Процесс и критерии проверки статистических гипотез
Актуальность. Последние годы отмечены стремительным расширением области применения теоретико-вероятностных и статистических методов. Они применяются в различных науках: физике, техники, геологии, биологии, лингвистике, медицине, социологии, управлении и т. д. Один из основных разделов статистики - теория проверки статистических гипотез. Понятие практической статистики, процедура обоснованного сопоставления высказанной гипотезы относительно природы или величины неизвестных статистических параметров анализируемого явления с имеющимися в распоряжении исследователя выборочными данными (выборкой).
Статистическая проверка гипотез проводится с помощью некоторого статистического критерия по общей логической схеме, включающей нахождение конкретного вида функции от результатов наблюдения (критической статистики), на основании которой принимается окончательное решение. Например, могут рассматриваться гипотезы об общем законе распределения исследуемой случайной величины, об однородности двух или нескольких обрабатываемых выборок, о числовых значениях параметров исследуемой генеральной совокупности и др. Результат проверки может быть либо отрицательным (данные наблюдения противоречат высказанной гипотезе), либо неотрицательным. В первом случае гипотеза ошибочна, во втором – ее нельзя считать доказанной: просто она не противоречит имеющимся выборочным данным, однако таким же свойством могут наряду с ней обладать и другие гипотезы. Для статистической проверки гипотез используются разные критерии. В частности, когда проверяется согласие между выборочным и гипотетическим распределениями, используется критерий согласия, например, критерий Пирсона «хи-квадрат», критерий Колмогорова-Смирнова и др.
Статистические критерии приводятся вместе с указанием как тех областей, где их применение вполне оправдано, так и тех областей, где применение требует осторожности. Большое внимание уделено построению критериев, в том или ином смысле наилучших.
Цель работы: ознакомиться с процессом проверки статистических гипотез.
Поставленная цель определила задачи работы:
1. Определить сущность, понятие проверки статистических гипотез.
2. Рассмотреть этапы проверки статистических гипотез.
3. Рассмотреть критерии проверки статистических гипотез.
4. Ознакомиться с различными проверками статистических гипотез.
Структура работы: данная работа состоит из введения, двух глав, заключения, списка литературы и приложения. Во введении изложен ход предстоящей работы. 1 глава содержит теоретическое описание общих понятий проверки статистических гипотез. Во 2 главе приведены расчеты проверок различных типов статистических гипотез. В заключении подведены итоги работы, сделаны выводы. Список литературы включает литературные источники, используемые в ходе работы. В приложении представлен материал, необходимый для проверки статистических гипотез.
Глава 1. Общие понятия проверки статистических гипотез
1.1 Сущность и виды проверки статистических гипотез
В процессе статистического анализа иногда бывает необходимо сформулировать и проверить предположения (гипотезы) относительно величины независимых параметров или закона распределения изучаемой генеральной совокупности (совокупностей).
Например, исследователь выдвигает гипотезу о том, что «выборка извлечена из нормальной генеральной совокупности» или «генеральные средние двух анализируемых совокупностей равны». Такие предположения называются статистическими гипотезами.
Сопоставление высказанной гипотезы относительно генеральной совокупности с имеющимися выборочными данными, сопровождаемое количественной оценкой степени достоверности получаемого вывода и осуществляемое с помощью того или иного статистического критерия, называется проверкой статистических гипотез.
Под статистической гипотезой понимаются различного рода предположения относительно характера или параметров распределения случайной переменной, которые можно проверить, опираясь на результаты наблюдений в случайной выборке.
Иными словами, статистической гипотезой называется предположение о свойстве генеральной совокупности, которое можно проверить, опираясь на данные выборки. Обозначается гипотеза буквой Н. Так, может быть выдвинута гипотеза о том, что средняя в генеральной совокупности равна некоторой величине.
Смысл проверки статистической гипотезы состоит в том, чтобы по имеющимся статистическим данным принять или отклонить статистическую гипотезу с минимальным рисков ошибки. Эта проверка осуществляется по определенным правилам.
Следует иметь в виду, что статистическая проверка гипотез имеет вероятностный характер. С помощью статистической проверки гипотез можно определить вероятность принятия ложного решения по тем или иным результатам статистического изучения данного явления. Если вероятность ошибки невелика, то статистические показатели исчисленные при изучении явления, могут быть использованы для практических целей при малом риске ошибки.
Гипотезы в свою очередь классифицируются на:
- простые и сложные;
- параметрические и непараметрические;
- основные (высказанные) и альтернативные (конкурирующие).
Если выдвигаемая гипотеза сводится к утверждению о том, что значение некоторого неизвестного параметра генеральной совокупности в точности равно заданной величине, то эта гипотеза называется простой.
Например: «Среднедушевой совокупный доход населения России составляет 10000 рублей в месяц»; «Уровень безработицы (доля безработных в численности экономически активного населения) в России равен 9%».
Сложной называют гипотезу, которая состоит из конечного или бесконечного множества простых гипотез, при этом указывается некоторая область вероятных значений параметра.
Гипотезы о параметрах генеральной совокупности называются параметрическими, о распределениях - непараметрическими.
Выдвинутая гипотеза называется нулевой (основной). Ее принято обозначать Н0. При этом предполагается, что действительное различие сравниваемых величин равно нулю, а выявленное по данным отличие от нуля носит случайный характер. Нулевая гипотеза отвергается тогда, когда по выборке получается результат, который при истинности выдвинутой нулевой гипотезы маловероятен.
По отношению к высказанной (основной) гипотезе всегда можно сформулировать альтернативную (конкурирующую), противоречащую ей. Альтернативную (конкурирующую) гипотезу принято обозначать Н1.
В качестве нулевой гипотезы Н0 принято выдвигать простую гипотезу, так как обычно бывает удобнее проверять более строгое утверждение.
По своему содержанию статистические гипотезы можно подразделить на несколько основных типов:
- гипотезы о виде закона распределения исследуемой случайной величины;
- гипотезы о числовых значениях параметров исследуемой генеральной совокупности;
- гипотезы об однородности двух или нескольких выборок или некоторых характеристик анализируемых совокупностей;
- гипотезы об общем виде модели, описывающей статистическую зависимость между признаками; и др.
Так как проверка статистических гипотез осуществляется на основании выборочных данных, т.е. ограниченного ряда наблюдений, решения относительно нулевой гипотезы Н0 имеют вероятностный характер. Другими словами, такое решение неизбежно сопровождается некоторой, хотя возможно и очень малой, вероятностью ошибочного заключения как в ту, так и в другую сторону.
Так, в какой-то небольшой доле случаев а нулевая гипотеза Н0 может оказаться отвергнутой, в то время как в действительности в генеральной совокупности она является справедливой. Такую ошибку называют ошибкой 1-го рода, а ее вероятность – уровнем значимости и обозначают.
Наоборот, в какой-то небольшой доле случаев (нулевая гипотеза Н0 принимается, в то время как на самом деле в генеральной совокупности она ошибочна, а справедлива альтернативная гипотеза Нх. Такую ошибку называют ошибкой 2-го рода. Вероятность ошибки 2-го рода обозначается как Вероятность 1 - называют мощностью критерия.
При фиксированном объеме выборки можно выбрать по своему усмотрению величину вероятности только одной из ошибок. Увеличение вероятности одной из них приводит к снижению другой.
Принято задавать вероятность ошибки 1-го рода уровень значимости. Как правило, пользуются некоторыми стандартными значениями уровня значимости: 0,1; 0,05; 0,025; 0,01; 0,005; 0,001. Тогда, очевидно, из двух критериев, характеризующихся одной и той же вероятностью а (отклонить правильную в действительности гипотезу Н0), следует принять тот, которому соответствует меньшая ошибка 2-го рода, т.е. большая мощность. Снижения вероятностей обеих ошибок и можно добиться путем увеличения объема выборки.
Правильное решение относительно нулевой гипотезы Н0 также может быть двух видов:
- будет принята нулевая гипотеза Н0, когда в генеральной совокупности верна нулевая гипотеза Н0; вероятность такого решения 1;
- нулевая гипотеза Н0 будет отклонена в пользу альтернативной Н1, когда в генеральной совокупности нулевая гипотеза Н0 отклоняется в пользу альтернативной Н1; вероятность такого решения 1 мощность критерия.
Результаты решения относительно нулевой гипотезы можно проиллюстрировать с помощью таблицы 1.
статистический гипотеза проверка лаплас
Таблица 1
Нулевая гипотеза Н0 | Результаты решения относительнонулевой гипотезы Н0 | |
| Отклонена | Принята | |
| Верна | Ошибка 1-го рода, ее вероятность Р(Н1/ Н0) = | Правильное решение, его вероятность Р(Н0/ Н0) = 1 - |
| Неверна | Правильное решение, его вероятность Р(Н1/ Н1) = 1- | Ошибка 2-го рода, ее вероятность Р((Н0/ Н0)= |
В отношении свойств генеральной совокупности могут выдвигаться некоторые гипотезы о величине средней, дисперсии, характере распределения, форме и тесноте связи между переменными.
Проверка гипотезы осуществляется на основе выявления согласованности эмпирических данных с гипотетическими (теоретическими). Если расхождение между сравниваемыми величинами не выходит за пределы случайных ошибок, гипотезу принимают. При этом не делается никаких заключений о правильности самой гипотезы, речь идет лишь о согласованности сравниваемых данных.
Основой проверки статистических гипотез являются данные случайных выборок, При этом безразлично, оцениваются ли гипотезы в отношении реальной или гипотетической генеральной совокупности. Последнее открывает путь применения этого метода за пределами собственно выборки: при анализе результатов эксперимента, данных сплошного наблюдения, но малой численности. В этом случае рекомендуется проверить, не вызвана ли установленная закономерность стечением случайных обстоятельств, насколько она характерна для того комплекса условий, в которых находится изучаемая совокупность.
Особенно часто процедура проверки статистических гипотез проводится для оценки существенности расхождений сводных характеристик отдельных совокупностей (групп): средних, относительных величин. Такого рода задачи, как правило, возникают в социальной статистике. Трудоемкость статистико-социологических исследований приводит к тому, что почти все они строятся на несплошном учете. Поэтому проблема доказательности выводов в социальной статистике стоит особенно остро. Применяя процедуру проверки статистических гипотез, следует помнить, что она может гарантировать результаты с определенной вероятностью лишь по «беспристрастным» выборкам, на основе объективных данных.
1.2. Выбор критериев для проверки статистических гипотез
Проверка статистических гипотез осуществляется с помощью статистического критерия (назовем его в общем виде К), являющегося функцией от результатов наблюдения.
Статистический критерий – это правило (формула), по которому определяется мера расхождения результатов выборочного наблюдения с высказанной гипотезой Н0.
Как уже отмечалось выше, следует иметь в виду, что статистическая проверка гипотез имеет вероятностный характер, так как принимаемые вывод основываются на изучении свойств распределения случайной переменной по данным выборки, а потому всегда существует риск допустить ошибку. Однако с помощью статистической проверки гипотез можно определить вероятность принятия ложного решения. Если вероятность последнего невелика, то можно считать, что применяемый критерий обеспечивает малый риск ошибки.
При проведении проверки статистических гипотез в первую очередь приходится решать задачи статистической проверки гипотез о:
1) принадлежности «выделяющихся» единиц исследуемой выборочной совокупности генеральной совокупности;
2) виде распределения изучаемых признаков;
3) величине средней арифметической и доли;
4) наличии и тесноте связи между изучаемыми признаками;
5) о форме корреляционной связи.
При проверке гипотез имеется возможность совершить ошибку двоякого рода:
а) ошибка первого рода - проверяемая гипотеза (нулевая гипотеза Н0) является в действительности верной, но результаты проверки приводят к отказу от нее;
б) ошибка второго рода - проверяемая гипотеза в действительности является ошибочной, но результаты проверки приводят к принятию.
В статистике в настоящее время имеется большое число критериев для проверки практически любых гипотез. Притом основные принципы их построения и применения являются общими. Для построения статистического критерия, позволяющего проверить некоторую гипотезу, необходимо следующее:
1) сформулировать проверяемую гипотезу Н0. Наряду с проверяемой гипотезой формулируется также конкурирующая (альтернативная) гипотеза;
2) выбрать уровень значимости, контролирующий допустимую вероятность ошибки первого рода;
3) определить область допустимых значений и так называемую критическую область;
4) принять то или иное решение на основе сравнения фактического и критического значений критерия.
Проверка статистических гипотез складывается из следующих этапов:
- формулируется в виде статистической гипотезы задача исследования;
- выбирается статистическая характеристика гипотезы;
- выбираются испытуемая и альтернативная гипотезы на основе анализа возможных ошибочных решений и их последствий;
- определяются область допустимых значений, критическая область, а также критическое значение статистического критерия (t, F) по соответствующей таблице;
- вычисляется фактическое значение статистического критерия;
- проверяется испытуемая гипотеза на основе сравнения фактического и критического значений критерия, и в зависимости от результатов проверки гипотеза либо отклоняется, либо не отклоняется.
Уровнем значимости будет называться такое малое значение вероятности попадания критерия в критическую область при условии справедливости гипотезы, что появление этого события может расцениваться как следствие существенного расхождения выдвинутой гипотезы и результатов выборки. Обычно уровень значимости принимают равным 0,05 или 0,01. Исходя из величины уровня значимости, можно определить критическую область, под которой понимается такая область значений выборочной характеристики, попадая в которую они будут свидетельствовать о том, что проверяемая гипотеза должна быть отвергнута. К критической области относятся те значения, появление которых при условии верности гипотезы было бы маловероятным.
Допустим, что рассчитанное по эмпирическим данным значение критерия попало в критическую область, тогда при условии верности проверяемой гипотезы Н0 вероятность этого события будет не больше уровня значимости. Поскольку выбирается достаточно малым, то такое событие является маловероятным и, следовательно, проверяемая гипотеза Н0 может быть отвергнута.
Если же наблюдаемое значение характеристики не принадлежит к критической области и, следовательно, находится в области допустимых значений, то проверяемая гипотеза Н0 не отвергается. Вероятность попадания критерия в область допустимых значений при справедливости проверяемой гипотезы Н0 равна 1.
Чем меньше уровень значимости, тем меньше вероятность браковать проверяемую гипотезу, когда она верна, т.е. меньше вероятность совершить ошибку первого рода. Но при этом расширяется область допустимых значений и, значит, увеличивается вероятность совершения ошибки второго рода.
Все значения рассматриваемой характеристики, не принадлежащие к критической области образуют так называемую область допустимых значений. Если наблюдаемое значение характеристики находится в области допустимых значений, то проверяемая гипотеза принимается с вероятностью.
Выбор критерия для проверки статистических гипотез может осуществляться на основании различных принципов. Чаще всего для этого пользуются принципом отношения правдоподобия, который позволяет построить критерий, наиболее мощный среди всех возможных критериев. Суть его сводится к выбору такого критерия К с известной функцией плотности f(k) при условии справедливости гипотезы Н0, чтобы при заданном условии значимости можно было бы найти критическую точку Ккр распределения f(k), которая распределила бы область допустимых значений, в которой результаты выборочного наблюдения выглядят наиболее правдоподобными, и критическую область, в которой результаты выборочного наблюдения выглядят менее правдоподобными в отношении нулевой гипотезы Н0.
Если такой критерий К выбран, и известна плотность его распределения, то задача проверки статистической гипотезы сводится к тому, чтобы при заданном уровне значимости рассчитать по выборочным данным наблюдаемое значение критерия Кнабл и определить, является ли оно наиболее или наименее правдоподобным в отношении нулевой гипотезы Н0.
Проверка каждого типа статистических гипотез осуществляется с помощью соответствующего критерия, являющегося наиболее мощным в каждом конкретном случае.
Как уже отмечалось ранее, проверка статистических гипотез применяется в разных областях для изучения массовых явлений. Изучение массовых явлений, как правило, осуществляется по неполной информации. В составе собранных данных могут встречаться единичные наблюдения, у которых отдельные значения изучаемых признаков заметно отличаются от общей тенденции изменения большинства значений. Причины таких отличий могут быть разными:
1) из-за ошибок наблюдения;
2) вследствие случайного стечения различных обстоятельств, каждый из которых в отдельности несущественный, но совокупное их влияние привело к таким резко выделяющимся от общей картины значениям признаков;
3) как следствие нарушения однородности изучаемой совокупности.
В общем случае все значения изучаемых признаков фиксируются по известным единицам совокупности по их части, отобранной с учетом всех требований. Следовательно, первичные статистические данные, включая и резко «выделяющемся», соответствуют конкретным случаям проявления изучаемого явления.Следовательно, субъективное отбрасывание «выделяющихся» единиц недопустимо.
Рассмотрим использование критериев для проверки статистических гипотез на примере закона нормального распределения. Закон нормального распределения лежит в основе многих теорем и методов статистики
- при оценке репрезентативности выборки (расчете ошибки выборки и распространении характеристик выборки на генеральную совокупность);
- измерении степени тесноты связи и составлении модели регрессии;
- построении и использование статистических критериев и др.
Как показывают многочисленные статистические исследования, частоты (частости) эмпирических распределений за редким исключением будут отличаться от значений теоретического распределения. Расхождения между частотами (частостями) эмпирического и теоретического распределения могут быть несущественными и объяснены случайностями выборки и существенными при несоответствии выбранного и эмпирического законов распределения.
Для проверки гипотезы о соответствии эмпирического распределения теоретическому закону нормального распределения используются особые статистические показатели-критерии согласия (или критерии соответствия). К ним относятся критерии К.Пирсона, А.Н. Колмогорова, Романовского, Ястремского и др.
Большинство критериев согласия базируется на использовании отклонений эмпирических частот от теоретических. Очевидно, что чем больше эти отклонения, тем хуже теоретическое распределение соответствует эмпирическому. Статистические характеристики таких критериев согласия являются некоторыми функциями этих отклонений.
1.3. Основные принципы расчета критериев для проверки статистических гипотез
Проверка каждого типа статистических гипотез осуществляется с помощью соответствующего критерия, являющегося наиболее мощным для в каждом конкретном случае. Например, проверка гипотезы о виде закона распределения случайной величины может быть осуществлена с помощью критерия согласия Пирсона 2; проверка гипотезы о равенстве неизвестных значений дисперсий двух генеральных совокупностей - с помощью критерия Фишера F; ряд гипотез о неизвестных значениях параметров генеральных совокупностей проверяется с помощью критерия Z - нормальной распределенной случайной величины и критерия t-Стьюдента и т. д.
Значение критерия, рассчитываемое по специальным правилам на основании выборочных данных, называется наблюдаемым значением критерия (Кнабл.).
Значения критерия, разделяющие совокупность значений критерия на область допустимых значений (наиболее правдоподобных в отношении нулевой гипотезы Н0) и критическую область (область значений, менее правдоподобных в отношении нулевой гипотезы Н0), определяемые на заданном уровне значимости а по таблицам распределения случайной величины К, выбранной в качестве критерия, называются критическими точками (Ккр).
Областью допустимых значений (областью принятия нулевой гипотезы Н0) называют совокупность значений критерия К, при которых нулевая гипотеза Н0 не отклоняется.
Критической областью называют совокупность значений критерия К, при которых нулевая гипотеза Н0 отклоняется в пользу конкурирующей Н1.
Различают одностороннюю (правостороннюю или левостороннюю) и двустороннюю критические области.
Если конкурирующая гипотеза - правосторонняя, например, Н1: а > а0, то и критическая область правосторонняя (рисунок 1). При правосторонней конкурирующей гипотезе критическая точка (Ккр.п) принимает положительные значения.

Рисунок 1
Если конкурирующая гипотеза - левосторонняя, например, Н1: а < а0, то и критическая область - левосторонняя (рисунок 2). При левосторонней конкурирующей гипотезе критическая точка принимает отрицательные значения (Ккр.л).

Рисунок 2.
Если конкурирующая гипотеза - двусторонняя, например, Н1: а=а0, то и критическая область - двусторонняя (рисунок 3). При двусторонней конкурирующей гипотезе определяются 2 критические точки (Ккр.л и Ккр.п).

Рисунок 3
Основной принцип проверки статистических гипотез состоит в следующем:
- если наблюдаемое значение критерия (Кнабл) принадлежит критической области, то нулевая гипотеза Н0 отклоняется в пользу конкурирующей;
- если наблюдаемое значение критерия (Кнабл) принадлежит области допустимых значений, то нулевую гипотезу Н0 нельзя отклонить.
Можно принять решение относительно нулевой гипотезы Н0 путем сравнения наблюдаемого (Кнабл) и критического значений критерия (Ккр).
При правосторонней конкурирующей гипотезе:
- если Кнабл < Ккр, то нулевую гипотезу Н0 нельзя отклонить;
- если Кнабл > Ккр, то нулевая гипотеза Н0 отклоняется в пользу конкурирующей Н1.
При левосторонней конкурирующей гипотезе:
- если Кнабл >- Ккр, то нулевую гипотезу Н0 нельзя отклонить;
- если Кнабл < - Ккр, то нулевая гипотеза Н0 отклоняется в пользу конкурирующей Н1.
При двусторонней конкурирующей гипотезе:
- если - Ккр< Кнабл< Ккр, то нулевую гипотезу Н0 нельзя отклонить;
- если Кнабл > Ккр или Кнабл < -Ккр, то нулевая гипотеза Н0 отклоняется в пользу конкурирующей Н1.
Алгоритм проверки статистических гипотез сводится к следующему:
1) сформулировать нулевую Н0 и альтернативную Н1 гипотезы;
2) выбрать уровень значимости ;
3) в соответствии с видом выдвигаемой нулевой гипотезы Н0 выбрать статистический критерий для ее проверки, т.е. - специально подобранную случайную величину К точное или приближенное распределение которой заранее известно;
4) по таблицам распределения случайной величины К, выбранной в качестве статистического критерия, найти критическое значение К (критическую точку или точки);
5) на основании выборочных данных по специальному алгоритму вычислить наблюдаемое значение критерия Кнабл;
6) по виду конкурирующей гипотезы Н1 определить тип критической области;
7) определить, в какую область (допустимых значений или критическую) попадает наблюдаемое значение критерия Кнабл, и в зависимости от этого -принять решение относительно нулевой гипотезы Н0.
Следует заметить, что даже в том случае, если нулевую гипотезу Н0 нельзя отклонить, это не означает, что высказанное предположение о генеральной совокупности является единственно подходящим: просто ему не противоречат имеющиеся выборочные данные, однако таким же свойством наряду с высказанной могут обладать и другие гипотезы.
Можно интерпретировать результаты проверки нулевой гипотезы следующим образом:
- если в результате проверки нулевую гипотезу Н0 нельзя отклонить, то это означает, что имеющиеся выборочные данные не позволяют с достаточной уверенностью отклонить нулевую гипотезу Н0, вероятность нулевой гипотезы Н0 больше, а конкурирующей Н1 – меньше 1 - ;
- если в результате проверки нулевая гипотеза Н0 отклоняется в пользу конкурирующей Н1, то имеющиеся выборочные данные не позволяют с достаточной уверенностью принять нулевую гипотезу Н0, вероятность нулевой гипотезы Н0 меньше, а конкурирующей Н1 – больше 1 -.
Глава 2. Проверка различных типов статистических гипотез
2.1 Проверка гипотезы о законе распределения генеральной совокупности с использованием критерия Пирсона
Использование этого критерия основано на применении такой меры (статистики) расхождения между теоретическим F(x) и эмпирическим распределением Fn(x), которая приближенно подчиняется закону распределения. Гипотеза Н0 о согласованности распределений проверяется путем анализа распределения этой статистики. Применение критерия требует построения статистического ряда. (Приложение 1).
Пример 1. В 7 случаях из 10 фирма-конкурент компании «А» действовала на рынке так, как будто ей заранее были известны решения, принимаемые фирмой «А». На уровне значимости 0,05 определите, случайно ли это, или в фирме «А» работает осведомитель фирмы-конкурента?
Решение. Для того чтобы ответить на поставленный вопрос, необходимо проверить статистическую гипотезу о том, совпадает ли данное эмпирическое распределение числа действий фирмы-конкурента с равномерным теоретическим распределением?
Если ходы, предпринимаемые конкурентом, выбираются случайно, т. е. в фирме «А» – нет осведомителя (инсайдера), то число «правильных» и «неправильных» ее действий должно распределиться поровну, т. е. по 5 (10/2), а это и есть отличительная особенность равномерного распределения.
Этот вид статистических гипотез относится к гипотезам о виде закона распределения генеральной совокупности.
Сформулируем нулевую и конкурирующую гипотезы согласно условию задачи.
Н0: X ~ R(а; b) – случайная величина X подчиняется равномерному распределению с параметрами (а; b) (в контексте задачи – «В фирме «А» –нет осведомителя (инсайдера)»; «Распределение числа удачных ходов фирмы-конкурента – случайно»);
Н1: случайная величина X не подчиняется равномерному распределению (в контексте задачи – «В» фирме «А» – есть осведомитель (инсайдер)»; «Распределение числа удачных ходов фирмы-конкурента – неслучайно»).
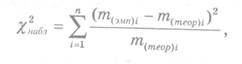
В качестве критерия для проверки статистических гипотез о неизвестном законе распределения генеральной совокупности используется случайная величина %2. Этот критерий называют критерием Пирсона.
Его наблюдаемое значение (2набл) рассчитывается по формуле

где m(эмп) i – эмпирическая частота i-й группы выборки; m(теор) i – теоретическая частота i -й группы выборки.
Составим таблицу распределения эмпирических и теоретических частот (таблица 2).
Таблица 2
m(эмп) i | 7 | 3 |
m(теор) i | 5 | 5 |
Подобные работы: