Сетевая подстанция
В данном проекте рассматривается сеть 110 кВ и подстанцию 110/6 кВ.
Электрическими сетями называется совокупность воздушных и кабельных линий электропередачи и подстанции, работающих на определенной территории. Электрическая сеть служит для передачи электроэнергии от места ее производства к местам потребления и распределения ее между потребителями.
Электроэнергетика является основой развития производственных сил в любом государстве. Энергетика обеспечивает бесперебойную работу промышленности, сельского хозяйства, транспорта, коммунальных хозяйств. Стабильное развитие любой отрасли промышленности невозможно без постоянно развивающейся энергетики.
Подстанция – электроустановка, предназначенная для преобразования и распределения электрической энергии. Проектируемые сеть и подстанция будут располагаться в Ишембае
Ишимба́й (башк. Ишемба́й) — город (с 1940) в России, административный центр Ишимбайского района Башкортостана. Население 68,1 тыс. жителей (2008). Город расположен на юге Республики Башкортостан, в 166 км от Уфы, на реках Белая (приток Камы) и Тайрук. Возникновение и экономическое развитие Ишимбая связано с открытием нефтяных месторождений (Второе Баку). Был образован первый в Поволжье и на Урале нефтепромысел (1932), первая нефтеперерабатывающая установка в посёлке Перегонный (1933), нефтеперерабатывающий завод (1936), построена новая железнодорожная ветка Дёма — Стерлитамак — Ишимбаево (1934). В конце 1937 года был введен в строй нефтепровод Ишимбаево — Уфа. В 1932 году у деревни Ишембай, известной с 1815 года, из скважины 702 ударил. Нефтяной промысел имени Кирова, разбросанный на десяток километров, объединил башкирские деревни Ишимбаево, Кусяпкул, Бурансы, задав современные границы города. Возле деревни Ишмбаево на левом берегу Белой возник в 1932 году рабочий посёлок имени С. М. Кирова. На правом берегу недалеко от Бурансы (русское название — Буранчино) в 1933 формировался будущий посёлок Перегонный. С 1934 года Ишимбай — посёлок городского типа, включавший в себя десяток новых рабочих поселений и старые башкирские деревни. С 10 февраля 1940 года Указом Президиума Верховного Совета РСФСР преобразован в город Ишимбай.
· ОАО «Машиностроительная компания „Витязь“» (ИЗТМ), сейчас входит в холдинг «Мобильные Буровые Системы»
· НГДУ «Ишимбайнефть» ОАО «Башнефть» (ОАО Ишимбайнефть)
· OOO «Идель Нефтемаш», Ишимбайский завод нефтепромыслового оборудования
· Ишимбайский специализированный химический завод катализаторов
· Мебельная фабрика
· Электрические сети «Башкирэнерго» (ИЭС «Башкирэнерго»)
· ЗАО ИЧФ, Чулочно-носочная фабрика
· ЗАО ИФТИ, Трикотажная фабрика
· ООО «Кровлестом»
· Ишимбайский участок Уфимского УБР
· Кинокомплекс Икар
· Ишимбайская картинная галерея
· ООО «Башкирский пищевой продукт»
· Ишимбайский хлебокомбинат
· Ишимбайский вино-водочный завод — филиал ГУП «Башспирт»
· Торатау. Год основания 1965. Башкирская версия газ. Восход, с 2000 самостоятельное издание.
· ГородОК Ишимбай. Основан в марте 2008 года. Главный редактор — Егорова, Елена Викторовна.
· Ишимбайская пятница. Основана в 2002. Учредитель — Ф. Х. Живитченко.Сайт
· Подметки. Основана в 1999. Учредители Ильгиз Гильманов, Анвар Умитбаев, Ильдус Ямалов. Сайт
1. Выбор структурной схемы подстанции
Для питания заданной нагрузки с шин низкого напряжения (РУ НН) 10кВ и среднего напряжения (РУ СН) 35кВ, согласно ПУЭ, устанавливают обычно два двухобмоточных трансформатора. Эти трансформаторы должны иметь РПН. Мощность трансформатора выбирается максимальной (max), чтобы при отключений одного трансформатора, второй обеспечивал питание нагрузки и был бы перегружен не более допустимых пределов (Неклипаев. c87), то есть должно выполняться условие:
![]()
, (1)
где,
- максимальная расчетная мощность, МВА.
- номинальная мощность трансформатора, МВА

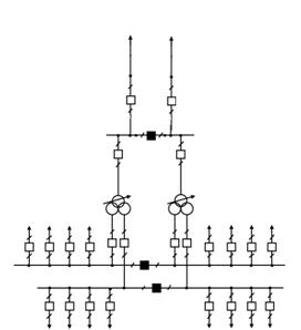
Рис.1. Вариант структурной схемы подстанции
РУ ВН 110 кВ
РУ НН 6 кВ
3. Выбор мощности силовых трансформаторов
, (2)
, (3)
, (4)
где,
- номинальное напряжение высокой стороны трансформатора, кВ;
- номинальное напряжение низкой стороны трансформатора, кВ;
- номинальная мощность трансформатора, МВА;
- напряжение на шинах распределительного устройства, кВ;
- расчетная мощность передаваемая через трансформатор, МВА.
Расчетная мощность
, МВА, определяется по формуле:
![]()
, (1)
где,
- максимальная мощность передаваемая через трансформатор, МВА.
Максимальная мощность на соответствующем напряжении определяется по формуле:
, (5)
Где,
- активная мощность на низком напряжении, МВт;
- коэффициент мощности.
Проверка выбранного трансформатора по перегрузке производится по формуле:
(6)
3.1 Расчет варианта
Максимальная мощность на низком напряжении определяется по формуле (5):
=
МВА,
По условию
=0,7*
=0,7*31,8=27,2 МВА.
Выбирается по Б.Н.Неклепаеву (стр.210) трансформатор типа ТРДН-25000/110
Проверка выбранного трансформатора выполняется по условию (2)-(4).
115 кВ>110 кВ,
11 кВ>6 кВ,
25 МВА>27,2 МВА.
Проверка выбранного трансформатора по перегрузке производится по формуле (6):
,
1,272<1,4.
Таблица 1
Технические данные трансформатора
| Тип трансформатора |
|
| Потери, кВ |
| |||||
| ВН | СН | НН |
|
| ВН-СН | ВН-НН | СН-НН | ||
| ТРДН | 25 | 115 | - | 6,3 | 27 | 120 | - | 10,5 | - |
4. Определение числа линий
4.1 Определение числа линий на воздушных линиях высокого напряжения 110 кВ
Данная подстанция связана с системой по двум воздушным линиям.
4.2 Определение числа линий на кабельных линиях 6 кВ
Расчет числа линий на НН производится по экономической плотности тока;
Максимальный расчетный ток продолжительного режима
,А, определяется по формуле:
(7)
Суммарное экономическое сечение провода
,
, определяется по формуле:
, (8)
где,
- экономическая плотность тока выбирается по Л.Д.Рожковой (стр.233), А/![]()
Число линий n определяется по формуле:
(9)
Где,
- экономическое сечение одной линии, выбирается по ПУЭ (стр.33),
.
Максимальный продолжительный ток одной линии
, А, определяется по формуле:
, (10)
Выбранный кабель проверяется по длительно допустимому току, по условию
Iд.доп. > Iмах1л. (11)
Где,
- длительно допустимый ток берется по ПУЭ (стр.33), А.
4.2.1 Расчет числа линий на НН
Расчет числа линий на НН производится по экономической плотности тока;
Максимальный расчетный ток продолжительного режима определяется по формуле (7):
=
А
Суммарное экономическое сечение провода определяется по формуле (8):
![]()
![]()
![]()
Питание потребителей на низком напряжении осуществляется по кабелям с алюминиевыми жилами, с бумажной пропитанной, маслоканифольной и нестекающими массами изоляций свинцовой оболочки, с сечением токопроводящих жил 150
.
Число линий n определяется по формуле (9):
![]()
л
Принимаем число линий равное десять.
Максимальный продолжительный ток одной линии определяется по формуле (10):
![]()
А.
Выбранный кабель проверяется по длительно допустимому току, по условию (11):
210 А
192 А
Для уменьшения токов короткого замыкания с низкой стороны устанавливаем сдвоенные реакторы.
Iмах6=2900 А
Выбираю сдвоенный реактор типа РБСГ-106-2*1000*0,28
5. Выбор схем распределительных устройств (РУ)
5.1 Выбор на стороне ВН 110 кВ
Эта подстанция является узловой, она имеет 4 присоединений, две воздушных линий и два трансформатора
Исходя из этих условий выбираю следующую схему:
“Одна рабочая, секционированная выключателем система шин ”.
5.2 Выбор на стороне НН 6 кВ
Эта подстанция является узловой, она имеет 12 присоединений, десять кабельных линий и два трансформатора
Исходя из этих условий выбираю следующую схему:
“Две одиночные секционированная выключателем система шин”

6. Технико-экономический расчет
Технико-экономический расчет производится по методу приведенных затрат.
Затраты, тыс.руб., которые определяется по формуле:
З=К
+С; (12)
где, К- капитальные затраты на приобретенный монтаж и наладку оборудования берутся по Б.Н. Неклепаеву ( стр.191 ), тыс.руб;
- нормативный коэффициент эффективности который зависит от срока окупаемости и для энергетики равен 0,12;
С- эксплутационные расходы, тыс.руб.
Эксплутационные расходы С, тыс.руб., определяется по формуле:
С = С1 + С2; (13)
где, С1 - стоимость потерь на электрическую энергию, тыс.руб.;
С2 - амортизационные отчисления на ремонт и обслуживание оборудования, стоимость расходов на заработную плату.
Стоимость потерь на электрическую энергию
, тыс.руб., определяется по формуле:
С1 =
*
; (14)
где,
- стоимость 1 кВт/ч потерянной энергии определяется по М.Н. Околовичу (стр. 79), коп/
;
- потери электрической энергии в трансформаторах, кВт/ч.
Потери электрической энергии в трехобмоточном трансформаторе определяется по формуле:
(15)
Где,
- максимальная мощность передаваемая по обмотке ВН;
- максимальная мощность передаваемая по обмотке СН;
- максимальная мощность передаваемая по обмотке НН.
Стоимость С2 , тыс.руб., определяется по формуле:
С2 =0,09К (16)
При расчете капитальных затрат К, тыс.руб., учитывается только разница в оборудовании, рассматриваемых вариантов.
6.1 Расчет
Капитальные затраты определяются по стоимости отдельных элементов схемы подстанций. Расчет стоимости трансформаторов из Л.Д. Рожковой (стр.336-338), стоимости ячеек РУ разного напряжения из Л.Д. Рожковой (стр.333-334)
Данные расчетов капитальных затрат сведены в таблицу.
Таблица 2
Капитальные затраты
| Оборудование | Стоимость ед. тыс. руб. | Количество | Суммарная стоимость |
| ТРДН-25000/110 | 84*30 | 2 | 5040 |
| Ячейка ОРУ 110 кВ | 36*30 | 2 | 2160 |
| Ячейка ОРУ 6 кВ | 3,9*30 | 24 | 2808 |
ИТОГО | 10008 |
Потери электрической энергии в трехобмоточном трансформаторе определяется по формуле (15):
кВт/ч
Стоимость потерь на электрическую энергию, тыс.руб., определяется по формуле (14):
С1 = 2*80*738000*0,00001=1180,8 т. руб.
Стоимость С2 , тыс. руб., определяется по формуле (16):
С2 = 0,9*10008 = 9007,2 т. руб.
Эксплуатационные расходы, определяются по формуле (13):
С= 1180,8 +9007,2 =10188 т. руб.
Затраты, тыс. руб., которые определяется по формуле (12):
З = 0,12*10008+10188=11388,96 т.руб.
сетевой подстанция трансформатор электроснабжение
7. Выбор схемы электрического снабжения собственных нужд и трансформаторов собственных нужд
На подстанциях устанавливается два трансформатора собственных нужд. На подстанциях с оперативным током устанавливается трансформаторы собственных нужд, присоединенные через выключатели к шинам РУ 6 кВ. Мощность трансформаторов собственных нужд выбирается по нагрузкам собственных нужд с учетом коэффициента загрузки и одновременности, при этом отдельно учитываются летние и зимние нагрузки, а так же нагрузка в период ремонтных работ на подстанциях.
Мощность трансформаторов собственных нужд
,кВА, выбирается по условию:
(17)
Расчетная мощность
,кВА, определяется по формуле:
(18)
где,
- коэффициент спроса, учитывающий коэффициент одновременности и загрузки, берется по Л.Д. Рожковой ( стр.475)
,
- расчетные нагрузки собственных нужд с учетом летних и зимних нагрузок, кВт и кВАР.
7.1 Выбор
Таблица 3
Нагрузка собственных нужд подстанций
| Вид потребителя | Установленная мощность |
|
| Нагрузка | ||
| Единиц кВт*количество | ВсегокВт |
|
| |||
| Охлаждение ТДТН 25000/110 | 2*2,5 | 5 | 0,9 | 0,48 | 5 | 1,3 |
| Подогрев приводов выключателей:110кВ | 1,8*2 | 3,6 | 1 | 0 | 3,6 | 0 |
| Подогрев приводов разъединителей:110кВ | 0,6*6 | 3,6 | 1 | 0 | 3,6 | 0 |
| Отопление, освещение, вентиляция ЗРУ совмещенная с ОПУ | 100 | 100 | 1 | 0 | 100 | - |
| Здание разъездного персонала | - | 5,5 | 0,85 | 0,62 | 4,5 | 2,8 |
| ОсвещениеОРУ 110 кВ | 2 | 2 | 1 | 0 | 2 | - |
| Масло хозяйство | - | 100 | 0,85 | 0,62 | 85 | 52,7 |
| Подзарядный агрегат | 2*23 | 46 | 1 | 0 | 46 | - |
| Аварийные ремонтные нагрузки | - | 26 | 0,85 | 0,62 | 22,1 | 13,7 |
| Итого | 271,8 | 70,5 | ||||
кВА.
Выбирается 2 трансформатора по Б.Н. Неклепаеву типа ТСЗ-240/10, они будут подключены к шинам НН.
Проверка выбранного трансформатора производится по условиям (2)-(4).
10кВ=6кВ,
0,4кВ=0,4кВ,
400кВА>280,8кВА.
Проверка выбранного трансформатора перегрузке производится по формуле (6):
![]()
1,17
1,4
8. Расчет токов короткого замыкания
Расчет токов короткого замыкания в данном проекте необходим для выбора и проверки выключателей, разъединителей, измерительных трансформаторов, токоведущих частей, расчета релейной защиты и заземляющего устройства. Он сводится к определению начального значения периодической составляющей тока КЗ, величины ударного тока и значений периодической и апериодической составляющих тока КЗ в момент отключения (момент времени
).
Для упрощения расчетов не учитывают:
- активное сопротивление цепи, считая его чисто индуктивным;
- насыщение магнитных систем;
- намагничивающие токи силовых трансформаторов;
- Не идеальность системы.
8.1 Расчетная схема подстанции
Под расчетной схемой подстанции понимают упрощенную однолинейную схему станции с указанием всех элементов и их параметров, которые влияют на ток КЗ и поэтому должны быть учтены при выполнении расчетов.
8.2 Схема замещения подстанции
Схемой замещения называется электрическая схема, соответствующая по исходным данным расчетной схеме, но в которой все магнитные (трансформаторные), связи заменены электрическими.
8.3 Расчет сопротивлений
Расчет сопротивлений производится в именованных единицах. Все сопротивления приводятся к базовому напряжению Uб =115 кВ
Сопротивление энергосистемы
определяется по формуле:
(19),
где, Uб – базовое напряжение, МВА.
, Ом
Сопротивление линии электрических передач определяется по формуле:
(20)
где,
- среднее удельное индуктивное сопротивление воздушной линии, берется по Л.Д. Рожковой (стр.130), Ом/км,
- длина линии, км,
- среднее напряжение в месте установки данного элемента, кВ.
,Ом;
Хл=Х2= Х3=8 Ом.
Сопротивление трансформатора
определяется по формуле:
(21)
;
;
;
=
Ом;
Ом;
8.4 Расчет токов короткого замыкания в точке К1.(Шины 110 кВ)
=
=4Ом;
=
=10,6 Ом;
Таким образом, начальное значение периодической составляющей токов короткого замыкания,
, кА, определяется по формуле:
(22)
где,
- относительное ЭДС источника, берется по Л.Д. Рожковой,
- результирующие сопротивление ветви схемы;
- базовый ток, кА.
Базовый ток определяется по формуле:
(23)
где,
- среднее напряжение в точке короткого замыкания., кВ.
Апериодическая составляющая тока короткого замыкания
, кА, определяется по формуле:
(24)
где,
- определяется по кривым затухания апериодической составляющей тока короткого замыкания по Л.Д. Рожковой (стр.151).
Расчетное время для которого требуется определение токов короткого замыкания
, с, определяется по формуле:
(25)
где,
- собственное время выключателя, с.
Для современного выключателя собственное время выключения равно:
=0,01
0,05
Ударный ток короткого замыкания
, кА, определяется по формуле:
(26)
где,
- ударный коэффициент, выбирается по Л.Д. Рожковой (стр.150).
Периодическая составляющая тока короткого замыкания
, для источника бесконечной мощности определяется по формуле:
(27)
кА
кА
кА
кА
Все оставшиеся точки короткого замыкания рассчитываются аналогично первой точке. Все результаты расчетов занесены в таблицу.
Таблица 4
Результаты расчетов тока
| Точка короткого замыкания |
|
|
|
| |
| К1. Шины 110 Кв | 6,3 | 0,89 | 14,3 | 6,3 | |
| К2.Шины6 кВ | Выключатель отключен | 24,2 | 6,2 | 64,9 | ???????-????????????? ??????????? ?????? ???????? ???????????????? ????????? ??????????????? ? ?????????????? ????????????? ? ??????????? ???????? ???????????????? ? ??????????????????? ??????? ????????????????? ?????????? ???????????????? ??????????? ?????? ??????
Актуально:
|