Математический анализ. Практикум
Математический анализ.
Практикум.
Для студентов ВУЗов по специальности:
«Государственное и муниципальное управление»
Т.З. Павлова
Колпашево 2008
Глава 1. Введение в анализ
1.1 Функции. Общие свойства
1.2 Теория пределов
1.3 Непрерывность функции
Глава 2. Дифференциальное исчисление
2.1 Определение производной
2.2 Основные правила дифференцирования
2.3 Производные высших порядков
2.4 Исследование функций
2.4.1 План полного исследования функции
2.4.2 Примеры исследования функции
2.4.3. Наибольшее и наименьшее значение функции на отрезке
2.5 Правило Лопиталя
Глава 3. Интегрально исчисление
3.1 Неопределенный интеграл
3.1.1 Определения и свойства
3.1.2 Таблица интегралов
3.1.3 Основные методы интегрирования
3.2 Определенный интеграл
3.2.1 Понятие определенного интеграла и его свойства
3.2.2 Методы вычисления определенного интеграла
3.2.3 Приложения определенного интеграла
Глава 4. Функции нескольких переменных
4.1 Основные понятия
4.2 Пределы и непрерывность функций нескольких переменных
4.3 Производные и дифференциалы функций нескольких переменных
4.3.1 Частные производные первого порядка
4.3.2 Частные производные второго порядка
4.3.3 Полный дифференциал и его применение к приближенным вычислениям
4.3.4 Дифференцирование неявной функции
Глава 5. Классические методы оптимизации
5.2 Глобальный экстремум (наибольшее и наименьшее значение функции)
Глава 6. Модель потребительского выбора
6.1 Функция полезности.
6.2 Линии безразличия
6.3 Бюджетное множество
6.4 Теория потребительского спроса
Задания для домашней контрольной работы
Литература
1.1 Функции. Общие свойства
Числовая функция определена на множестве D действительных чисел, если каждому значению переменной
поставлено в соответствие некоторое вполне определенное действительное значение переменной y, где D – область определения функции.
Аналитическое представление функции:
в явном виде:
;
в неявном виде:
;
в параметрической форме:![]()
разными формулами в области определения
:

Свойства.
Четная функция:
. Например, функция
– четная, т.к.
.
Нечетная функция:
. Например, функция
– нечетная, т.к.
.
Периодическая функция:
, где T – период функции,
. Например, тригонометрические функции.
Монотонная функция. Если для любых
из области определения
– функция возрастающая,
– убывающая. Например,
– возрастающая, а
– убывающая.
Ограниченная функция. Если существует такое число M, что
. Например, функции
и
, т.к.
.
Пример 1. Найти область определения функций.
![]()
![]()
![]()
+ 2 – 3 +

1.2 Теория пределов
Определение 1. Пределом функции
при
называется число b, если для любого
(
– сколь угодно малое положительное число) можно найти такое значение аргумента
, начиная с которого выполняется неравенство
.
Обозначение:
.
Определение 2. Пределом функции
при
называется число b, если для любого
(
- сколь угодно малое положительное число) существует такое положительное число
, что для всех значений x, удовлетворяющих неравенству
выполняется неравенство
.
Обозначение:
.
Определение 3. Функция
называется бесконечно малой при
или
, если
или
.
Свойства.
1. Алгебраическая сумма конечного числа бесконечно малых величин есть величина бесконечно малая.
2. Произведение бесконечно малой величины на ограниченную функцию (постоянную, другую бесконечно малую величину) есть величина бесконечно малая.
3. Частное от деления бесконечно малой величины на функцию, предел которой отличен от нуля, есть величина бесконечно малая.
Определение 4. Функция
называется бесконечно большой при
, если
.
Свойства.
1. Произведение бесконечно большой величины на функцию, предел которой отличен от нуля, есть величина бесконечно большая.
2. Сумма бесконечно большой величины и ограниченной функции есть величина бесконечно большая.
3. Частное от деления бесконечно большой величины на функцию, имеющую предел, есть величина бесконечно большая.
Теорема. (Связь между бесконечно малой величиной и бесконечно большой величиной.) Если функция
бесконечно малая при
(
), то функция
является бесконечно большой величиной при
(
). И, обратно, если функция
бесконечно большая при
(
), то функция
является бесконечно малой величиной при
(
).
Теоремы о пределах.
1. Функция не может иметь более одного предела.
2. Предел алгебраической суммы нескольких функций равен алгебраической сумме пределов этих функций:
.
3. Предел произведения нескольких функций равен произведению пределов этих функций:
![]()
4. Предел степени равен степени предела:
![]()
5. Предел частного равен частному пределов, если предел делителя существует:
.
6. Первый замечательный предел.
.
Следствия:
![]()
7. Второй замечательный предел:
![]()
Следствия:
![]()
Эквивалентные бесконечно малые величины при
:

Вычисление пределов.
При вычислении пределов используют основные теоремы о пределах, свойства непрерывных функций и правила, вытекающие из этих теорем и свойств.
Правило 1. Чтобы найти предел в точке
функции, непрерывной в этой точке, надо в функцию, стоящую под знаком предела, вместо аргумента x подставить его предельное значение
.
Пример 2. Найти
![]()
Правило 2. Если при отыскании предела дроби предел знаменателя равен нулю, а предел числителя отличен от нуля, то предел такой функции равен
.
Пример 3. Найти
![]()
Правило 3. Если при отыскании предела дроби предел знаменателя равен
, а предел числителя отличен от нуля, то предел такой функции равен нулю.
Пример 4. Найти

Часто подстановка предельного значения аргумента приводит к неопределенным выражениям вида
.
Нахождение предела функции в этих случаях называется раскрытием неопределенности. Для раскрытия неопределенности приходится, прежде чем перейти к пределу, проводить преобразование данного выражения. Для раскрытия неопределенностей используют различные приемы.
Правило 4. Неопределенность вида
раскрывается путем преобразования подпредельной функции т.о., чтобы в числителе и знаменателе выделить множитель, предел которого равен нулю, и, сократив на него дробь, найти предел частного. Для этого числитель и знаменатель либо раскладывают на множители, либо домножают на сопряженные числителю и знаменателю выражения.
Пример 5.
![]()
Пример 6.

Правило 5. Если подпредельное выражение содержит тригонометрические функции, тогда, чтобы раскрыть неопределенность вида
используют первый замечательный предел.
Пример 7.
![]()
.
Пример 8.
![]()
Правило 6. Чтобы раскрыть неопределенность вида
при
, числитель и знаменатель подпредельной дроби необходимо разделить на высшую степень аргумента и находить далее предел частного.
Возможны результаты:
1) искомый предел равен отношению коэффициентов при старших степенях аргумента числителя и знаменателя, если эти степени одинаковы;
2) предел равен бесконечности, если степень аргумента числителя выше степени аргумента знаменателя;
3) предел равен нулю, если степень аргумента числителя ниже степени аргумента знаменателя.
Пример 9.
а) 
т.к. ![]()
Степени равны, значит, предел равен отношению коэффициентов при старших степенях, т.е.
.
б) 
Степень числителя
, знаменателя – 1, значит, предел равен ![]()
в) 
Степень числителя 1, знаменателя –
, значит, предел равен 0.
Правило 7. Чтобы раскрыть неопределенность вида
, числитель и знаменатель подпредельной дроби необходимо домножить на сопряженное выражение.
Пример 10.


Правило 8. Чтобы раскрыть неопределенность вида
используют второй замечательный предел и его следствия.
Можно доказать, что
![]()
Пример 11.

Пример 12.

Пример 13.
![]()
Правило 9. При раскрытии неопределенностей, подпредельная функция которых содержит б.м.в., необходимо заменить пределы этих б.м. на пределы б.м., эквивалентных им.
Пример 14.
![]()
![]()
Пример 15.
![]()
![]()
Правило 10. Правило Лопиталя (см. 2.6).
1.3 Непрерывность функции
Функция
непрерывна в точке
, если предел функции при стремлении аргумента к a, существует и равен значению функции в этой точке.
Эквивалентные условия:
1.
;
2. ![]()
3. ![]()
4. ![]()
Классификация точек разрыва:
разрыв I рода
- устранимый – односторонние пределы существуют и равны;
- неустранимый (скачок) – односторонние пределы не равны;
разрыв II рода: предел функции в точке не существует.
Пример 16. Установить характер разрыва функции
в точке
или доказать непрерывность функции в этой точке.
а) ![]()
при
функция не определена, следовательно, она не непрерывна в этой точке. Т.к.
и, соответственно,
, то
– точка устранимого разрыва первого рода.
б) 
по сравнению с заданием (а) функция доопределена в точке
так, что
, значит, данная функция непрерывна в данной точке.
в) ![]()
При
функция не определена;
.
Т.к. один из односторонних пределов бесконечен, то
– точка разрыва второго рода.
Глава 2. Дифференциальное исчисление
2.1 Определение производной
Определение производной
Производная
или
от данной функции
есть предел отношения приращения функции к соответствующему приращению аргумента, когда приращение аргумента стремится к нулю:
или
.
Механический смысл производной – скорость изменения функции. Геометрический смысл производной – тангенс угла наклона касательной к графику функции:

2.2 Основные правила дифференцирования
| Наименование | Функция | Производная |
| Умножение на постоянный множитель |
|
|
| Алгебраическая сумма двух функций |
|
|
| Произведение двух функций |
|
|
| Частное двух функций |
|
|
| Сложная функция |
|
|
Производные основных элементарных функций
| № п/п | Наименование функции | Функция и её производная |
| 1 | константа |
|
| 2 | степенная функция частные случаи |
|
| 3 | показательная функция частный случай |
|
| 4 | логарифмическая функция частный случай |
|
| 5 | тригонометрические функции |
|
| 6 | обратные тригонометрические функции |
|
Пример 17
а) ![]()
б) 
в)![]()

2.3 Производные высших порядков
Производная второго порядка функции ![]()
Производная второго порядка функции
:
![]()
Пример 18.
а) Найти производную второго порядка функции
.
Решение. Найдем сначала производную первого порядка
.
От производной первого порядка возьмем еще раз производную
.
Пример 19. Найти производную третьего порядка функции
.
Решение.
.
2.4 Исследование функций
2.4.1 План полного исследования функции:
План полного исследования функции:
1. Элементарное исследование:
- найти область определения и область значений;
- выяснить общие свойства: четность (нечетность), периодичность;
- найти точки пересечения с осями координат;
- определить участки знакопостоянства.
2. Асимптоты:
- найти вертикальные асимптоты
, если
;
- найти наклонные асимптоты:
.
Если
любое число, то
– горизонтальные асимптоты.
3. Исследование с помощью
:
- найти критические точки, те. точки в которых
или не существует;
- определить интервалы возрастания, те. промежутки, на которых
и убывания функции –
;
- определить экстремумы: точки, при переходе через которые
меняет знак с «+» на «–», являются точками максимума, с «–» на «+» – минимума.
4. Исследование с помощью
:
- найти точки, в которых
или не существует;
- найти участки выпуклости, т.е. промежутки, на которых
и вогнутости –
;
- найти точки перегиба, т.е. точки при переходе через которые
меняет знак.
5. Построение графика функции.
Рекомендации по применению плана исследования функции:
1. Отдельные элементы исследования наносятся на график постепенно, по мере их нахождения.
2. Если появляются затруднения с построением графика функции, то находятся значения функции в некоторых дополнительных точках.
3. Целью исследования является описание характера поведения функции. Поэтому строится не точный график, а его приближение, на котором четко обозначены найденные элементы (экстремумы, точки перегиба, асимптоты и т.д.).
4. Строго придерживаться приведенного плана необязательно; важно не упустить характерные элементы поведения функции.
2.4.2 Примеры исследования функции:
20.
.
1) ![]()
2) Функция нечетная:
.
3) Асимптоты.
– вертикальные асимптоты, т.к.
![]()
![]()

Наклонная асимптота
.



5) 


![]()

– точка перегиба.

Схематичный график данной функции:

21. ![]()
1) ![]()
2) Функция нечетная:
![]()
3) Асимптоты: Вертикальных асимптот нет.
Наклонные:

– наклонные асимптоты
4)
– функция возрастает.
5)
,
– точка перегиба.
Схематичный график данной функции:

22. ![]()
1) ![]()
2) Функция общего вида
3) Асимптоты
![]()
– наклонных асимптот нет
![]()
– горизонтальная асимптота при ![]()
4) ![]()
![]()

![]()
– точка перегиба

Схематичный график данной функции:

23. ![]()
1) ![]()
2) Асимптоты.
– вертикальная асимптота, т.к.

– наклонных асимптот нет
,
– горизонтальная асимптота
Схематичный график данной функции:

24. ![]()
1) ![]()
2) Асимптоты
– вертикальная асимптота при
, т.к.
![]()
– наклонных асимптот нет
,
– горизонтальная асимптота
3)
– функция убывает на каждом из промежутков.
Схематичный график данной функции:

2.4.3 Наибольшее и наименьшее значение функции на отрезке
Чтобы найти наибольшее и наименьшее значение функции на отрезке можно воспользоваться схемой:
1. Найти производную функции
.
2. Найти критические точки функции, в которых
или не существует.
3. Найти значение функции в критических точках, принадлежащих заданному отрезку и на его концах и выбрать из них наибольшее
и наименьшее
.
Пример. Найти наименьшее и наибольшее значение функции на данном отрезке.
25.
на промежутке ![]()
1) ![]()
2)
– критические точки
3)
,
– ![]()
– ![]()
![]()
26.
на промежутке
.

Производная не существует при
, но 1 не принадлежит данному промежутку. Функция
убывает на промежутке
, значит, наибольшего значения нет, а наименьшее значение
.
2.5 Правило Лопиталя
Теорема. Предел отношения двух бесконечно малых или бесконечно больших функций равен пределу отношения их производных (конечному или бесконечному), если последний существует в указанном смысле.
Т.е. при раскрытии неопределенностей вида
или
можно использовать формулу:
.
Примеры.
27. 
28. 
![]()
Глава 3. Интегрально исчисление
3.1 Неопределенный интеграл
3.1.1 Определения и свойства
Определение 1. Функция
называется первообразной для
, если
.
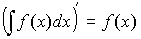
Определение 2. Неопределенным интегралом от функции f(x) называется совокупность всех первообразных для этой функции.
Обозначение:
, где c - произвольная постоянная.
Свойства неопределенного интеграла
1. Производная неопределенного интеграла: ![]()
2. Дифференциал неопределенного интеграла: ![]()
3. Неопределенный интеграл от дифференциала: ![]()
4. Неопределенный интеграл от суммы (разности) двух функций:
;
5. Вынесение постоянного множителя за знак неопределенного интеграла:
![]()
3.1.2 Таблица интегралов
![]()
![]()
![]()
![]()
![]()

![]()
3.1.3 Основные методы интегрирования
1. Использование свойств неопределенного интеграла.
Пример 29.


2. Подведение под знак дифференциала.
Пример 30.

3. Метод замены переменной:
а) замена
в интеграле
: ![]()
,
где
- функция, интегрируемая легче, чем исходная;
- функция, обратная функции
;
- первообразная функции
.
Пример 31.


б) замена
в интеграле вида:
![]()
;
Пример 32.

![]()
![]()
Пример 33.
![]()

4. Метод интегрирования по частям:
![]()
Пример 34.

![]()
Пример 35.

![]()
![]()
Возьмем отдельно интеграл
![]()
![]()
Вернемся к нашему интегралу:
![]()
![]()
![]()
![]()
3.2 Определенный интеграл
3.2.1 Понятие определенного интеграла и его свойства
Определение. Пусть на некотором интервале
задана непрерывная функция
. Построим ее график.

Фигура, ограниченная сверху кривой
, слева и справа прямыми
и снизу отрезком оси абсцисс между точками a и b, называется криволинейной трапецией.
S – область – криволинейная трапеция.
Разделим интервал точками
и получим:
![]()
Интегральная сумма:

![]()
Определение. Определенным интегралом называется предел интегральной суммы.
Свойства определенного интеграла:
1. Постоянный множитель можно выносить за знак интеграла:

2. Интеграл от алгебраической суммы двух функций равен алгебраической сумме интегралов этих функций:

3. Если отрезок интегрирования разбит на части, то интеграл на всем отрезке равен сумме интегралов для каждой из возникших частей, т.е. при любых a, b, c
:

4. Если на отрезке ![]()
, то и ![]()

5. Пределы интегрирования можно менять местами, при этом меняется знак интеграла:
6. 
7. Интеграл в точке равен 0:

8. 
9. (“о среднем”) Пусть y = f(x) – функция, интегрируемая на (a,b). Тогда
, где
, f(c) – среднее значение f(x) на (a,b):
![]()
10. Формула Ньютона-Лейбница
,
где F(x) – первообразная для f(x).
3.2.2 Методы вычисления определенного интеграла.
1. Непосредственное интегрирование
Пример 35.
а) 
б) 
в) 

д) 
2. Замена переменных под знаком определенного интеграла.

![]()
Пример 36.


2. Интегрирование по частям в определенном интеграле.
Пример 37.
а) 
б) 
![]()
в) 
![]()

![]()
д) 

3.2.3 Приложения определенного интеграла
| Характеристика | Вид функции | Формула |
| площадь криволинейной трапеции | в декартовых координатах |
|
| площадь криволинейного сектора | в полярных координатах |
|
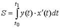
| площадь криволинейной трапеции | в параметрической форме |
|
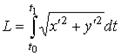
длина дуги кривой | в декартовых координатах |
|
длина дуги кривой | в полярных координатах |
|
длина дуги кривой | в параметрической форме |
|
объём тела вращения | в декартовых координатах |
|
объём тела с заданным поперечным сечением | ???????? ??????????? ?????????? ????????????? ?????? ?? ?????????? ????????????? ?????? ??????? ????? ?? ?????????? ????????????? ?????? ??????? ????????? ? ??????????
Актуально:
|







