Фундаментальный и технический анализ на рынке ценных бумаг
С того момента как Россия вступила на рыночный путь развития – рынок ценных бумаг занял лидирующее место среди институтов новой экономики. В настоящее время на рынке ценных бумаг торгуются акции представляющие разные сектора экономики. Востребованность рынка ценных бумаг экономикой не вызывает сомнений. Пенсионные накопления, сбережения населения, страховые резервы попадают на рынок в виде портфельных инвестиций. За свою небольшую, но насыщенную историю российский рынок стал одним из лидеров по росту капитализации среди развивающихся рынков, при этом оставаясь самым волантильным. Продолжающийся рост рынка только увеличивает опасения инвесторов, не желающих покупать акции на пике роста. Многочисленные дискуссии поднимают вопросы о том, на сколько оправдан данный рост рынка, есть ли фундаментальные предпосылки роста рынка в будущем. Таким образом, рынок ставит перед инвесторами вопросы и возникает проблема анализа инвестиционной привлекательности, как всего рынка ценных бумаг, так и отдельных акций.
В распоряжении инвестора есть два инструмента прогнозирования рынка ценных бумаг: технический и фундаментальный анализ. Исторически так сложилось, что технический анализ зародился раньше фундаментального, в начале 20-х годов прошлого века. В то время информацию о деятельности компаний найти было почти невозможно, особенно для миноритарных акционеров. В дальнейшем, с ростом законодательной базы и усилением регулирования, компании обязали раскрывать данные о своей производственной и финансовой деятельности, и у инвесторов появилась возможность глубже ознакомиться с текущим состоянием компании. Это послужило толчком к зарождению фундаментального анализа.
В совокупности фундаментальный и технический анализ представляют мощный инструмент для принятия инвестиционного решения. Фундаментальный анализ может дать знать о том, когда рынок или отдельная акция переоценена или недооценена. А технический анализ, в свою очередь, позволяет предсказать рост или падение отдельной акции или всего индекса на основе исторических данных.
Цель курсовой работы – выявить фундаментальные факторы, влияющие на цену акций, а также выделить методы технического анализа, на которых основывается большинство других инструментов последнего.
Для достижения поставленной цели предполагается решить ряд задач:
- описать природу, различные стороны и аспекты технического и фундаментального анализа;
- изучить теоретические особенности фундаментального и технического анализа;
- проанализировать фундаментальные факторы, влияющие на цену акций;
- изучить разнообразие методов технического анализа;
Новизна курсовой работы состоит в том, что были выявлены и описаны основные фундаментальные факторы, влияющие на цену акций, а также были систематизированы методы технического анализа по критерию используемых индикаторов.
Практическая значимость курсовой работы заключается в возможности применения выявленных фундаментальных факторов и методов аналитиками непосредственно на российском рынке акций.
Глава 1 Фундаментальный анализ
1.1 Предмет и методы фундаментального анализа
Термин «анализ» широко используется практически во всех областях научного знания. Толковый словарь В.И.Даля определяет анализ – как «разбор, разработка, разрешение, разложение целого на составные части его; общий вывод из частных заключений»(1). В экономической литературе слово «анализ» встречается в различного рода словосочетаниях – «экономический анализ», «финансовый анализ», «анализ финансово-хозяйственной деятельности предприятия», «технический анализ» и, наконец, «фундаментальный анализ».
Основоположниками западной теории фундаментального анализа принято считать Бенджамина Грэма и Дэвида Додда, которые в 1934 году в США опубликовали книгу «Анализ ценных бумаг». В этой книге впервые было введено понятие «фундаментальный анализ» и дано ему определение как инструменту для предсказания будущих биржевых цен на акции. При этом предметом исследования фундаментального анализа, по мнению авторов, являются «финансовые показатели, доходы и дивиденды компании, а также состояние окружающей экономики»(2).
Более поздние научные издания дают определение фундаментальному анализу как процессу «исследования состояния экономики, отрасли и финансового положения компании с целью определения рыночной стоимости акций компании»(3).
Таким образом, фундаментальный анализ – это оценка множества внешних и внутренних факторов, существенно влияющих на финансовую и хозяйственную деятельность компании, результаты которой находят отражение в рыночной стоимости ее ценных бумаг. Таких факторов великое множество. Это и деятельность конкурентов, и политическая ситуация в стране, и эффективность менеджмента, и неукоснительное соблюдение прав акционеров общества, и финансовое положение компании.
Как следует из приведенных выше определений, главной целью применения фундаментального анализа является определение текущей рыночной стоимости ценной бумаги и последующий ее мониторинг для принятия соответствующих инвестиционных решений.
Западные исследователи выделяют два основополагающих подхода в проведении фундаментального анализа(4). Традиционный анализ обычно предусматривает подход «сверху-вниз», начинающийся с экономического анализа, затем переходящий к анализу состояния отрасли и, наконец, к фундаментальному анализу положения компании. Существует и другой подход, при котором инвестор проводит анализ «снизу-вверх», начиная с микроуровня, переходя к анализу отрасли и заканчивая экономической ситуацией. Оба подхода возможны и не являются взаимоисключающими.
По мнению автора для инвестора, применяющего фундаментальный анализ, наиболее рациональным является традиционный подход: начиная с общего и постепенно переходя к частному. Так как, если переходить от частного к общему, можно попасть в ситуацию, когда выбранная компания-эмитент с выгодными финансовыми показателями находится в неперспективной отрасли, которая через несколько лет может прийти в упадок.
Согласно традиционному подходу фундаментальный анализ проводится на нескольких этапах, спускаясь сверху вниз. Первый уровень – анализ мировой экономики, второй уровень – анализ экономики страны, третий уровень – анализ отраслей промышленности и секторов услуг, четвертый заключительный этап – это анализ инвестиционной привлекательности компании. Каждые этапы имеют свои определенные особенности.
1.2 Анализ мировой экономики
Как уже было отмечено первый этап фундаментального анализа – анализ мировой экономики. Задачами этого этапа являются определение политик мировых Центробанков и выявление преобладающих направлений спекулятивных и среднесрочных денежных потоков, как между различными классами мировых активов, так и между различными странами, анализ темпов роста мировой экономики и динамика мировых бизнес циклов.
Особую роль в анализе мировой экономики являются процентные ставки ведущих экономик мира: США, Евросоюза и Англии. Так повышение процентных ставок в США негативно влияет на рынки ценных бумаг развивающихся стран. Консервативные инвесторы предпочтут облигации федеральной резервной системы облигациям и акциям рискованных, но более доходных развивающихся рынков. Так при росте учетных ставок развивающие рынки будут демонстрировать отток денег. Однако при понижении учетных ставок, развивающие рынки становятся привлекательным инструментом для среднесрочных и долгосрочных вложений капитала.
Повышение процентных ставок приводит к ужесточению кредитно-денежной политики в США, целью которой является стимулирование инвестиций в США. Рост рынков развивающихся стран на фоне повышения учетных ставок главных экономик мира кажется все более неустойчивым.
Публикуемые МВФ отчеты о состоянии экономики является достоверным индикатором. Так главную роль играет темпы роста мирового ВВП. Рост мировой экономики является позитивным сигналом для инвесторов, а ее снижение негативным. Вместе с тем инвесторов интересует, в какой стадии бизнес цикла находится экономика, как долго продлится этот рост и что можно ожидать в будущем. Динамику мировых бизнес циклов отражает индекс JP Morgan Global PMI, рассчитываемый на основании национальных отчетов по промышленности.
Темпы роста мировой промышленности оказывают прямое влияние на сырьевые рынки стран, так как промышленный рост невозможен без сырья. В этом ключе будет интересна условная классификация стран (помимо развитых и развивающихся) по уровню зависимости от сырья, так называемые страны поставщики сырья и страны покупатели сырья. Так высокие цены на нефть благоприятно сказываются на странах поставщиках нефти, но замедляют темпы роста экономики стран покупателей сырья, так как приводят к увеличению транспортных издержек, росту инфляции и т.д.
1.3 Анализ макроэкономической ситуации в стране
Одним из главных факторов определяющих динамику доходов фирмы является макроэкономическая ситуация на рынке. Быстрорастущая экономика привлекательна для фирм, так как существуют возможности для увеличения доходов. Состояние экономики страны во многом определяет ее инвестиционную привлекательность на международном рынке. Состояние макроэкономики описывается рядом ключевых показателей, таких как ВВП, инфляция, ставка процента, безработица, бюджетный дефицит.
Ключевым показателем, безусловно, является ВВП, который показывает суммарное количество товаров и услуг произведенной экономикой страны за год. Другой популярный индикатор – индекс промышленного производства.
Внутренний валовый продукт рассчитывается ежеквартально, с текущими поправками. В простейшем случае при расчете ВВП учитываются 4 основные компоненты: объем потребления (С), объем инвестиций(I), правительственные расходы(G), и чистый экспорт, то есть полный экспорт(X) минус полный импорт(M). Формула ВВП выглядит следующим образом: GDP = C + I + G + (X – M). Чем больше рост ВВП, тем больше инвестиционная привлекательность фондового рынка, но только в том случае если рост ВВП не сопровождается значительным темпом инфляции.
Влияние быстрого роста ВВП на рынок акций зависит от того, в какой точке цикла деловой активности оно оказывается. В начале цикла, при выходе из рецессии, рост ВВП рынком акций приветствуется. В остальной части бизнес-цикла рост ВВП ассоциируется с ростом прибыли предприятий и также приводит к росту рынка акций, но только в том случае если этот рост не слишком существенен (не совершает больших скачков по отношению к значениям в предыдущих кварталах), если не ожидается проблем с поставками сырья, недостатка рабочих рук, витка инфляции или изменение учетных ставок. Слишком большой рост воспринимается с настороженностью, поскольку, как показывает история, часто предшествует рецессии. Индикатор ВВП может быть использован для изучения инвестиционной привлекательности экономики двумя путями. Первый путь – оценить соотношение капитализации фондового рынка и ВВП страны для определения степени оцененности экономики, второй – сравнение темпов роста экономики страны с другими странами.
В таблице 1 показаны отношения капитализации фондового рынка 12 стран, 6 стран относятся к развитым и 6 стран к развивающимся.
Таблица 1. Отношение капитализации фондового рынка к ВВП на 01.02.2006, %(5)
| Развитые страны | Развивающиеся страны | ||
| США | 97 | Бразилия | 98 |
| Канада | 137 | Аргентина | 52 |
| Великобритания | 144 | Египет | 90 |
| Франция | 94 | Турция | 58 |
| Германия | 51 | Польша | 42 |
| Швейцария | 226 | Россия | 92 |
В наиболее низко оцененном рынке Германии данное соотношение составляет всего 51%, самый высокооцененный рынок среди развитых стран в Швейцарии. Среднее отношение капитализации к ВВП для развитых рынков составляет 125%. Среди развивающихся рынков самый низкооцененный рынок в Польше. Среднее по развивающимся странам 72%. Так опираясь на данный показатель можно сказать, что самые инвестиционно-привлекательные рынки в Германии и Польше, среди развитых и развивающихся стран соответственно.
Полезную роль в инвестиционном анализе является оценка динамики этого показателя. Преимущества этого метода следующие, так он позволяет оценить опережает ли фондовый рынок рост ВВП или наоборот отстает от него. Вообще исследователи спорят на счет справедливого отношения капитализации фондового рынка и ВВП. Большинство из них соглашается, что приемлемый уровень соотношения 70%(6).
Следующий по важности экономический индикатор, определяющий оцененность фондового рынка – инфляция. Инфляция представляет собой общее повышение стоимости товаров или услуг с течением времени. С точки зрения экономической стабильности инфляция является неблагоприятным фактором. Наиболее общей мерой инфляции является индекс потребительских цен, который представляет собой увеличение стоимости «фиксированной корзины товаров». «Корзина» товаров включает в себя наименования, необходимые среднему потребителю, такие как продукты питания, бензин, жилье и медицинское обслуживание. Другой популярной мерой инфляции является индекс цен производителей. В отличие от индекса потребительских цен, отражающего увеличение стоимости товаров на розничном или потребительском уровне, показывает стоимость товаров и услуг на оптовом уровне. Как правило, за увеличением индекса цен производителей следует увеличение потребительских цен. Однако бывают ситуации, когда индекс цен производителей увеличивается, в то время как индекс потребительских цен остается неизменным. Это – пример ситуации, когда увеличение цен на оптовом уровне «абсорбируется» компаниями и не передается на уровень потребителей. Как инфляция воздействует на фондовый рынок? Времена инфляционного роста обычно трудны для компаний, и цены на акции падают по мере уменьшения прибыльности.
Инфляция находит отражение в ставке процента. Высокие процентные ставки снижают настоящую стоимость будущих потоков платежей, тем самым, снижая привлекательность инвестиций. Процентная ставка один из самых важных показателей характеризующих экономику. Непредвиденное повышение процентных ставок оказывает негативное влияние на рынок акций. К сожалению, прогноз процентных ставок представляет собой сложнейшую задачу. Но кроме инфляции на процентные ставки оказывают воздействие такие показатели как: предложение капитала от домашних хозяйств, спрос на капитал и монетарная политика.
1.4 Анализ отраслей
Третий этап фундаментального анализа – анализ отрасли. Когда уже готов макроэкономический анализ, необходимо его спроецировать на отдельные отрасли экономики. Не все отрасли одинаково чувствительны к текущему бизнес циклу. Так, например, акции компаний занимающихся добычей нефти зависят от цены на нефть, акции компаний цветной металлургии от цен на цветные металлы. Акции данных компаний чувствительны к текущему бизнес циклу, так как именно в периоды расцвета экономики наблюдается усиление конкуренции фирм за ресурсы. Но, к примеру, компании, работающие в сфере розничной торговли, производящие продукты питания, то есть продукты которых неэластичны по спросу менее подвержены колебаниям бизнес циклов. Вторым фактором, определяющим чувствительность компании к бизнес циклу, является операционный леверидж. Операционный леверидж – это соотношение постоянных и переменных затрат. Компании с большей долей переменных затрат менее чувствительны к бизнес циклам, так как они могут безболезненно урезать производство тем самым сократив затраты. Компании с большей долей постоянных затрат, не смогут также оперативно сократить затраты вместе с падением продаж и будут вынуждены терпеть убытки, то есть фирмы с высокой долей переменных затрат имеют больший финансовый леверидж, так как малое изменение условий, в которых работает бизнес, оказывает существенное влияние на прибыльность компании.
Другим важным аспектом фундаментального анализа отрасли является определение стадии ее развития или другими словами жизненный цикл отрасли. Типичный жизненный цикл рынка может быть описан пятью стадиями. Первая стадия так называемый стартап. На этой стадии происходит зарождение новой индустрии, стадия с высоким ростом выручки, рынок не насыщен новым продуктом, прибыль компании отрицательная. Оценка компании базируется целиком на будущем росте. Вторая стадия – бурная экспансия, на этой стадии рынок растет очень быстрыми темпами, выручка компании растет такими же стремительными темпами, компания начинает приносить прибыль, которая полностью реинвестируется. Третья стадия сильный рост – и выручка и прибыль растут, компания уже может выплачивать некую сумму в дивидендах. Но при этом у компании уже появляются конкуренты, входящие в отрасль; фирма обладает какой-то операционной историей, которую можно использовать для оценки бизнеса. Четвертая стадия – зрелость. На зрелом рынке темп роста выручки замедляется, при этом прибыль все еще растет быстрее выручки, так как компания повышает эффективность. На этой стадии фирмы платят наибольшие дивиденды. Оценка такой компании будет уже базироваться на текущих активах, чем на ожидаемом росте. И последняя стадия – снижение, выручка компании падает, прибыль снижается, компании постепенно выходят с рынка. Оценка производится в основном в соответствии с текущими активами.
Данная классификация отраслей и фирм заметно упрощена по сравнению с настоящей жизнью, но дает общее представление о том чего можно и нужно ожидать от деятельности компании работающей в определенной отрасли.
На какой стадии жизненного цикла выгодно осуществлять портфельные инвестиции в отрасль? Наиболее распространенное мнение на рынке, что для инвестиций больше подходят быстрорастущие компании. Однако повышенное внимание аналитиков к таким отраслям создает все предпосылки того, что все перспективы роста уже будут учтены в цене акции. И более того высокие темпы роста привлекают конкурентов, что пагубно сказывается на динамике продаж и марже прибыли. Оценить долгосрочную доходность отраслей экономики можно на примере рынка США(7). В таблице приведены средние доходности некоторых отраслей экономики США за период с 1950 по 2000 год.
| Лекарства | 15,5 |
| Чипы | 14,6 |
| Нефть | 13,7 |
| Розничная торговля | 13,4 |
| Банки | 12,9 |
| Автомобили | 12,9 |
| Бумага | 12,6 |
| Страхование | 11,2 |
| Транспорт | 10,9 |
| Электроэнергия | 10,9 |
| Сталь | 9,8 |
| Индекс S&P | 12,23 |
| Безрисковая ставка | 3,08 |
Так мы видим, что наибольшую доходность показал сектор разработки и производства лекарственных продуктов и производство компьютерных составляющих. Наименьшую же доходность показала стальная промышленность. Из таблицы можно сделать вывод, что наиболее высокую доходность показывают высокотехнологические отрасли, с большими затратами на так называемый НИОКР.
1.5 Анализ компании
Следующий этап фундаментального анализа – оценка ценных бумаг и, как частное, поиск недооцененных ценных бумаг.
Одним из самых популярных показателей оценки акций является собственный капитал компании или чистые активы. Собственный капитал компании можно найти в бухгалтерском балансе. Собственный капитал компании – это чистые активы, которые могут быть получены путем вычитания из активов всех обязательств. Если капитализация компании опускается ниже значения собственного капитала компании, то ее можно считать недооцененной. Однако следует обратить внимание на качество активов компании, если денежные средства обладают абсолютной ликвидностью, то такая статья как нематериальные ценности и гудвил не может нам дать полной уверенности, что при продаже мы получим то количество денег, которое указано в балансе компании. При этом особое внимание следует обратить на рентабельность компании. Так если компания торгуется с коэффициентом отношения капитализации к собственному капиталу меньше нуля и имеет хорошую рентабельность, то она является хорошим объектом для портфельных инвестиций.
Другим показателем оценки компании является ликвидационная стоимость на акцию. Этот показатель представляет собой сумму денег, которая может быть получена, если распродать все активы, выплатить весь долг и выплатить оставшиеся деньги акционерам. Ликвидационная стоимость может служить тем показателем, ниже которого акция упасть не может, так как, если бы подобное произошло, фирма стала бы идеальным кандидатом для атаки корпоративными рейдерами. Рейдеры при возможности приобрели бы контроль над фирмой, распродали бы активы, выплатили долги и получили бы прибыль, так как цена, заплаченная за фирму, меньше чем ликвидационная стоимость.
Другим показателем является восстановительная стоимость активов фирмы за минусом обязательств. Некоторые аналитики считают, что стоимость фирмы не может уйти слишком далеко от восстановительной стоимости, так как в этом случае конкуренты воспроизвели бы фирму. Давление со стороны конкурентов входящих в ту же отрасль будет понижать стоимость компании пока она не придет в соответствие с восстановительной стоимостью. Эта идея популярна среди экономистов, отношение капитализации компании к восстановительной стоимости известно как Tobin’s q. В долгосрочной перспективе, отношение капитализации к восстановительной стоимости будет стремиться к 1. однако наблюдения показывают, что соотношение так же может долгое время значительно отличаться от 1.
Показатели, рассчитываемые из баланса, могут быть очень полезными, но на бычьих рынках бывает невозможно найти фирмы, торгующиеся ниже восстановительной или ликвидационной стоимости. Поэтому аналитики вынуждены обращать внимание на ожидаемые денежные потоки, так как именно они определяют цену акции.
С другой стороны, очевидно, что применение метода чистых активов к стабильно работающему предприятию, руководство которого не планирует его ликвидацию или продажу по частям, нельзя назвать абсолютно корректным. Компания как система обладает свойствами, которых нет у отдельных составляющих ее элементов – активов, следовательно, ее стоимость может быть выше, чем сумма стоимостей этих активов.
Другим самым распространенным и самым противоречивым мультипликатором для оценки ценных бумаг является Р/Е. Распространен этот показатель по причине его простоты и легкости вычисления. Для вычисления мультипликатора необходимо поделить цену акции на доход на акцию. Данный мультипликатор показывает за сколько лет окупятся вложения в акцию при текущем уровне прибыльности. Мультипликатор можно посчитать двумя способами: первый способ – цену акции разделить на текущий доход на акцию, а второй способ – цену акции разделить на доход на акцию следующего года. Разные способы дают разные результаты.
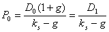
Еще одним методом позволяющим определить стоимость акции является метод дисконтирования дивидендов. Стоимость акции определяется как настоящая стоимость денежного потока, и простейшая оценка акций очень похожа на оценку облигаций. Если представить гипотетическую ситуацию, в которой инвестор покупает акцию с намерением держать ее вечно, то есть после своей смерти завещать детям, внукам и т.д. В этом случае, инвестор и его наследники получат поток дивидендов, и стоимость акции может быть рассчитана как настоящая стоимость бесконечного потока дивидендов.
, где P0 – внутренняя стоимость акций на сегодняшний день, по мнению аналитика проводящего анализ, которая базируется на его собственных предположениях об ожидаемых потоках дивидендов и рискованности акций. Таким образом, мы приходим к выводу, что внутренняя стоимость акции может быть различна для инвесторов в зависимости от их оптимизма на счет компании. Поскольку на рынке множество инвесторов, то и значения внутренней стоимости могут быть различны. Однако мы думаем о некой средней группе инвесторов, действия которых в данный момент определяют курс акции. Для этих инвесторов внутренняя стоимость должна быть равной рыночной цене акции. Если бы это было не так, то имело бы место нарушение равновесия, и продажи или покупки акций выровняли бы внутреннюю и рыночную цены. Dt – дивиденд, который держатель акции ожидает получить в конце года t. Все это прогнозируемые дивиденды, ожидания о величине которых могут варьироваться среди инвесторов. ks – минимально приемлемый доход или требуемая ставка дохода на акцию, принимая во внимание рискованность акции и доход на другие инвестиции. Этот параметр опять имеет отношения к средним инвесторам. Основные детерминанты ks включают в себя норму доходности, ожидаемую инфляцию и риск.
Если брать более обыденную ситуацию, при которой инвестор не собирается держать акцию вечно, а продаст ее в будущем, то стоимость акции для этого инвестора будет равна ожидаемому потоку дивидендов и той сумме, которую инвестор получит при продаже акции на рынке. Но и та цена, которую инвестор получит при продаже, будет зависеть от ожидаемого потока дивидендов, который от этой акции будет ожидать будущий инвестор. Таким образом, для всех инвесторов ожидаемый поток наличности должен базироваться на ожидаемых будущих дивидендах.
Формула обобщила модель оценки акции при этом, осознавая, что временной характер поведения дивидендов может быть разным: они могут расти, падать, вести себя непредсказуемо и даже быть нулевыми некоторое время. При использовании компьютера инвесторы могут в любое время найти внутреннюю стоимость акции для любого поведения дивидендов. В реальности же самое сложное сделать прогноз будущих дивидендов. Однако во многих случаях ожидаемый рост потоков дивидендов будет расти постоянным темпом:
,
где D0 – самые последние выплаченные дивиденды, g – ожидаемый темп роста дивидендов, по мнению среднего инвестора. Разные инвесторы могут использовать различные g для оценки акций, но курс акции на рынке установлен по g для среднего инвестора. Последнее равенство называется моделью Гордона. Для этой формулы ks>g. Так если бы было верно обратное, то цена акции была бы равна бесконечности. В реальном мире ни одна акция не могла бы приносить доходность, растущую с постоянным темпом, превышающим требуемую ставку доходности. Инвесторы просто-напросто бы повысили требуемую доходность для данной акции.
Модель постоянного роста преимущественно применяется для компаний находящихся в зрелой фазе жизненного цикла, стабильно платящих дивиденды. Предполагаемые темпы роста компании варьируются, однако, можно предположить, что доходы зрелых компаний будут расти примерно с такой же скоростью, как и номинальный ВВП.
Таким образом, инвестор, используя фундаментальный анализ, поэтапно оценивает ситуацию в мировой экономике. Если она, по его мнению, благоприятна, то можно переходить к следующему этапу. На следующем этапе посредством анализа макроэкономических показателей выбирается страна с наиболее благоприятным инвестиционным климатом. Определив страну, в которую наиболее выгодно вкладывать портфельные инвестиции, аналитик переходит к анализу отраслей. И уже в наиболее благоприятной отрасли происходит поиск недооцененных акций, которые и будут объектом наиболее выгодного инвестирования.
Глава 2 Технический анализ
2.1 Постулаты и предпосылки технического анализа
Как уже отмечалось выше, для анализа на рынке акций можно использовать не только фундаментальный анализ, но и технический.
Прежде всего, приведем определение технического анализа. Отметим, что хотя и существует множество формулировок данного понятия, но все они в той или иной степени отражают его главную суть. И поэтому определение не представляет особой сложности. Приняв за основу формулировку, изложенную ведущим специалистом в данной области с мировым именем Дж. Мэрфи, можно сказать, что технический анализ – это исследование динамики рынка с целью прогнозирования будущего направления движения цен, ориентированное на принятие инвестиционных решений. Применимо для рынка акций термин «динамика рынка» включает в себя два источника информации, находящихся в распоряжении технического аналитика, а именно – цену и объем сделки(8). Исследуя динамику цен и объем торгов, технический анализ в значительной степени абстрагируется как от самого эмитента, так и от среды, в которой он действует, т.е. знание причин, вызывающих изменение цен, в техническом анализе в принципе не обязательно.
В классической теории технического анализа, базовые принципы которого были заложены еще Чарльзом Доу в конце XIX века, существуют три постулата – подмеченные тонкости, на которых основывается технический анализ, логика его методов. Различные авторы публикаций, специалисты технического анализа, его критики и противники по-своему формулируют данные постулаты, но, в общем, все они одинаково излагают их суть. Сформулируем данные постулаты и приведем также для сравнения предпосылки, изложенные Чарльзом Доу в его теории.
Первый постулат: Рынок учитывает все (или курс учитывает все; цена учитывает все). На базе данного постулата сформирована теория эффективности рынка, согласно которой ничто не может действовать более эффективно, чем рынок, поскольку в каждый момент времени цена отражает всю имеющуюся информацию(9).
Второй постулат: Движение цен подчинено тенденциям (или цена движется в одном направлении; рынок движется трендами).
Третий постулат: История повторяется.
Рынок учитывает все.
Данное утверждение, по сути дела, является краеугольным камнем всего технического анализа. Аналитики технической школы полагают, что причины, которые хоть как-то могут повлиять на рыночную стоимость актива (а причины эти могут быть самого разнообразного свойства: экономические, политические, психологические - любые), непременно найдут свое отражение в цене на этот товар. Иными словами, любые изменения в динамике спроса и предложения отражаются на движении цен. Если спрос превышает предложение, цены возрастают. Если предложение превышает спрос, цены идут вниз. Это, собственно, лежит в основе любого экономического прогнозирования. В техническом же анализе подходят к проблеме с другой стороны и рассуждают следующим образом: если по каким бы то ни было причинам цены на рынке пошли вверх, значит спрос превышает предложение. Следовательно, по макроэкономическим показателям рынок выгоден для «быков». Если цены падают, рынок выгоден для «медведей». Говоря о «макроэкономике», многие специалисты по техническому анализу согласятся, что именно глубинные механизмы спроса и предложения, экономическая природа того или иного рынка и определяют динамику на повышение или на понижение цен. Сами по себе графики цен не оказывают на рынок ни малейшего влияния. Они лишь отражают, если угодно, психологическую тенденцию на повышение или на понижение, которая в данный момент овладевает рынком.
Как уже было отмечено, многие сторонники технического анализа предпочитают не вдаваться в глубинные причины,