Застосування симетричних многочленів
Сумський держаний педагогічний університет імені А. С. Макаренка
Кафедра математики
КУРСОВА РОБОТА
з алгебри
на тему: «ЗАСТОСУВАННЯ СИМЕТРИЧНИХ МНОГОЧЛЕНІВ»
Студенки 3 курсу 432 групи
напряму підготовки 0402 фізико-математичних наук
спеціальності 6.040203 математика
Рудченко Олени Володимирівни
Керівник викладач кафедри математики
Друшляк Марина Григорівна
м. Суми – 2010 р.
ЗМІСТ
ВСТУП
РОЗДІЛ I. ТЕОРЕТИЧНІ ПОЛОЖЕННЯ ПРО СИМЕТРИЧНІ МНОГОЧЛЕНИ ТА ЇХ ВЛАСТИВОСТІ
1.1 Загальні поняття про симетричний многочлен
1.2 Властивості симетричних многочленів
РОЗДІЛ IІ. ЗАСТОСУВАННЯ СИМЕТРИЧНИХ МНОГОЧЛЕНІВ
2.1 Розв’язування систем рівнянь
2.2 Доведення тотожностей
2.3 Звільнення від ірраціональності
2.4 Вилучення коренів
ВИСНОВКИ
СПИСОК ВИКОРИСТАНИХ ДЖЕРЕЛ
Важливе місце в курсі алгебри посідають симетричні многочлени та, зокрема, застосування симетричних многочленів при розв’язуванні рівнянь, систем рівнянь, вилучення коренів, доведення тотожностей, звільнення від ірраціональності у дробах тощо. Цими питаннями займалися багато вчених, зокрема, Франсуа Вієт.
Франсуа Вієт розробив ряд важливих питань теорії рівнянь 1 — 4 степенів. Він сформулював і довів кілька теорем про взаємозв'язки між коренями і коефіцієнтами рівнянь, зокрема, й теорему про зведене квадратне рівняння (теорема Вієта). На сьогоднішній день теорема Вієта є необхідною і важливою частиною шкільної програми.
Дана курсова робота складається з вступу, двох розділів, висновків і списку використаних джерел. Перший розділ «Теоретичні положення про симетричні многочлени та їх властивості» складається з двох параграфів. Вони присвячені загальним поняттям та основним властивостям симетричних многочленів. Другий розділ «Застосування симетричних многочленів» містить в собі приклади застосування симетричних многочленів на практиці. Розділ складається з чотирьох параграфів. Вони присвячені застосування симетричних многочленів до розв’язуванні систем рівнянь, доведення тотожностей, звільнення від ірраціональності у дробах та вилучення коренів.
властивість рівняння симетричний многочлен
РОЗДІЛ I. ТЕОРЕТИЧНІ ПОЛОЖЕННЯ ПРО СИМЕТРИЧНІМНОГОЧЛЕНИ ТА ЇХ ВЛАСТИВОСТІ
1.1 Загальні поняття про симетричний многочлен
Серед найбільш важких завдань на розв’язання систем рівнянь вищих степенів є наступні:
![]()
![]()
![]()

Усі ці системи мають одну загальну властивість - ліві частини рівнянь є многочленами, у які x і y входять однаковим способом.
Означення.Многочлен від x і y називають симетричним, якщо він не змінюється при заміні x на y, та y на x.
Означення.Симетричний многочлен — многочлен від n змінних F(x1, x2, …, xn), що не змінюється при всіх перестановках змінних. Тобто многочлен F є R (x1, x2, …, xn) від n змінних над комутативним кільцем R є симетричним якщо для довільної перестановки.
![]()
Справедлива рівність: F(x1, x2, …, xn)
Симетричні многочлени утворюють підалгебру R-алгебри R (x1, x2, …, xn) многочленів від n змінних над кільцем R.
Многочлен x2y + xy2 - симетричний. Навпаки, многочлен x3 - 3y2 не є симетричним: при заміні x на y, а y на x він перетворюється на многочлен y3 - 3x2, який не збігається з первинним.
Приведемо найважливіші приклади симетричних многочленів. Як відомо з арифметики, сума двох чисел не міняється при перестановці доданків, тобто:
x + y = y + x
для будь-яких чисел x і y. Ця рівність показує, що многочлен x + y є симетричним. Так само із закону комутативності множення xy = yx
витікає, що добуток xy є симетричним многочленом. Симетричні многочлени x + y і xy є найпростішими. Їх називають елементарними симетричними многочленами від x і y. Для них використовують спеціальні позначення:
![]()
Кожен многочлен від основних симетричних, є симетричним.
Окрім
і
, часто зустрічаються так звані степеневі суми, тобто многочлени x2 + y2, x3 + y3, . . ., xn + yn, . . . Прийнято означати многочлен xn + yn через sn. Таким чином,
![]()
![]()
![]()
![]()
. (1)
Ця формула дозволяє послідовно знаходити Sn через
і
. Так за допомогою цієї формули можна послідовно знайти:
![]()
;

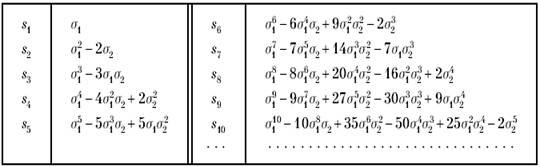
і т . д. У таблиці 1 зведені вирази степеневих сум s1, s2, . . ., s10 через і ці вирази будуть нам корисні при розв’язанні задач.
Таблиця 1 Вираження степеневих сум sn = xn + yn через ![]()

1.2 Властивості симетричних многочленів
Встановимо тепер деякі елементарні властивості довільних симетричних многочленів.
1. Сума, різниця і добуток симетричних многочленів над деяким полем Р є симетричними многочленами над цим полем.
Це твердження очевидне.
Наслідок.
Множина всіх симетричних многочленів над полем Р утворює область цілісності з одиницею відносно дій додавання і множення. Зрозуміло, що це кільце є підкільцем всіх многочленів над полем Р.
2. Якщо симетричний многочлен f (x1, x2, …, xn) містить деякий член
(2)
то він містить і член, утворений з (2) внаслідок будь-якої перестановки показників
.
Доведення. Оскільки, як відомо, від довільної перестановки показників
до всякої іншої перестановки цих показників можна перейти за допомогою скінченного числа транспозицій, то досить показати, що при транспозиції довільних двох показників степенів у члені (2) ми дістаємо знову деякий член симетричного многочлена
f (x1, x2, …, xn)
Виконуючи, наприклад, транспозицію показників ,
та
, матимемо член
(3)
За означенням симетричного многочлена
f (
,
, …,
xn) = f (
,
, …,
xn)
Але другий з цих многочленів повинен містити член (3), бо його дістаємо з члена (2) заміною
на
і навпаки. Тому внаслідок єдиності канонічної форми і даний многочлен повинен містити член (3).
Наслідок. Якщо
(4)
є вищий член симетричного многочлена, то
.
Доведення.Справді, припустимо супротивне, тобто що при якомусь
. На підставі властивості 2 даний многочлен разом з членом (4) містить і член
(5)
Але з умови
випливає, що член (5) вищий за член (4), тобто член (4) не може бути вищим у многочлені. Ця суперечність доводить наше твердження.
Також можна сформулювати таку важливу властивість симетричних многочленів, яку називають основною теоремою.
Теорема1 (Основна теорема теорії симетричних многочленів): Всякий симетричний многочлен f (x1, x2, …, xn) від п змінних над полем Р можна подати у вигляді многочлена від основних симетричних функцій
цих змінних, коефіцієнти якого належать тому самому полю Р. І таке зображення єдине.
Доведення. Зробимо насамперед такі зауваження.
1) Усіх членів певного степеня L, утворених з даних змінних x1, x2, …, xn (не враховуючи подібних), може бути лише скінченне число; це число, очевидно, дорівнює числу способів, якими можна подати як суму n невід'ємних цілих упорядкованих доданків.
2) Теорему досить довести для однорідних симетричних многочленів, бо всякий симетричний многочлен можна подати як суму однорідних симетричних многочленів. Справді, всякий многочлен є сумою однорідних многочленів. Якщо ж даний многочлен симетричний, то й кожний складовий однорідний многочлен повинен бути симетричний, бо при переставлянні змінних x1, x2, …, xn кожний член може перейти лише в член того самого степеня, тобто в інший член того самого однорідного складового многочлена.
3) Вищий член
будь-якого симетричного многочлена можна подати як вищий член деякого добутку основних симетричних функцій ![]()
Справді, розглянемо добуток
(6)
За наслідком з властивості 2, всі степені ![]()
— невід'ємні числа, тому (6) є многочленом від x1, x2, …, xn. За лемою, вищий член цього многочлена дорівнює добутку вищих членів многочленів
(причому піднесення до степеня слід розглядати як множення однакових многочленів). Оскільки вищі члени
дорівнюють відповідно x1; x1x2;…; x1x2… xn-1; x1x2… xn-1xn, то вищий член добутку (6) дорівнює:
![]()
тобто (як це видно після елементарних перетворень) збігається з заданим членом ![]()
Після цих зауважень легко довести теорему.
1) Доведення Існування. Нехай вищий член симетричного многочлена f (x1, x2, …, xn)(який ми в результаті зауваження 2 можемо вважати однорідним многочленом степеня N) дорівнює
(7)
Побудуємо симетричний многочлен
![]()
Згідно з зауваженням 3, вищий член цього многочлена дорівнює (7). Крім того, він однорідний, бо такими є всі многочлени
, а тому, очевидно, і їх добуток. Степінь многочлена
дорівнює степеню многочлена f (x1, x2, …, xn)бо в них однакові вищі члени.
Візьмемо
f1(
,
, …
xn)
f (
,
,
xn) -
.
Зрозуміло, що f (
,
,
xn) — також однорідний симетричний многочлен степеня N. Але
(
,
,
xn) вже не містить усіх членів цього степеня. Справді, він не містить вищого члена (7), який у цій різниці знищується. Крім того, в цій різниці знищуються всі n! членів, які дістаємо з вищого члена перестановкою показників
бо ці члени, за властивістю 2, входять в обидва симетричні многочлени.
Тепер зрозуміло, що
(
,
,
xn) може містити лише члени, нижчі за (7). Застосовуємо до цього многочлена той самий метод. Нехай вищий член многочлена має вигляд:
(8)
Вважаючи
B![]()
і утворюючи різницю:
f2(
,
, …
xn)
f1(
,
,
xn) -
,
бачимо, що
(
,
,
xn) є симетричний і однорідний многочлен степеня N, який не може містити ні члена (7), ні члена (8), а тільки члени, нижчі за них. Оскільки, взагалі, різних членів степеня N може бути лише скінченне число (зауваження 1), то, продовжуючи цей процес, ми на якомусь кроці обов'язково дістанемо, що різниця
fk+1 (x1, x2, …xп) = fk (x1, x2, …xп) - gk(x1, x2, …xn)
не може містити жодного члена степеня N, тобто дорівнює нулю. Тоді з рівностей
,
,
.
![]()
випливає, що
.
А оскільки всі
виражені через
добутки то многочлен f(
,
,
xn)подано як многочлен від основних симетричних функцій f(
,
,
xn) =
(9)
коефіцієнти якого знайдено з коефіцієнтів даного многочлена за допомогою операцій додавання і віднімання і тому належать полю Р. Теорему доведено. Справедлива також теорема про є д.и н і с т ь многочлена ![]()
2) Доведення єдиності.
Нехай маємо
f(
,
,
xn) = ![]()
f(
,
,
xn) = ![]()
Тоді різниця
= ![]()
повинна дорівнювати нулю при будь-яких значеннях x1, x2, …, xn.
Зауважимо, що многочлен
можна розглядати двояко:як многочлен від x1, x2, …, xn (бо від цих змінних залежать
) і як многочлен від
нам треба розглянути останнє. Єдиність зображення (9) полягає саме в тому, що многочлени,
мають однакові відповідні коефіцієнти, тобто що многочлен
має коефіцієнти
які дорівнюють нулю, в усіх членах
. Але
залежні між собою, бо виражаються через ті самі змінні
,
,
xn. У зв'язку з цим поряд з многочленом
від залежних змінних розглянемо такий самий многочлен
від незалежних змінних
. Тепер нам треба довести, що коли
той
. Те саме можна сформулювати й інакше: нам треба довести, що коли
, то тоді й
.
Доведемо це методом математичної індукції по n. Нехай n=1 і
. Через те, що
в цьому разі дорівнює x1, то
, бо
, що те саме, що й
Нехай тепер п > 1, і наше твердження правильне для будь-якого числа змінних, меншого п. Чи може бути воно несправедливим для якогось многочлена від п змінних? Припустимо, що це так і існує многочлен
такий, що
, але
. Подамо
за степенями yп
![]()
![]()
де
— многочлени від
, за нашим припущенням
![]()
(11)
Оскільки
, то хоч би один з його коефіцієнтів в (10) не дорівнює нулю. Завжди можна вважати, що
. Якщо
, то надалі міркування проводять відносно многочлена
, який дістаємо з
після скорочення на. Виходить, що при уп = 0
(12)
З другого боку, візьмемо в (11) хп = 0. Тоді
, а інші
, перетворюються в основні симетричні функції від (п-1) змінних. Позначимо їх через
.Отже, при хп = 0 з (11) дістаємо:
, 0) =
(13)
Порівнюючи (12) з (13) бачимо, що ми прийшли до суперечності з припущенням індукції, а тому висловлене твердження справедливе і для п.
Єдиність зображення (9) доведено.
З основної теореми теорії симетричних многочленів можна зробити важливий висновок.
Теорема 2: Якщо f(x) — многочлен від однієї змінної над полем Р з коренями
(які можуть не належати Р), то будь-який симетричний многочлен f (x1, x2, …, xn) над полем Р при
набуває значення, яке є елементом поля Р.
Доведення. Нехай дано якийсь многочлен n-го степеня від одного змінного (в зведеному вигляді) над полем Р:
(14)
Позначимо корені цього многочлена через
; вони можуть і не належати полю Р. Візьмемо тепер довільний симетричний многочлен
над Р від п змінних. За основною теоремою теорії симетричних многочленів, многочлен
можна подати у вигляді многочлена від основних симетричних функцій
з коефіцієнтами з поля Р, тобто ![]()
Візьмемо тепер тут
. Тоді за формулами Вієта всі основні симетричні функції дорівнюватимуть відповідним коефіцієнтам многочлена (14) з належним знаком:
![]()
![]()
……………………………………………………………
![]()
У зв'язку з цим
![]()
Але тоді
елемент поля Р як результат ви конання операцій додавання і множення над елементами з поля Р. Таким чином,
. Отже, ми довели таке твердження.
У ряді питань доводиться зустрічатися з задачею побудови за даним многочленом f(х) єР (х)з коренями
такого многочлена g(у), корені якого
виражаються через відповідні корені
за допомогою деякого многочлена у = f(х)над полем Р;
. Найпростіші задачі такого типу зустрічаються в шкільному курсі алгебри для Р = Q. Оскільки коефіцієнти
многочлена g(у)відповідно до формул Вієта визначаються рівностями
![]()
![]()
……………………………………………………………
,
то вони є значеннями деяких симетричних многочленів над Р, аргументи яких є коренями даного многочлена f(х). З oсновної теореми теорії симетричних многочленів випливає, що завжди можна знайти вираз коефіцієнтів
через коефіціeнти даного многочлена, а з теореми 3 зрозуміло, що знайдений многочлен належатиме тому самому кільцю Р (х), що й даний многочлен.
Зауважимо, що сказане залишається справедливим і для більш загального випадку, коли
,де
- довільні симетричні многочлени над полем Р.
Розглянутий вище метод доведення основної теореми можна використати для практичного зображення симетричних многочленів через основні симетричні функції.
Приклад. Подати симетричний многочлен над полем
+
+ ![]()
через основні симетричні функції. Як і при доведенні теореми, запишемо цей многочлен як суму однорідних многочленів. Дістанемо:
![]()
де ![]()
![]()
Спочатку
подамо через основні симетричні многочлени. Вищий його член є
. Згідно з методикою доведення теореми, від
слід відняти многочлен
![]()
бо система показників у вищому члені є 2, 1, 0. Але немає потреби фактично виконувати це віднімання. Спираючись на можливість і єдиність зображення даного многочлена у вигляді многочлена
досить визначити можливий вигляд членів
і скористатися методом невизначених коефіцієнтів.
У різниці
знищаться всі члени виду
здовільною перестановкою показників 2, 1, 0. Проте одночасно можуть з'явитися члени того самого степеня 3, але з іншою, нижчою системою показників, а саме: 1, 1, 1. Отже, потім треба буде відняти симетричний многочлен
![]()
Тому можна записати:
,
де а — невизначений поки що коефіцієнт, тобто:
![]()
![]()
Щоб знайти а, досить надати деяких числових значень змінним
наприклад
= 1.Тоді дістанемо 6 = 9 + а. Отже, а =
3. Таким чином,
![]()
Аналогічно міркуватимемо відносно многочлена
![]()
Можливі системи показників тут будуть 2, 0, 0 і 1, 1, 0. Отже, відніматимемо такі многочлени:
![]()
![]()
І далі, аналогічно до попереднього,
. При
= 1 маємо 3 = 32 + b
3, тобто b =
2 і тому
(15)
Отже, дістаємо остаточно ![]()
РОЗДІЛ IІ. ЗАСТОСУВАННЯ СИМЕТРИЧНИХМНОГОЧЛЕНІВ
2.1 Розв’язування систем рівнянь
Дуже часто зустрічаються системи рівнянь, ліві частини яких симетрично залежать від невідомих x, y. В цьому випадку зручно перейти до нових невідомих
. За основною теоремою теорії симетричних многочленів, це завжди можливо. Необхідність такої заміни невідомих полягає в тому, що степені рівнянь після заміни зменшуються (оскільки
є многочленом другої степені від x, y). Іншими словами, як правило, розв’язування системи відносно нових невідомих
простіше, ніж розв’язування первинної системи.
Після того, як знайдені значення величин
, треба знайти значення первинних невідомих x, y. Це може бути зроблено за допомогою наступної теореми
Теорема. Нехай
- два довільні числа. Квадратне рівняння
(*)
і система рівнянь
(**)
пов'язані один з одним таким чином: якщо z1, z2 – корні квадратного рівняння (*), то система (**) має два розв’язки:
і інших розв’язків не має; якщо x = a, y = b - розв’язки системи (**), то числа a і b є коренями квадратного рівняння (*).
Доведення. Якщо z1 і z2 – корні квадратного рівняння (*), то по формулах Вієта
![]()
![]()
тобто числа
є розв’язками системи (**). Те, що інших розв’язків система (**) не має, витікає з останнього твердження теореми, яке ми зараз доведемо.
Отже, нехай x = a, y = b - розв’язок системи (**), тобто
![]()
ab =
.
Тоді ми маємо
![]()
Але це означає, що числа a і b являються коренями квадратного рівняння (*). Теорема доведена.
Наведемо приклади.
Приклад 1.Розв’язати систему рівнянь
![]()
Введемо нові невідомі
знаходимо:
![]()
а тому для нових невідомих отримуємо наступну систему рівнянь:
![]()
З цієї системи рівнянь отримуємо
.
Отже,
тобто для первинних невідомих x, y ми отримуємо наступну систему рівнянь :
![]()
Ця система рівнянь легко розв’язується, і ми отримуємо наступний розв’язок первинної системи:
Приклад 2.Розв’язати систему рівнянь
![]()
Розв’язання проводиться аналогічно. Вважаючи, що
приводимо початкову систему до вигляду
![]()
Звідси для
отримуємо квадратне рівняння
![]()
Чи
![]()
З цього рівняння знаходимо два значення для: ![]()
Таким чином, для первинних невідомих x, y отримуємо дві системи рівнянь:
та
Розв’язавши ці системи, знаходимо чотири розв’язки первинної системи:


2.2 Доведення тотожностей
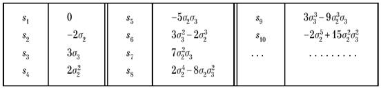
У цілому ряді завдань на доведення тотожності також з успіхом можуть бути застосовані елементарні симетричні многочлени. За основною теоремою симетричних многочленів, кожну степеневу суму
можна представити у вигляді многочлена від, ![]()
Таблиця 2. 1 Вирази степенних сум
через, ![]()

Кожну степеневу суму
можна представити у вигляді многочлена від
,
, за умови, що
.
Таблиця 2.2 Вирази степенних сум
через
при виконанні умови ![]()

Існують одночлени, які не змінюються при перестановці змінних – симетричні одночлени. Легко побачити, що усі змінні в такий одночлен повинні входити в одному і тому ж степені, тобто цей одночлен повинен збігатися з добутком (взятий з деяким числовим коефіцієнтом).
Якщо показники степеня одночлена є різними то цей одночлен не є симетричним. Щоб отримати симетричний одночлен, одним із доданків, якого є, необхідно додати до нього інші одночлени.
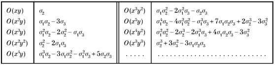
Позначимо через O – многочленз найменшим числом членів, одним із доданків, якого є одночлен, цей многочлен має назву орбіта.
Для отримання орбіти одночлена необхідно додати до нього одночлени отримані за допомогою перестановок змінних x, y, z. Якщо три показники степеня (k, l, m) не рівні між собою, то орбіта O(
буде складатися з шести членів. Наприклад:
О(![]()
Частинним випадком таких орбіт є степеневі суми:
O(![]()
Якщо k = l = m, то орбіта є одночленом:
О(
.
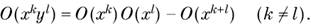
З цих формул за допомогою співвідношень
(*)
Якщо k = l, то отримаємо
(**)
З цього легко отримати вирази орбіт O(xkyl) через
за умови, що ![]()
У таблиці 2.3 наведені вирази деяких орбіт O(xkyl) через
, ![]()
Таблиця 2.3 Вирази орбіт O(xkyl) через ![]()

Наприклад,

Приклад 1.Довести, що якщо x + y + z = 0, то
![]()
За таблицею 2.1 маємо:
.
За умовою s1 = x + y + z = 0, і тому
.
Приклад 2. Довести, що якщо
x + y + z =
, то xyz = 0.
Умова завдання записується у вигляді

З цієї системи рівності знаходимо, що s2=0 і s3 = 0. Рівність s3=0 і означає, що xyz=0.
Приклад 3. Довести, що якщо x + y + z = 0 і xy + xz + yz = 0, то справедлива рівність
![]()
З наведеної таблиці 2.3, легко знаходимо (за умов
) :
![]()
крім того, згідно таблиці 2.2:
![]()
З цих співвідношень безпосередньо витікає доводжувана рівність.
Приклад 4. Довести, тотожність

Для доведення позначимо число (– a – b) через c: с = – a – b.
Тоді a + b + c = 0 і можна застосувати формули, запропоновані у таблиці 2. 2. Ліва частина доводжуваної тотожності перетвориться таким чином:


а права - таким чином:
![]()
![]()
Таким чином, доводжувана рівність справедлива.
Вказані способи доведення тотожності нерідко застосовуються у поєднанні з наступним прийомом: якщо обидві частини, тієї тотожності, що доводимо, виражається через різниці a
b, b
c, c
a, то зручно зробити заміну x = a
b, y = b
c, z = c
a, тоді x + +y + z = (a
b)(b
c)(c
a) = 0 і тому можна застосовувати формули, запропоновані у таблиці 2. 2. Той же прийом можна застосовувати при розкладанні на множники многочленів, що виражаються через різниці a
b, b
c, c
a.Розглянемо приклад.
Приклад 5.Розкласти на множники многочлен
![]()
Вважаючи, що x = a
b, y = b
c, z = c
a, знаходимо:
![]()
![]()
Ми скористались формулою
, запропонована у таблиці 2. 2.
2.3 Звільнення від ірраціональності
Симетричні многочлени дозволяють розв’язати багато важких завдань про звільнення від ірраціональності в знаменнику. У разі, коли знаменник має вигляд
або
цю задачу можна вирішити і без застосування симетричних многочленів. Для цього досить використовувати формули
![]()
![]()
![]()
Складніше йде справа, якщо знаменник складається з трьох або більшого числа ірраціональних доданків. Тут і можуть допомогти симетричні многочлени. Розглянемо наступні приклади.
Приклад 1. Звільнитися від ірраціональності в знаменнику виразу
![]()
Покладемо
Тоді знаменник є не чим іншим, як елементаpним симетричним многочленом
Спробуємо підшукати множник, після множення на який знаменник вдасться виразити через статечні суми s2 і s4. Оскільки ці степеневі суми мають вигляд
![]()
![]()
знаменник стане раціональним виразом. Для знаходження цього множника використовуємо формули
![]()
![]()
(За табл. 2.1.). Ми бачимо, що в обох степеневих сумах лише останній доданок (у правій частині) не ділиться на
. Але дуже легко скомбінувати ці степеневі суми так, щоб останні доданки, що заважають нам, взаємно знищилися. Для цього суму
піднесемо до квадрату
![]()
і віднімемо з цього квадрата подвоєну суму
. Ми отримаємо:
,
Звідки:
)
Згадуючи, що
ми знаходимо (використовуючи вказані вище співвідношення
![]()

Залишається помножити обидві частини отриманої рівності на q .
Зауваження. Щоб уникнути дещо неприємного (при розкритті дужок в чисельнику) вираження, можна було б спочатку перетворити чисельник в правій частині формули (*). Використовуючи співвідношення
![]()
ми можемо переписати формулу (*) у вигляді

Звідси ( вважаючи, як і раніше,
) отримуємо рішення задачі в зручнішому вигляді:

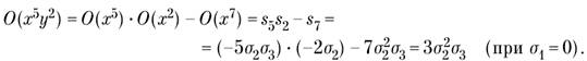
Приклад 2. Звільнитися від ірраціональності в знаменнику виразу

Напишемо вираз степеневої суми s3 :
![]()
В правій частині тільки останній доданок
не ділиться на
. Переносячи його в ліву частину, отримуємо:
,
Звідки:

Поклавши
знаходимо:
