубок, поскольку вся первоначальная теория строилась на простой модели нанотрубки как развёртки цилиндра. Поэтому теория для графена в приложении к нанотрубкам хорошо проработана.
Попытки получения графена, прикреплённого к другому материалу, начались с экспериментов, использующих простой карандаш, и продолжились с использованием атомно-силового микроскопа для механического удаления слоёв графита, но не достигли успеха. Использование графита с внедрёнными (интеркалированный графит) в межплоскостное пространство чужеродными атомами (используется для увеличения расстояния между соседними слоями и их расщепления) также не привело к результату.
В 2004 году российскими и британскими учёными была опубликована работа в журнале Science , где сообщалось о получении графена на подложке окисленного кремния. Таким образом, стабилизация двумерной плёнки достигалась благодаря наличию связи с тонким слоем диэлектрика SiO2 по аналогии с тонкими плёнками, выращенными с помощью МПЭ. Впервые были измерены проводимость, эффект Шубникова— де Гааза, эффект Холла для образцов, состоящих из плёнок углерода с атомарной толщиной.
Метод отшелушивания является довольно простым и гибким, поскольку позволяет работать со всеми слоистыми кристаллами, то есть теми материалами, которые представляются как слабо (по сравнению с силами в плоскости) связанные слои двумерных кристаллов. В последующей работе авторы показали, что его можно использовать для получения других двумерных кристаллов: BN, MoS2, NbSe2, Bi2Sr2CaCu2Ox.
2. Получение
Кусочки графена получают при механическом воздействии на высокоориентированный пиролитический графит или киш-графит. Сначала плоские куски графита помещают между липкими лентами (скотч) и расщепляют раз за разом, создавая достаточно тонкие слои (среди многих плёнок могут попадаться однослойные и двуслойные, которые и представляют интерес). После отшелушивания скотч с тонкими плёнками графита прижимают к подложке окисленного кремния. При этом трудно получить плёнку определённого размера и формы в фиксированных частях подложки (горизонтальные размеры плёнок составляют обычно около 10 мкм). Найденные с помощью оптического микроскопа, (они слабо видны при толщине диэлектрика 300 нм) плёнки подготавливают для измерений. Толщину можно определить с помощью атомно-силового микроскопа (она может варьироваться в пределах 1 нм для графена) или, используя комбинационное рассеяние. Используя стандартную электронную литографию иреактивное плазменное травление, задают форму плёнки для электрофизических измерений.
Кусочки графена также можно приготовить из графита, используя химические методы. Сначала микрокристаллы графита подвергаются действию смеси серной и соляной кислот. Графит окисляется и на краях образца появляются карбоксильные группы графена. Их превращают в хлориды при помощи тионилхлорида. Затем под действием октадециламина в растворах тетрагидрофурана, тетрахлорметана и дихлорэтана они переходят в графеновые слои толщиной 0,54 нм. Этот химический метод не единственный, и, меняя органические растворители и химикаты, можно получить нанометровые слои графита.
В статьях описан ещё один химический метод получения графена, встроенного в полимерную матрицу. Следует упомянуть ещё два метода: радиочастотное плазмохимическое осаждение из газовой фазы (англ. PECVD), рост при высоком давлении и температуре (англ.HPHT) . Из этих методов только последний можно использовать для получения плёнок большой площади.
Если кристалл пиролитического графита и подложку поместить между электродами, то, можно добиться того, что кусочки графита с поверхности, среди которых могут оказаться плёнки атомарной толщины, под действием электрического поля могут перемещаться на подложку окисленного кремния. Для предотвращения пробоя (между электродами прикладывали напряжение от 1 до 13 кВ) между электродами также помещали тонкую пластину слюды.
Существует также несколько сообщений, посвящённых получению графена, выращенного на подложках карбида кремния SiC(0001). Графитовая плёнка формируется при термическом разложении поверхности подложки SiC (этот метод получения графена гораздо ближе к промышленному производству), причём качество выращенной плёнки зависит от того, какая стабилизация у кристалла:C- стабилизированная или Si- стабилизированная поверхность — в первом случае качество плёнок выше. В работах та же группа исследователей показала, что, несмотря на то, что толщина слоя графита составляет больше одного монослоя, в проводимости участвует только один слой в непосредственной близости от подложки, поскольку на границе SiC- C из-за разности работ выхода двух материалов образуется нескомпенсированный заряд. Свойства такой плёнки оказались эквивалентны свойствам графена.
3. Дефекты
Идеальный графен состоит исключительно из шестиугольных ячеек. Присутствие пяти- и семиугольных ячеек будет приводить к различного рода дефектам.
Наличие пятиугольных ячеек приводит к сворачиванию атомной плоскости в конус. Структура с 12 такими дефектами одновременно известна под названием фуллерен. Присутствие семиугольных ячеек приводит к образованию седловидных искривлений атомной плоскости. Комбинация этих дефектов и нормальных ячеек может приводить к образованию различных форм поверхности.
4. Возможные применения
Считается, что на основе графена можно сконструировать баллистический транзистор. В марте 2006 года группа исследователей из технологического института штата Джорджии заявила, что ими был получен полевой транзистор на графене, а также квантово-интерференционный прибор. Исследователи полагают, что благодаря их достижениям в скором времени появится новый класс графеновой наноэлектроники с базовой толщиной транзисторов до 10 нм. Данный транзистор обладает большим током утечки, то есть нельзя разделить два состояния с закрытым и открытым каналом.
Использовать напрямую графен при создании полевого транзистора без токов утечки не представляется возможным благодаря отсутствию запрещённой зоны в этом материале, поскольку нельзя добиться существенной разности в сопротивлении при любых приложенных напряжениях к затвору, то есть, не получается задать два состояния пригодных для двоичной логики: проводящее и непроводящее. Сначала нужно создать каким-нибудь образом запрещённую зону достаточной ширины при рабочей температуре (чтобы термически возбуждённые носители давали малый вклад в проводимость). Один из возможных способов предложен в работе. В этой статье предлагается создать тонкие полоски графена с такой шириной, чтобы благодаря квантово-размерному эффекту ширина запрещённой зоны была достаточной для перехода в диэлектрическое состояние (закрытое состояние) прибора при комнатной температуре (28 мэВ соответствует ширине полоски 20 нм). Благодаря высокой подвижности (имеется в виду, что подвижность выше чем в кремнии, используемом в микроэлектронике) 104 см²·В−1·с−1 быстродействие такого транзистора будет заметно выше. Несмотря на то, что это устройство уже способно работать как транзистор, затвор к нему ещё не создан.
Другая область применения предложена в статье и заключается в использовании графена в качестве очень чувствительного сенсора для обнаружения отдельных молекул химических веществ, присоединённых к поверхности плёнки. В этой работе исследовались такие вещества, как NH3, CO, H2O, NO2. Сенсор размером 1 мкм × 1 мкм использовался для детектирования присоединения отдельных молекул NO2 к графену. Принцип действия этого сенсора заключается в том, что разные молекулы могут выступать как доноры и акцепторы, что в свою очередь ведёт к изменению сопротивления графена. В работе теоретически исследуется влияние различных примесей (использованных в отмеченном выше эксперименте) на проводимость графена. В работе было показано, что NO2 молекула является хорошим акцептором из-за своих парамагнитных свойств, а диамагнитная молекула N2O4 создаёт уровень близко к точке электронейтральности. В общем случае примеси, молекулы которых имеют магнитный момент (неспаренный электрон), обладают более сильными легирующими свойствами.
Ещё одна перспективная область применения графена — его использование для изготовления электродов в ионисторах (суперконденсаторах) для использования их в качестве перезаряжаемых источников тока. Опытные образцы ионисторов на графене имеют удельную энергоёмкость 32 Вт·ч/кг, сравнимую с таковой для свинцово-кислотных аккумуляторов (30−40 Вт·ч/кг)
Недавно был создан новый тип светодиодов на основе графена (LEC). Процесс утилизации новых материалов экологичен при достаточно низкой цене.
5. Физика
Физические свойства нового материала можно изучать по аналогии с другими подобными материалами. В настоящее время экспериментальное и теоретическое исследование графена сосредоточено на стандартных свойствах двумерных систем: проводимости, квантовом эффекте Холла, слабой локализации и других эффектах, исследованных ранее в двумерном электронном газе.
5.1 Теория
В этом параграфе кратко описываются основные положения теории, некоторые из которых получили экспериментальное подтверждение, а некоторые ещё ждут верификации.
5.1.1 Кристаллическая структура

Кристаллическая решётка графена представляет собой плоскость, состоящую из шестиугольных ячеек, то есть является двумерной гексагональной кристаллической решёткой. Для такой решётки известно, что её обратная решётка тоже будет гексагональной. В элементарной ячейке кристалла находятся два атома, обозначенные A и B. Каждый из этих атомов при сдвиге на вектора трансляций (любой вектор вида
, где m и — любые целые числа) образует подрешётку из эквивалентных ему атомов, то есть свойства кристалла независимы от точек наблюдения, расположенных в эквивалентных узлах кристалла. На рисунке 3 представлены две подрешётки атомов, закрашенные разными цветами: зелёным и красным.
Расстояние между ближайшими атомами углерода в шестиугольниках, обозначенное a0, составляет 0,142 нм. Постоянную решётки (a) можно получить из простых геометрических соображений. Она равна
, то есть 0,246 нм. Если определить за начало координат точку, соответствующую узлу кристаллической решётки (подрешётка A), из которой начинаются векторы трансляций:
с длиной векторов, равной a, и ввести двумернуюдекартову систему координат в плоскости графена с осью ординат, направленной вверх, и осью абсцисс, направленной по отрезку, соединяющему соседние узлы A и B, то тогда координаты концов векторов трансляций, начинающихся из начала координат, запишутся в виде:
![]()
а соответствующие им вектора обратной решётки:
![]()
(без множителя 2π). В декартовых координатах положение ближайших к узлу подрешётки A (все атомы которой на рисунке 3 показаны красным) в начале координат, атомов из подрешётки B (показаны соответственно зелёным цветом) задаётся в виде:
![]()
5.1.2 Зонная структура

Кристаллическая структура материала находит отражение во всех его физических свойствах. В особенности сильно от порядка, в котором расположены атомы в кристаллической решётке, зависит зонная структура кристалла.
Зонная структура графена рассчитана в статье(1) в приближении сильно связанных электронов. На внешней оболочке атома углерода находится 4 электрона, три из которых образуют связи с соседними атомами в решётки при перекрывании ²-гибридизированных орбиталей, а оставшийся электрон находится в 2pz-состоянии (именно это состояние отвечает в графите за образование межплоскостных связей, а в графене — за образование энергетических зон). В приближении сильно связанных электронов полная волновая функция всех электронов кристалла записывается в виде суммы волновых функций электронов из разных подрешёток
![]()
где коэффициент λ — некий неизвестный (вариационный) параметр, который определяется из минимума энергии. Входящие в уравнение волновые функции φ1 и φ2 записываются в виде суммы волновых функций отдельных электронов в различных подрешётках кристалла
![]()
![]()
Здесь
и
— радиус-векторы, направленные на узлы кристаллической решётки, а
и
— волновые функции электронов, локализованных вблизи этих узлов.
В приближении сильно связанных электронов интеграл перекрытия (γ0), то есть сила взаимодействия, быстро спадает на межатомных расстояниях. Другими словами — взаимодействие волновой функции центрального атома с волновыми функциями атомов, расположенных на зелёной окружности (см. Рис. 4), вносит основной вклад в формирование зонной структуры графена.
Энергетический спектр электронов в графене имеет вид (здесь учтены только ближайшие соседи, координаты которых задаются по формуле (1.3))
![]()
где знак «+» соответствует электронам, а «-» — дыркам.
5.1.3 Линейный закон дисперсии

Из уравнения (2.4) следует, что вблизи точек соприкосновения валентной зоны и зоны проводимости (K и K') закон дисперсии для носителей (электронов) в графене представляется в виде:
![]()
Где vF — скорость Ферми (экспериментальное значение vF =106 м/с) , k — модуль волнового вектора в двумерном пространстве с компонентами
отсчитанного от K или K ' точек Дирака,
— постоянная Планка. Здесь следует отметить, что такого рода спектром обладает фотон, поэтому говорят, что квазичастицы (электроны и дырки, энергия для которых выражается формулой
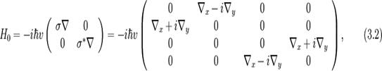
) в графене обладают нулевой эффективной массой. Скорость Ферми vF играет роль «эффективной» скорости света. Так как электроны и дырки — фермионы, то они должны описываться уравнением Дирака, но с нулевой массой частиц и античастиц (аналогично уравнениям для безмассовых нейтрино). Кроме того, так как графен — двухдолинный полуметалл, то уравнение Дирака должно быть модифицировано для учёта электронов и дырок из разных долин (K, K'). В итоге мы получим восемь дифференциальных уравнений первого порядка, которые включают такие характеристики носителей, как принадлежность к определённой подрешётке (A, B) кристалла, нахождение в долине (K, K') и проекцию спина. Решения этих уравнений описывают частицы с положительной энергией (электроны) и античастицы с отрицательной энергией (дырки). Обычно спин электрона не принимают во внимание (когда отсутствуют сильные магнитные поля) и гамильтониан уравнения Дирака записывается в виде:

где
— вектор-строка, состоящая из матриц Паули.
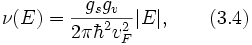
Линейный закон дисперсии приводит к линейной зависимости плотности состояний от энергии, в отличие от обычных двумерных систем с параболическим законом дисперсии, где плотность состояний не зависит от энергии. Плотность состояний в графене задаётся стандартным способом

где выражение под интегралом и есть искомая плотность состояний (на единицу площади):
![]()
Где gs и gv — спиновое и долинное вырождение соответственно, а модуль энергии появляется, чтобы описать электроны и дырки одной формулой. Отсюда видно, что при нулевой энергии плотность состояний равна нулю, то есть отсутствуют носители (при нулевой температуре).
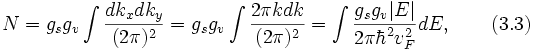
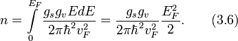
Концентрация электронов задаётся интегралом по энергии

Где EF — уровень Ферми. Если температура мала по сравнению с уровнем Ферми, то можно ограничиться случаем вырожденного электронного газа

Концентрацией носителей управляют с помощью затворного напряжения. Они связаны простым соотношением
(при толщине диэлектрика 300 нм).
Здесь также следует обратить внимание на тот факт, что появление линейного закона дисперсии при рассмотрении гексагональной решётки не является уникальной особенностью для данного типа кристаллической структуры, а может появляться и при существенном искажении решётки вплоть до квадратной решётки.
5.1.4 Эффективная масса
Благодаря линейному закону дисперсии эффективная масса электронов и дырок в графене равна нулю. Но в магнитном поле возникает другая масса, связанная с движением электрона по замкнутым орбитам и называемая циклотронной массой. Связь между циклотронной массой и энергетическим спектром для носителей в графене получается из следующего рассмотрения. Энергия уровней Ландау для уравнения Дирака задаётся в виде
![]()
где «±» соответствует спиновому расщеплению. Плотность состояний в графене осциллирует как функция обратного магнитного поля, и её частота равна
![]()
Где S(E) = πk2 — площадь орбиты в пространстве волновых векторов на уровне Ферми. Осциллирующий характер плотности состояний приводит к осцилляциям магнетосопротивления, что эквивалентно эффекту Шубникова — де Гааза в обычных двумерных системах. Исследуя температурную зависимость амплитуды осцилляций, находят циклотронную массу носителей.
Из периода осцилляций также можно определить концентрацию носителей
![]()
Циклотронная масса связана с площадью орбиты следующим соотношением
![]()
Если принять во внимание линейный закон дисперсии для носителей в графене (3.1), то зависимость эффективной массы от концентрации задаётся формулой

Согласие этой корневой зависимости с экспериментальными результатами стало доказательством линейности закона дисперсии в графене
5.1.5 Хиральность и парадокс Клейна
Рассмотрим часть гамильтониана для долины K (см. формулу (3.2)):
![]()
Матрицы Паули здесь не имеют отношения к спину электрона, а отражают вклад двух подрешёток в формирование двухкомпонентной волновой функции частицы. Матрицы Паули являются операторами псевдоспина по аналогии со спином электрона. Данный гамильтониан полностью эквивалентен гамильтониану для нейтрино, и, как и для нейтрино, существует сохраняющаяся величина проекции спина (псевдоспина для частиц в графене) на направление движения — величина, называемая спиральностью (хиральностью). Для электронов хиральность положительна, а для дырок — отрицательна. Сохранение хиральности в графене приводит к такому явлению, как парадокс Клейна. В квантовой механике с этим явлением связано нетривиальное поведение коэффициента прохождения релятивистской частицей потенциальных барьеров, высота которых больше, чем удвоенная энергия покоя частицы. Частица более легко преодолевает более высокий барьер. Для частиц в графене можно построить аналог парадокса Клейна с той разницей, что не существует массы покоя. Можно показать, что электрон преодолевает с вероятностью, равной единице, любые потенциальные барьеры при нормальном падении на границу раздела. Если падение происходит под углом, то существует некоторая вероятность отражения. Например, обычный p-n переход в графене является таким преодолимым барьером. В целом парадокс Клейна приводит к тому, что частицы в графене трудно локализовать, что в свою очередь приводит, например, к высокой подвижности носителей в графене. Недавно были предложены несколько моделей, позволяющих локализовать электроны в графене. В работе впервые продемонстрирована квантовая точка из графена и измерена кулоновская блокада при 0,3 К.
5.2 Эксперимент
Подавляющее большинство экспериментальных работ посвящено графену, полученному отшелушиванием объёмного кристалла пиролитического графита.
5.2.1 Проводимость
Теоретически показано, что основное ограничение на подвижность электронов и дырок в графене (на Si подложке) возникает из-за заряженных примесей в диэлектрике (SiO2), поэтому сейчас ведутся работы по получению свободновисящих плёнок графена, что должно увеличить подвижность до 2×106 см²·В−1·c−1. В настоящее время максимальная достигнутая подвижность составляет 2×105 см²·В−1·c−1; она была получена в образце, подвешенном над слоем диэлектрика на высоте 150 нм (часть диэлектрика была удалена с помощью жидкостного травителя). Образец с толщиной в один атом поддерживался при помощи широких контактов. Для улучшения подвижности образец подвергался очистке от примесей на поверхности посредством пропускания тока(41), который нагревал весь образец до 900 К в высоком вакууме.
Идеальную двумерную плёнку в свободном состоянии нельзя получить из-за её термодинамической нестабильности. Но если в плёнке будут дефекты или она будет деформирована в пространстве (в третьем измерении), то такая «неидеальная» плёнка может существовать без контакта с подложкой(42). В эксперименте(43) с использованием просвечивающего электронного микроскопа было показано, что свободные плёнки графена существуют и образуют поверхность сложной волнистой формы, с латеральными размерами пространственных неоднородностей около 5—10 нм и высотой 1 нм. В статье(44) было показано, что можно создать свободную от контакта с подложкой плёнку, закреплённую с двух краёв, образуя, таким образом, наноэлектромеханическую систему. В данном случае подвешенный графен можно рассматривать как мембрану, изменение частоты механических колебаний которой предлагается использовать для детектирования массы, силы и заряда, то есть использовать в качестве высокочувствительного сенсора.
Подложка кремния с диэлектриком, на котором покоится(2) графен, должна быть сильно легирована, чтобы её можно было использовать в качестве обратного затвора, при помощи которого можно управлять концентрацией и даже изменять тип проводимости. Поскольку графен является полуметаллом, то приложение положительного напряжения к затвору приводит к электронной проводимости графена, и напротив — если приложить отрицательное напряжение, то основными носителями станут дырки, поэтому в принципе нельзя обеднить полностью графен от носителей. Заметим, что если графит состоит из нескольких десятков слоёв, то электрическое поле достаточно хорошо экранировано, как и в металлах, огромным количеством носителей в полуметалле(15).
В идеальном случае, когда отсутствует легирование и затворное напряжение равно нулю, не должно быть носителей тока (см. плотность состояний), что, если следовать наивным представлениям, должно приводить к отсутствию проводимости. Но как показывают эксперименты и теоретические работы(45)(46)(47), вблизи дираковской точки или точки электронейтральности для дираковских фермионов существует конечное значение проводимости, хотя величина минимальной проводимости зависит от метода расчёта. Эта идеальная область не изучена просто потому, что нет достаточно чистых образцов. В действительности все плёнки графена соединены с подложкой, и это приводит к неоднородностям, флуктуациям потенциала, что ведёт к пространственной неоднородности типа проводимости по образцу, поэтому даже в точке электронейтральности концентрация носителей теоретически не меньше чем 1012 см−2. Здесь проявляются отличие от обычных систем с двумерным электронным или дырочным газом, а именно отсутствует переход металл-диэлектрик.
5.2.2 Квантовый эффект Холла
Впервые необычный (англ. unconventional) квантовый эффект Холла наблюдали в работах, где было показано, что носители в графене действительно обладают нулевой эффективной массой, поскольку положения плато на зависимости недиагональной компоненты тензора проводимости соответствовали полуцелым значениям холловской проводимости
в единицах 4e2 / h (множитель 4 появляется из-за четырёхкратного вырождения энергии), то есть
Это квантование согласуется с теорией квантового эффекта Холла для дираковских безмассовых фермионов. Сравнение целочисленного квантового эффекта Холла в обычной двумерной системе и графене см. на рисунке 6. Здесь показаны уширенные уровни Ландау для электронов (выделение красным цветом) и для дырок (синий цвет). Если уровень Ферми находится между уровнями Ландау, то на зависимости холловской проводимости σxy наблюдается ряд плато. Эта зависимость отличается от обычных двумерных систем (аналогом может служить двумерный электронный газ в кремнии, который является двухдолинным полупроводником в плоскостях, экв