Делители мощности на микрополосковой линии
Курсовая работа
Тема:
"Делители мощности на МПЛ"
1. Краткая теория
В настоящее время область применения радиоэлектронных средств расширяется, комплексы радиосистем становятся все более сложными, это полностью относится и к радиотехнике СВЧ диапазона. В связи с расширением физических возможностей радиоэлектронной аппаратуры во многих случаях необходимо не только излучать и принимать СВЧ сигнал, но также производить его обработку и преобразование, поэтому усложняются СВЧ схемы и в прежнем исполнении становятся громоздкими, поэтому возникает необходимость создания миниатюрных схем работающих в СВЧ диапазоне.
Миниатюризация схемных решений радиоаппаратуры в настоящее время реализуется с помощью гибридных пленочных и твердотельных микросхем. Наибольшие успехи в этом плане были достигнуты в области низких частот. Однако методы конструирования и технология изготовления низкочастотных схем не могут быть перенесены на схемы СВЧ диапазона, так как между этими устройствами в микроисполнении существует большое количество различий.
К радиотехническим устройствам СВЧ-диапазона предъявляются жесткие требования по снижению себестоимости, повышению надежности, уменьшению габаритов и веса. Сегодня вес и габариты стали факторами, ограничивающими применение СВЧ аппаратуры, особенно в мобильных установках – на борту наземного и водного транспорта, не говоря уже о летательных аппаратах. Поэтому использование миниатюризации и миниатюризации элементов и узлов на СВЧ в современной радиоэлектронике является актуальной задачей.
По сравнению с обычной аппаратурой микрополосковые и полосковые схемы более трудоемки в разработке, поскольку связь между элементами схемы за счет краевых полей и полей излучения более трудно поддается учету, расчет многих элементов схемы производится приближенно, а подстройка готовых схем затруднена. Окончательные размеры схем приходится отрабатывать путем перебора множества вариантов. Широкое развитие и распространение полосковой и микрополосковой техники обусловлено тем, что к ее изготовлению можно применить технологию печатных плат, например, травление печатных проводников или вакуумное напыление.
Применение интегральной технологии позволяет с успехом решать задачи по созданию АФУ при весьма жестких и противоречивых требованиях к электродинамическим, аэродинамическим, габаритным, весовым, стоимостным, конструктивным и другим параметрам.
1.1 Мосты и делители мощности
В технике СВЧ мостовые схемы обычно используются как делители мощности на два канала (в равных отношениях при высокой развязке между ними) и как балансные смесители с высокой развязкой между входными каналами. При использовании мостовой схемы в качестве делителя, энергия подается в плечо 1, распределение мощности энергии происходит в равном соотношении между плечами 2 и 4, а при подаче мощности в плечо 2 энергия распределяется между плечами 1 и 3. В первом случае в плече 3, а во втором – в плече 4 устанавливается оконечная нагрузка. При использовании мостовой схемы в качестве смесителя энергия подается в плечи 1 и 3, выходными плечами будут 2 и 4.
1.2 Кольцевые и шлейфные мостовые схемы
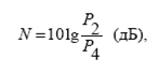
Мостовые схемы в виде кольца характеризуются следующими основными параметрами:
– развязкой между каналами, которая определяется по формуле

где Р2 и Р4 – величины мощностей на выходных каналах (при подаче мощности в 1 канал);
– делением мощности по выходным каналам.
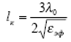
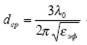
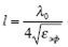
Расчет мостовой схемы сводится к определению среднего диаметра dср и ширины кольца bк при заданных значениях волнового сопротивления Z0 питающей линии и рабочей длине волны λ0. Расстояние между осями должно быть
, а по длинной стороне
. Длина средней линии кольца определяется из формулы
из этой формулы
.
Волновое сопротивление кольца Zк определяется из соотношения
.

Рис. 1. Конструкция кольцевого моста
Ширина полоски кольца Wк определяется аналогично ширине основной полоски. Для большей компактности мостовую схему можно выполнить в виде прямоугольника.

Рис. 2. Конструкция шлейфного моста
Такая схема называется шлейфной. Размеры прямоугольника определяются по формуле
![]()
Волновое сопротивление полосок прямоугольной мостовой схемы определяется из выражения
![]()
Ширина полоски шлейфа определяется аналогично ширине основной полоски по формуле.
1.3 Бинарные делители мощности
Бинарным делителем мощности (БДМ) называют 2|1+N|-полюсник, содержащий N-1 делителей, каждый из которых делит мощность пополам. Одиночные делители в общем случае соединены между собой одинаковыми отрезками линий длиной lc. В частных случаях lc = 0 и делители соединяются между собой непосредственно. Структура БДМ определяется числом N = 2n (n = 1, 2, 3, …) каналов деления. При этом: n = 1; N = 2 – одиночный делитель; (2 × 3) – полюсник; n = 2; N = 4 – четырехканальный БДМ; (2 × 5) – полюсник; n = 3; N = 8 – восьмиканальный БДМ; (2 × 9) – полюсник и т.д.
Мы будем рассматривать БДМ, состоящий из одинаковых звеньев; БДМ из неодинаковых звеньев рассчитываются иными методами. Широко распространенный вариант реализации БДМ содержит одинаковые кольцевые делители мощности (КДМ).
![]()
где функция вносимого затухания
при этом

l– длина отрезков линии передачи, коэффициент n определяется выбранным числом каналов N = 2n.
Отсюда следует, что с увеличением N расширяется полоса пропускания и увеличивается величина пульсаций; наличие соединительных линий приводит к расширению полосы пропускания по согласованию. Наибольший эффект достигается при
, ![]()
Свойства БДМ, построенного на одинаковых КМД, можно рассмотреть на примере четырехканального (N = 4) делителя. Сравнительная оценка БДМ и КДМ показывает, что переходное затухание БДМ равно удвоенному переходному затуханию одиночной КДМ; развязка между выходными плечами разных КДМ, входящих в БДМ, больше развязки между выходными плечами КДМ на величину переходного затухания; развязка между выходными плечами, принадлежащими одним и тем же КДМ (в составе БДМ), больше, чем между теми же плечами в случае одиночных КДМ.
На центральной частоте мощность, поступающая в БДМ, делится поровну между каналами. В полосе частот наблюдается неравномерность деления между каналами, которая определяется коэффициентом
![]()
где Р1 и РN – мощности в первом и N-м каналах, определенные на границах полосы пропускания.
Неравномерность деления
находиться по графикам видно, что оптимизация делителя по критерию неравномерности деления требует корректировки переходного затухания НО.
Диссипативные потери в БДМ оцениваются из расчета 0,3 дБ на одну ступень деления.
1.4 Пленочные резисторы
В полосковых схемах резисторы используются в качестве СВЧ элементов, оконечных нагрузок и входят в состав низкочастотных цепей управления и питания. Применяются резисторы двух типов: с сосредоточенными параметрами (много меньше длины волны в линии) и с распределенными параметрами. Предпочтительная форма резистора с сосредоточенными параметрами – прямоугольная. Резистор, включенный в полосковую линию, представляет собой отрезок линии передачи, выполненный из материала с высоким поверхностным сопротивлением. Входное сопротивление резистора
,
где
– номинальное сопротивление резистора (RS – поверхностное сопротивление резистивного участка); С – емкость резистора. При выводе предполагалось, что
; L – индуктивность. Емкость С можно оценить по формуле для плоского конденсатора. В СВЧ резисторах существует распределенная шунтирующая емкость СР, на высоких частотах возникает последовательная индуктивность. В общем случае наличие паразитной емкости приводит к уменьшению сопротивления R1 на высоких частотах по сравнению с R на постоянном токе.
При проектировании резисторов важную роль играет выбор такого перекрытия N, при котором наблюдается стабилизация переходного контактного сопротивления. Рекомендуется для сопротивлений 25…50 Ом N=0.7…0.5 мм; 50…200 Ом N=0.5…0.4 мм; 200…500 Ом N=0.4…0.2 мм. для резисторов у которых b < ω, элемент стыковки с полоской, расширенный по сравнению с его рабочей частью, должен выступать из-под проводниковой пленки на расстояние δ1 в 1,5…2 раза превышающее ошибку на совмещение слоев при изготовлении платы, т.е. Δсм< 0,1 b. Подобные выступы допускаются для резисторов с сопротивлением 50…100 Ом. Ширина проводящей пленки в месте стыковки ее с резистивной должна превышать ширину последней на 2δ (не менее двойного допуска на совмещение слоев). На практике для резисторов устанавливают номинальную ширину 200 мкм, длину 300 мкм (при напылении через маску), длину и ширину 50 мкм, зазоры между резистивными участками 200 и 80 мкм в зависимости от способа изготовления. Малогабаритные пленочные резисторы с сосредоточенными параметрами длиной до 1 мм используются до 18 ГГц, резисторы большей площади – на частотах не более 1–2 ГГц. Одним из способов уменьшения шунтирующей емкости резистора является удаление экранной металлизации под резистором.
1.5 Выбор типа полосковой линии
Таблица 1
| Тип полосковой линии | Сечение полоски | Преимущества | Недостатки |
| Несимметричная полосковая линия (с малым ε = 2…3 подложки) |
| Малые габариты, малый вес, низкая стоимость, не требует крепление | Большие потери, отсутствие экранировки |
| Микрополосковая (с высоким ε > 10) |
Подобные работы: