Расчет и анализ идеального цикла газотурбинных двигателей
Министерство образования и науки Российской Федерации
Пермский государственный технический университет
Аэрокосмический факультет
Кафедра авиационных двигателей
Курсовая работа
Расчет и анализ идеального цикла газотурбинных двигателей
Выполнил: Борисов Е.А.
Группа Ад-08-2
Проверил: Ошевалов М.А.
2010
г. Пермь
Задание на курсовую работу
Исходные данные:
Ø Цикл:
, ![]()
Ø Высота полета: ![]()
Ø Скорость полета: ![]()
Ø Состав топлива: ![]()
Ø Температура перед турбиной: ![]()
Ø Дополнительное задание:
Рассчитать энергетические характеристики цикла с политропным
сжатием в диффузоре. Изобразить цикл на тепловой диаграмме. Объяснить причину изменения термического КПД цикла.
Высота
| Температура
| Бар. давление
| Плотность
| Скорость звука
|
|
|
|
|
|
1. Определение параметров рабочего тела
теплоемкость газовый адиабата энтропия
Расчеты по определению параметров рабочего тела проводят методом последовательных приближений, так как для расчета коэффициента избытка воздуха a нужно знать значение pс, а также значение показателя адиабаты k, зависящее от состава продуктов сгорания, т.е. опять же от значения a.
В первом приближении задаемся показателем адиабаты k и теплоемкостью ср, близкими к соответствующим значениям для воздуха.
Зададимся: ![]()
Определим теоретически необходимое количество воздуха L0, низшую теплоту сгорания топлива Hu
,
где C, H, O – содержание соответственно углерода, водорода и кислорода в массовых долях
,
где C, H, O – содержание соответственно углерода, водорода и кислорода, %
Определим степень повышения давления
,
где
– скорость полета, ![]()
![]()
Определим коэффициент избытка воздуха ![]()

Определим массовый состав продуктов сгорания
![]()
![]()
![]()
![]()
Рассчитаем значения теплоемкостей, показателя адиабаты и газовой постоянной при температурах
и
и находим среднюю
При температуре ![]()
для CО2 ![]()
для H2O![]()
для N2 ![]()
![]()
для О2 ![]()
![]()
При температуре ![]()
для CО2 ![]()
для H2O![]()
для N2 ![]()
для О2 ![]()
![]()
![]()
Определяем удельные газовые постоянные для компонентов рабочего тела
![]()
![]()
![]()
![]()
Определяем удельную газовую постоянную рабочего тела
![]()
Оценим погрешность определения показателя адиабаты ![]()
![]()
Найденное значение показателя адиабаты отличается от заданного менее чем на 2%.
Параметры состояния рабочего тела в начальной точке цикла выбираются в зависимости от высоты полета h.
Давление после компрессора определяем по заданному или рассчитанному ранее значению степени повышения давления pс.
Удельный объем газа по найденным значениям давлений и температур находим из уравнения состояния.
Параметры в точке 0
![]()
![]()
Параметры в точке
2 ![]()
![]()
![]()
Параметры точки 3
![]()
![]()
![]()
Параметры точки 5
![]()
![]()
![]()
Изменение внутренней энергии, энтальпии и энтропии в процессах
Процесс 0-2
![]()
![]()
![]()
Процесс 2-3
![]()
![]()
![]()
Процесс 3-5
![]()
![]()
![]()
Процесс 5-0
![]()
![]()
![]()
Найдем начальное значение энтропии
(при нормальных условиях
![]()
![]()
3. Определение цикловой работы и термического коэффициента полезного действия
Определим количество подведенной теплоты
![]()
![]()
Определим цикловую работу
![]()
Определим термический КПД
![]()
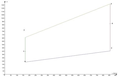
4. Изображение цикла на рабочей и тепловой диаграмме


Рассчитать энергетические характеристики цикла с политропным
сжатием в диффузоре. Изобразить цикл на тепловой диаграмме. Объяснить причину изменения термического КПД цикла.
Для определения изменения КПД цикла необходимо пересчитать значения температур во всех точках цикла с учетом политропного сжатия в диффузоре. При этом принимаем рассчитанные ранее значения степени сжатия в диффузоре и компрессоре.
![]()
![]()
![]()
![]()
Найдем теплоемкость в политропном процессе
![]()
Определим подведенную и отведенную теплоту в цикле и КПД
![]()
![]()
![]()
Для того чтобы построить
диаграмму найдем ![]()

![]()
Термический КПД цикла уменьшился, т.к. сузился диапазон средних температур подвода и отвода теплоты. Средняя температура подвода теплоты возросла, а средняя температура отвода упала.
Был проведен расчет и анализ идеального цикла газотурбинного двигателя, результаты приведены в таблицах, построены тепловые диаграммы P-v и T-s и проведен расчет энергетических характеристик цикла с политропным сжатием в диффузоре.
Параметры рабочего тела в точках цикла
|
|
| |
| 0 | 26500 | 223,2 | 2,399 |
| 2 | 1695930 | 671,1 | 0,11 |
| 3 | 1695930 | 1280 | 0,21 |
| 5 | 26500 | 425,7 | 4,575 |
Энергетические характеристики процессов цикла
|
|
| |
| 0-2 | 351567,468 | 479139,6 | 0 |
| 2-3 | 477916,27 | 651336,188 | 690,69 |
| 3-5 | -670537,449 | -913853,18 | 0 |
| 5-0 | -158946,29 | -216622,6 | -690,69 |
Список использованной литературы
1. Мухачев Г.Н. термодинамика и теплопередача / Г.Н. Мухачев, В.К. Щукин. – М.: Высш. Шк., 1991. – 480 с.