Показатели эконометрики
Эконометрика – наука, которая дает количественное выражение взаимосвязей экономических явлений и процессов..
Этапами эконометрических исследований являются:
- постановка проблемы;
- получение данных, анализ их качества;
- спецификация модели;
- оценка параметров;
- интерпретация результатов.
Эконометрическое исследование включает решение следующих проблем:
- качественный анализ связей экономических переменных – выделение зависимых и независимых переменных;
- подбор данных;
- спецификация формы связи между у и х;
- оценка параметров модели;
- проверка ряда гипотез о свойствах распределения вероятностей для случайной компоненты;
- анализ мультиколлинеарности объясняющих переменных, оценка ее статистической значимости, выявление переменных, ответственных за мультиколлинеарность;
- введение фиктивных переменных;
- выявление автокорреляции, лагов;
- выявление тренда, циклической и случайной компонент;
- проверка остатков на гетероскедатичность;
- и др.
Целью данной контрольной работы является приобретение умения построения эконометрических моделей, принятие решений о спецификации и идентификации моделей, выбор метода оценки параметров модели, интерпретация результатов, получение прогнозных оценок.
Задачей данной работы является решение поставленных вопросов с помощью эконометрических методов. Данная работа позволит приобрести навыки использования различных эконометрических методов.
Задача 1
По данным, представленным в таблице выполнить следующие расчеты:
1. рассчитать параметры парной линейной регрессии.
2. оценить тесноту связи с помощью показателей корреляции и детерминации
3. оценить с помощью средней ошибки аппроксимации качество уравнений.
4. оценить статистическую зависимость уравнения регрессии и его параметров с помощью критериев Фишера и Стьюдентов
5. рассчитать прогнозное значение результата, если прогнозное значение фактора увеличится на 20% от его среднего уровня значимости α = 0,05
Решение.
Рассчитаем параметры парной линейной регрессии. Для этого выберем модель уравнения, построим уравнение тренда.
Для рассмотрения зависимости урожайности от дозы внесенных удобрений используем уравнение прямой:
y = a + bx
где х – независимый признак, доза внесенных удобрений
у – урожайность,
a, b – параметры уравнения регрессии.
Для расчетов параметров уравнения составим систему уравнений
na + ∑х = ∑у
a∑х + ∑х2 = ∑ух
где n – число наблюдений, n=25
25а +86,5 = 256,9
86,5a + 844,941 = 995,969
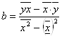
Параметры а и b можно определить по формулам
и a = y - bx
= (39,839 – 3,46∙10,276)/ (33,798-3,462) = 0,1960
а = 10,276 – 0,196∙3,46 = 9,598
ỹ = 9,598 + 0,196х
Коэффициент регрессии b= 0,196 ц/га показывает, насколько в среднем повысится урожайность при увеличении дозы внесения удобрений на 1 кг.
Средняя ошибка аппроксимации
= 1/25 ∙494,486 = 19,780%
Ошибка аппроксимации 19,78 % > 12% – модель ненадежна и статистически незначима.
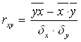
Оценим тесноту связи с помощью показателей корреляции и детерминации.
Тесноту связи показывает коэффициент корреляции:

![]()
![]()
δx- показывает, что в среднем фактор Х меняется в пределах
, 3,46 ± 4,672
δу - показывает, что в среднем фактор Y меняется в пределах
, 10,276 ± 2,289

rxy = 0,401, 0,3≤0,401≤0,5 – связь слабая
Коэффициент детерминации R = rxy2 ∙100% = 0,4012∙100% = 16,08.
yзависит от выбранного x на 16,08%, на оставшиеся 100-16,08% y зависит от других факторов.
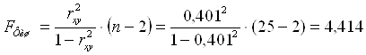
Оценим статистическую значимость уравнения регрессии и его параметров с помощью критериев Фишера и Стьюдента.

При α = 0,05, κ1 = n-1, κ2 = n-2 =25-2 =23
Fтабл. = 2,00, FФиш. = 4,414 > Fтабл. = 2,00 – модель значима и надежна
Рассчитаем прогнозное значение результата с вероятностью 0,95% при повышении дозы внесения удобрений от своего среднего уровня и определим доверительный интервал прогноза.
Найдем точечный прогноз для хпрогноз = 1,2∙х , хр = 1,2 ∙3,46 = 4,152
ỹ = a+bx, ỹр = 9,598 + 0,196∙ хр = 9,598 + 0,196∙4,152 = 10,412
Найдем среднюю ошибку прогнозного значения


Fтабл. Стьюдента для α = 0,05, df = n-2 = 25-2 = 23
tтабл.=2,0687,
∆ур = tтабл∙станд.ошибка = 2,0687∙2,188 = 4,526
Доверительный интервал прогноза по урожайности
γур = yp± ∆ур = 10,412 ± 4,526, от 5,886 до 14,938