Пространственно-временная метрика, уравнения геодезических. Ньютоново приближение
МИНИСТЕРСТВО ОБРАЗОВАНИЯ И НАУКИ УКРАИНЫ
КИЕВСКИЙ НАЦИОНАЛЬНЫЙ УНИВЕРСИТЕТ им. Шевченко
Факультет физики и астрономии
РЕФЕРАТ
НА ТЕМУ: ПРОСТРАНСТВЕННО-ВРЕМЕННАЯ МЕТРИКА,УРАВНЕНИЯ ГЕОДЕЗИЧЕСКИХ. НЬЮТОНОВО ПРИБЛИЖЕНИЕ
Выполнила: студентка ІV курса
Группа 103 В
Голуб Наталия
Киев 2009
Содержание
1. ПРОСТРАНСТВЕННО-ВРЕМЕННАЯ МЕТРИКА
1.1 Скорость света
1.2 Шварцшильдовы координаты
1.3 Изотропные координаты
2. УРАВНЕНИЯ ГЕОДЕЗИЧЕСКИХ
2.1 Уравнение энергии
2.2 Шкалы времени
3. НЬЮТОНОВО ПРИБЛИЖЕНИЕ
1. ПРОСТРАНСТВЕННО-ВРЕМЕННАЯ МЕТРИКА
В четырехмерном римановом пространстве общее выражение для интервала
между двумя событиями выражается производными
следующим образом:
(1.1.1)
где
— свободные индексы (а не обозначения степеней), и, кроме того, принято обычное правило суммирования (повторяющийся свободный индекс предполагает суммирование по всем его значениям 0, 1,2, 3). Таким образом, выражение (1.1.1) представляет собой сумму 16 членов. Значения
— функции координат; они определяют собой метрику пространства.
В соответствии с общей теорией относительности эта метрика зависит от распределения материи; значения
удовлетворяют некоторым дифференциальным уравнениям в частных производных, известным как уравнения Эйнштейна. Такая метрика называется пространственно-временной.
Последовательность координат движущейся частицы описывает ее «мировую линию», в частности, мировая линия частицы, свободно перемещающейся в гравитационном поле, называется геодезической.
Для наших целей достаточно ограничиться рассмотрением статического сферически симметричного поля, создаваемого единственной изолированной массой. Отождествим
с пространственными координатами относительно центра симметрии, а
временной координатой, обозначив ее через t. Предположение о статичности поля подразумевает, что значения
не являются функциями t, а радиальный масштаб может быть определен как произвольная функция радиуса. Поскольку этот масштаб выбран, дифференциальные уравнения, описывающие геодезическую, заданы полностью.
Тем не менее остается свободным еще выбор пространства координат
что эквивалентно выбору геометрической проекции при построении двухмерных карт. Аткинсон (8) показал, что релятивистские свойства сферически симметричного поля можно строго описать в рамках трехмерного евклидова пространства, поскольку предположение о сферической симметрии подразумевает неизменность вида метрики при евклидовых преобразованиях пространственных координат.
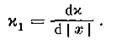
Принимая такую точку зрения, мы определяем евклидово пространство тремя взаимно ортогональными декартовыми осями с началом в центре симметрии; эта система координат описывает покоящуюся систему отсчета. Определим координатный вектор х и координатную скорость
как трехмерные евклидовы векторы, компоненты которых соответствен
![]()
Если
— единичный вектор в направлении х, то наиболее
общее выражение интервала
в случае статического сферически симметричного поля имеет вид
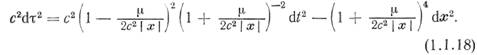
(1.1.2)
где
— константа,
— функции радиуса
(в этойформуле и далее все индексы — показатели степени).
Рассмотрим только так называемые временноподобные интервалы, для которых
в этом случае т называется «собственным» временем. Аткинсон (9) показал, что уравнения Эйнштейна приводят к двум соотношениям между коэффициентами формулы (1.1.2), которые в наших обозначениях таковы:
(1.1.3)
(1.1.4) где
— другая константа, а также
![]()
Выбором
, как произвольной функции радиальной координаты, можно описать бесконечное число сферически симметричных метрик, удовлетворяющих уравнениям Эйнштейна. Единственное условие, которое должно быть при этом удовлетворено, заключается в том, что приниными словами, на бесконечном расстоянии
от начала координат выражение интервала принимает вид (1.1.5)
![]()
который задает плоскую метрику Минковского специальной теории относительности. Система отсчета, в которой метрика имеет вид (1.1.э), называется инерциальной или лорентцевой системой отсчета.
1.1 Скорость света
Мировая линия фотона, называемая нулевой геодезической, определяется так, что
всегда равно нулю. Уравнение (1.1.5) показывает, что на нулевой геодезической в бесконечном удалении от начала
![]()
т. е. координатная скорость света в «пустом» пространстве равна
, Однако в нашем евклидовом пространстве координатная скорость света не равна
. Приняв в
имеем
(1.1.6)
что эквивалентно
(1.1.7)
Скорость света в произвольной точке х зависит от радиальной координаты и направления. В радиальном направлении скорость задается формулой
![]()
в то время как в тангенциальном направлении
![]()
и, следовательно,
![]()
1.2 Шварцшильдовы координаты
Рассмотрим преобразование пространственных координат
![]()
где
всегда равно
.
Дифференцируя это выражение и учитывая, что
получаем
![]()
откуда следует, что
![]()
и
![]()
Из формул
видно, что выражение (1.1.2) для интервала
преобразуется к виду
![]()
Где
![]()
Выражение
— векторная форма метрики в стандартных координатах Шварцшильда; соответствующую скалярную форму в сферических координатах, как строгое решение уравнений Эйнштейна, впервые получил в 1916 г. К. Шварцшильд.
Мы показали, что общее выражение (1.1.2) с помощью формул (1.1.3) и (1.1.4) может быть приведено к шварцшильдовой форме (1.1.12) путем чисто алгебраического преобразования соотношения (1.1.8). Таким образом, уравнения, выведенные с использованием метрики Шварцшильда, можно преобразовать к некоторой общей сферически симметричной метрике.
1.3 Изотропные координаты
Рассмотрим систему координат, определяемую формулой
![]()
В соответствии с (1.1.3), получаем
![]()
Дифференцируя (1.1.14) по
, находим
![]()
Следовательно, по (1.1.4) имеем
![]()
или
![]()
и выражение (1.1.2) для элемента
принимает вид

Это выражение известно как изотропная форма метрики Шварцшильда, поскольку, приняв в
, можно найти, что координатная
скорость света в точке х, задаваемая формулой
![]()
одинакова во всех направлениях.
2. УРАВНЕНИЯ ГЕОДЕЗИЧЕСКИХ
Можно показать (см. Приложение В), что уравнения, определяющие геодезические, выводятся из обычных уравнений Эйлера — Лагранжа, которые в координатах Шварцшильда имеют вид
![]()
![]()
где
— лагранжиан,
![]()
а точка сверху обозначает дифференцирование по![]()
Уравнение (1.2.1) дает непосредственно
![]()
Или
![]()
где
— постоянная интегрирования.
Формула (1.2.2) приводит к следующему выражению, вывод которого содержится в Приложении В:
![]()
Умножая (1.2.2) векторно на
, получаем
![]()
вследствие того что
Таким образом,
![]()
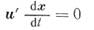
где Н — постоянная, а h — постоянный единичный вектор. Из последнего уравнения следует, что геодезическая лежит в плоскости, перпендикулярной h, а угловой момент по отношению к собственному времени остается неизменным. Угловой момент постоянен только в координатах Шварцшильда. В произвольной метрике, для которой
уравнение (1.2.6) имеет вид
![]()
правая часть которого не является постоянной, поскольку x — функция![]()
При этих условиях (1.2.6) эквивалентно уравнению
![]()
и, следовательно, уравнение геодезической (1.2.5) в координатах Шварцшильда принимает вид
![]()
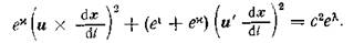
2.1 Уравнение энергии
Умножение уравнения (1.2.9) скалярно на
с последующим интегрированием дает
![]()
где
— постоянная интегрирования.
Это выражение можно также получить, исключая
из (1-2.4) и (1.2.3), с условием, что
Это приводит к
![]()
Вследствие того что
![]()
и
![]()
левая часть (1.2.11) вдвое превышает левую часть (1.2.10) и, следователь!; о,![]()
Считая
в точке, где
из (1.2.10) находим
![]()
где
![]()
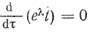
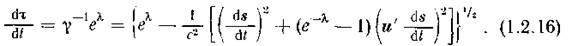
2.2 Шкалы времени
Уравнение (1.2.4)—дифференциальное, связывающее координатное и собственное время. С учетом (1.2.11) имеем
![]()
Если
определено интегрированием формулы (1.2.9), то можно найти
и, следовательно, получить после интегрирования выражения (1.2.15)
как функцию![]()
Необходимо также выразить дифференциальное уравнение (1.2.15) через координатную скорость
Принимая в (1.2.11)
![]()
с учетом (1.2.4) получаем
![]()
Формулы (1.2.15) и (1.2.16) можно вывести делением формулы (1.2.32) на, соответственно,![]()
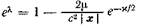
3. НЬЮТОНОВО ПРИБЛИЖЕНИЕ
Принимая в уравнении (1.2.9)
получим известное выражение для ускорения под действием закона всемирного тяготения Ньютона
![]()
Здесь мы отождествляем
где
— постоянная тяготения, а
- центральная масса. В этом случае в соответствии с (1.1.13)
а из
Таким образом, уравнение (1.2.4) дает.
а координатное и собственное время оказывается идентичным.
Подставив (1.3.8) в (1.2.9) и зная, что
— произвольная функция
можно получить уравнение геодезической в любых координатах. Очевидно, что даже и при
закон обратных квадратов строго выводится только в случае постоянства к, что вновь приводит нас к стандартным координатам Шварцшильда с простой лишь сменой шкалы. Таким образом, уравнение геодезической (1.2.9) в стандартных координатах Шварцшильда является непосредственным релятивистским обобщением уравнения Ньютона (1.3.1). В этих координатах мы и будем рассматривать теорию орбитального движения, принимая ньютоново решение как первое приближение.
Теперь имеем
![]()
и, следовательно,
![]()
и далее по (3.3.1)
![]()
Учитывая, что
—постоянный единичный вектор, интегрирование дает
![]()
где
— произвольный постоянный единичный вектор, а е — произвольная константа. В силу перпендикулярности
и
из (1.3.3) следует, что
перпендикулярно
и находится в плоскости орбиты.
Умножив скалярно (1.3.3) на
получаем
![]()
где обозначено
Разделив (1.3.4) на
, находим уравнение
орбиты
![]()
Поскольку
— ортогональные единичные векторы в плоскости
орбиты, а
— единичный вектор вдоль
, можно ввести угол
такой, что
(1.3.6)
и, следовательно,
Отсюда можно заключить, что (1.3.5) —
уравнение конического сечения, отнесенное к фокусу как началу, с эксцентриситетом е и параметром орбиты
Единичный вектор
направлен вдоль большой полуоси (рис. 1.1) от центра к фокусу. Можно интерпретировать полную скорость
в (1.3.3) как сумму двух векторов: один из них — постоянная скорость
всегда перпендикулярная радиусу-вектору, а другой— постоянная скорость
в фиксированном направлении
вдоль малой оси сечения. Приняв большую полуось равной
для параметра орбиты имеем
где верхний знак относится к эллиптическому движению
нижний — к гиперболическому
Таким образом,
![]()
а уравнение орбиты (1.3.5) приводится к виду
![]()
Расстояние от фокуса О до ближайшей точки линии апсид![]()
поэтому полная энергия в соответствии с (1.2.13) имеет вид
![]()
поскольку в таком приближении мы полагаем, что
или![]()
Уравнение (1.3.9) показывает, что при
движение стабильно
и орбита — эллипс; при
орбита — гипербола; наконец, если
орбита — парабола. Уравнение энергии в ньютоновом приближении выводится из
(1.3.9) при![]()
![]()
Использованная литература:
1» Абалакин В, К Основы эфемеридной астрономии,—М. : Наука, 1979.— 448 с,
2, Бакулин Л, И., Блинов Н. С. Служба точного времени, 2-е изд. М.» Наука 1977.—352 с. Бакулин П. И. Фундаментальные каталоги звезд, 2-е изд. М. : Наука, 1980 — 336 с.
4.Блажко С. Н, Курс практической астрономии» 4-е изд.М. : Наука, 1979.— 432 с.
5.Бугославская Е. Я- Фотографическая астрометрия,— М. : Гостехиздат, 1947 — 296 с.
8. Губанов В. С, Финкельштейн А. М., Фридман П. А. Введение в радиоастрометрию.— М. : Наука, 1983.— 280 с.
7.Гуляев А. П., Хоммик Л. М. Дифференциальные каталоги звезд.— М. : Наука 1983.-136 с.
8.Загребин Д. В, Введение в астрометрию.— М. : Наука, 1966.— 280 с.