Теорема Дирихле
Содержание
Введение. 2
1. Характеры.. 3
1.1 Определение характера. Основные свойства характеров. 3
1.2 Суммы характеров. Соотношение ортогональности. 6
1.3 Характеры Дирихле. 8
2. L-функция Дирихле. 13
3. Доказательство теоремы Дирихле. 29
Введение
Простые числа расположены в натуральном ряде весьма неравномерно.
Целью данной работы является доказательство следующей теоремы о простых числах в арифметической прогрессии.
Теорема Дирихле. Если разность и первый член арифметической прогрессии есть взаимно простые натуральные числа, то она содержит бесконечное множество простых чисел.
Пусть
mn+ l, =1,2, …,
прогрессия, удовлетворяющая условию теоремы.
Условие (m, l)=1, наложенные на числа m и e в формулировке теоремы, естественно, поскольку в случае, когда d=(m, l)>1, все члены прогрессии делятся на d и поэтому не являются простыми числами.
Сформулированная теория была впервые высказана Л. Эйлером в 1783 г. В 1798 г. А. Лежандр опубликовал доказательство для четных m, использовавшее, как выяснилось позднее, одну ошибочную лемму.
Полностью доказал теорему в 1837–1839 гг. Петер Густав Лежен-Дирихле (1805–1859), немецкий математик, автор трудов по аналитической теории чисел, теории функций, математической физике.
В 1837 г. вышли две работы Дирихле, посвященные теореме о простых числах в арифметической прогрессии. Они содержали формулировку теоремы в общем виде, однако доказательство приводилось только для случая, когда разность прогрессии есть простое число. В конце второй работы содержится построение характеров для произвольного модуля и некоторые утверждения о том, как можно доказать утверждение L(1,χ)¹0 для неглавных характеров x в одном случае. В 1839 г. Дилихле опубликовал полное доказательство теоремы о простых числах в арифметической прогрессии. С тех пор она носит его имя.
1. Характеры
1.1 Определение характера. Основные свойства характеров
![]()
Характером (от греческого хараæτήp-признак, особенность) χ конечной абелевой группы G называется не равная тождественно нулю комплекснозначная функция, определенная на этой группе и обладающая тем свойством, что если, АÎGи BÎG
χ (АВ)= χ (А) χ(В).
Обозначим через Е единичные элементы в группе G и через А-1 обратный элемент для АÎG
Характеры группы G обладают следующими свойствами:
1. Если Е-единица группы, то для каждого характера χ
χ (Е)=1 (1.1)
Доказательство. Пусть для каждого элемента АÎG справедливо неравенство
c1(А)=c(АЕ)= c(А) χ (Е)
Из этого равенства получим, что c (Е)¹0. Теперь из равенства
c (Е)= c (ЕЕ)= c (Е) c (Е)=1
следует равенство (1.1)
2. c (А) ¹0 для каждого АÎG
Действительно, если бы χ (А) =0 для некоторого АÎG, то
c (А) χ (А-1)= c (АА-1)= χ (Е)=0,
а это противоречит свойству 1.
3. Если группа G имеет порядок h, то Аh=Е для каждого элемента АÎG Следовательно,
1= χ (Е)= χ (Аh)= χ (А)h,
то есть χ (А) есть некоторый корень степени h из единицы.
Характер χ1, обладающий свойством χ1(А)=1 для каждого элемента АÎG, называется главным характером группы G. Остальные характеры называются неглавными.
Лемма 1. Пусть Н подгруппа конечной абелевой группы G, причем G/H – циклическая порядка , тогда для каждого характера χH– подгруппы Н существует ровно характеров.
Доказательство. Рассмотрим группу G=
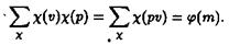
gkH, причем gnH=H, gnÎH и gn=h1=1.
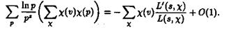
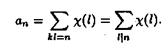
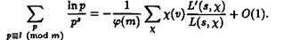
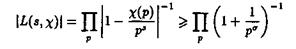
Для каждого элемента XÎG существует и притом единственное к=кх и hх=h такое, что если 0£ кх ХY= gк+mhhy. Определим характер χ (X). χ (X)= χ (gк h)= χ (gк) χ (n)= χ к (g) χH (h). В данном выражении неизвестным является χ (g). χn(g)= χ (gn)= χ (h1)= χH(h1) – данное число. то есть ξјn=χn(g)= χH(h1), получаем xk(g)= ξјn. Следовательно, x(g)= ξ1, …, ξn Из полученных равенств получаем: χ (X)= χk(g) χH(hx)= ξjkxχH (hx) χ (Y)= χm(g) χH(hy)= ξjkyχH (hy) Определим умножение характеров χ (X) χ (Y)= ξjkyχH (hy) ξjk-xχH (hx)= ξjkx+kyχH (hx) χH (hy)= jk+mχH (hhy) Для того чтобы определение выполнялось, необходимо рассмотреть степень gkx+kx. Возможны два случая: 1) Если 0£ кх + ky кх + ky= kxy,; hxhy= hxy. В этом случае определение выполняется. 2) Если n£ кх + ky<2n-1, то получим кх + ky = n + kxy.. Тогда XY= g kx+ky hxhy=ghgkx+ky-n hx hy=gkx+ky-nh1hxhy В свою очередь 0£ кх + ky – n£n-1 Þ kx+ky – n=kxy, h1hxhy= hxy. χ (XY) = ξjkх+kу χн (hxу) = ξjkх + kу – nχн (h1) χн(hx) χн (hy) = ξjкх ξj ку ξj– n χн (h1) χн(hx) χн (hy) = ξj кх χн (h1х) · ξj ку χн(hy) = χ (X) χ(Y). Лемма доказана. 5. Характеры конечной мультипликативной абелевой группы G образуют конечную мультипликативную абелевую группу Ĝ. Под произведением двух характеров χ' и х χ'' группы G будем понимать характер х, определяемый следующим свойством: χ (AB) = χ' (A) χ'' (В) Для любого элемента АÎG, имеем: χ (АВ) = χ' (АВ) χ'' (АВ) = χ' (А) χ' (В) · χ'' (А) χ'' (В) = χ(А) χ(В) Таким образом, получаем χ ' χ '' действительно является характером. Роль единичного элемента группы G играет главный характер χ1 Обратным элементом G является: Пусть G – конечная мультипликативная абелева группа порядка h. Рассмотрим сумму: S = где А пробегает все элементы G, и сумму Т = где c пробегает все элементы группы характеров Ĝ. Рассмотрим чему равна каждая из сумм. а) Если В-фиксированный элемент группы G и А пробегает все элементы G, то АВ также пробегает все элементы группы G. Следовательно, S·c (В) = Получили Sc (В) = S, откуда следует, что (c (В) – 1)·S = 0. Следовательно, возможны два варианта: 1) S = 0, то c (В) – негативный характер 2) S≠0, то c (В) = 1 для каждого элемента В€G и в этом случае c (В)= c1(В) есть главный характер и сумма S равна порядку h группы G. Таким образом, S = б) Если мы умножим сумму Т на некоторый характер c’ группы Ĝ, то аналогичным образом получим c’ (А) Т = Следовательно, 1) или Т = 0, то А ≠Е 2) или Т ≠ 0, то c’ (А) = 1 для каждого характера c’€ G. В этом случае согласно свойству 3§ 1, имеем А=Е. И тогда Т=h. Таким образом, Т = Пусть m – положительное целое число. Определим числовые характеры по модулю m. Мы знаем, что j(m) приведенных классов вычетов по модулю m образуют мультипликативную абелеву группу порядка h=j(m). Мы можем, следовательно, рассмотреть характер этой группы. Но определение характера для приведенных классов вычета по модулю m можно перенести на множество целых чисел следующим образом. Положим c(а)= c(А), если аÎА, где А – приведенный класс вычетов по модулю m. Тогда очевидно, c(а)= c(b) (mod m), и c(ab)= c(а) c(b), если (а, m)=(b, m)=1. Поскольку c(А)¹0 для каждого приведенного класса вычетов А, то c(а)¹0, если (a, m)=1. Это определение применимо только к целым числам а, которые взаимно просты с m. Мы можем рассмотреть его на все целые числа, положив c(а)=0, если (a, m)>1. Следовательно, характер по модулю m есть арифметическая функция c, обладающая следующими свойствами: c(а)= c(b), если с=b (mod m) c(ab)= c(a) c(b) для всех целых a и b c(а)=0, если (a, m)>1 c(а)¹0, если (a, m)=1 Имеется точно j(m) – количество характеров по модулю m, где j(m) – количество положительных целых чисел, не превосходящих m и взаимно простых с m. Они образуют мультипликативную абелеву группу приведенных классов вычета по mod m. Единичным элементом этой группы будет главный характер c1, то есть такой характер, что c1(а)=1, если (а, m)=1. Далее имеем следующее соотношение ортогональности: Пусть m – положительное целое число. Определим числовые характеры по модулю m. Комплекснозначная функция, определенная для всех целых чисел n, называется числовым характером или характером Дирихле по модулю m, она удовлетворяет следующим условиям: а) c (n) = 0 тогда и только тогда, когда (n, m) ≠ 1 б) c (n) периодична с периодом m в) для любых чисел а и b c (аb) = c (а) c (b) Функция c1(n) = { является числовым характером и называется главным характером. Остальные числовые характеры по модулю m называются неглавными. Имеет место следующее утверждение о числовых характерах. Теорема 1 Существует равно φ(m) числовых характеров по модулю m. Если c = c (n) – числовой характер по модулю m, то: 1) для n, взаимно простых с модулем m, значения c (n) есть корень из 1 степени φ(m). 2) для всех n выполняется неравенство /c (n)/ ≤1 3) Имеет место равенство 4) Для каждого целого числа n Доказательство. Пусть c (n) – некоторый числовой характер по модулю m. Из пункта б) определения следует, что c (n) задает некоторую функцию c’( c’( Здесь Таким образом, c’( Обратно, по каждому характеру c’( Установленное соответствие является взаимнооднозначным. И все утверждения теоремы 1 следуют из доказанного выше для групповых характеров применительно к группе Gm, если учесть, что порядок группы Gm равен φ(m), где φ(m) – функция Эйлера. В дальнейшем требуется еще одно утверждение с числовых характерах. Обозначим для каждого c, c ≥ 1 Где суммирование ведется по всем натуральным числам n, не превосходящим c. Лемма 2. Пусть c (n) – неглавный характер. Тогда для каждого c, c ≥ 1 справедливо неравенство /S(x)/ Доказательство. Функция c (n) периодична с периодом m и по теореме з Поэтому, представив (c) – целую часть числа c – в виде (c)=m1+z, 0£z£m, будет иметь S(c) =S((c))=q В виду равенства /c(n)/£1 отсюда получили S(c)£z£m Пусть х(п) – произвольный характер по модулю m. Рассмотрим ряд члены которого являются функциями комплексного переменного S. В области сходимости он определяет функцию, которая называется L-функцией Дирихле, соответствующей характеру c(n), и обозначается L (s, c). Лемма 3 1. Если c¹c1, то ряд (1) сходится в области ReS > 0 и определяемая им функция L (s, c) является аналитической в этой области. 2. Ряд, определяющий L (S, c1), сходится в области ReS >1. Функция L (S, c1) является аналитической в области ReS > 1. Доказательство. Пусть c(n) – произвольный характер по модулю m, а б – некоторое положительное число. Так как /c(n)/ £ 1, то в области ReS > 1 + б справедливо неравенство Следовательно, ряд (1) равномерно сходится в области ReS > 1 + б. Определяемая им функция L (S, c) по теореме Вейерштрасса о сумме равномерно сходящегося ряда аналитических функций является аналитической в этой области. Ввиду произвольности 6 это доказывает второе утверждение Леммы. Для неглавных характеров c(n) потребуется более сложное исследование ряда (1). Лемма 4 (преобразование Абеля). Пусть an, n=1,2,…, – последовательность комплексных чисел, c>1, А(c)= а q(t) – комплекснозначная функция, непрерывно дифференцируемая на множестве 1£t£¥ Тогда Если же то при условии, что ряд в левой части равенства сходится. Доказательство. Положим А(0)=0 и В(х) равным левой части равенства (2.2). Тогда при любом натуральном N так как А(0)=0. Далее поскольку функция А(х) постоянна на каждом полуинтервале n£t пусть х³1 – произвольное число. Положим N=(x); значит, N£x£N+1. Тогда А(х)=А(N), B(x)=B(N), а Следовательно, Тем самым доказано, что равенство (2.2) верно и для нецелых чисел значений х. Равенство (2.3) получаем из равенства (2.2) переходом к пределу при х®¥. Лемма доказана. Воспользовавшись леммой 4, получим следующее равенство где функция, введенная Лемме 4. Для s = p+it из области ReS = s, где s – некоторое положительное число, пользуясь леммой 4, находим Поэтому интеграл сходится в области ReS > s. Поскольку в этой области выполняется неравенство то из равенства (2) следует, что ряд (1), определяющий функцию L (S, x), сходится в области ReS > s. Эти рассуждения справедливы для любого положительного числа s. Значит, ряд (1) сходится в полуплоскости ReS > 0. Из равенства (2) следует, что в этой полуплоскости для L-функции, соответствующей неглавному характеру c(n), справедливо представление так как Интеграл, стоящий в правой части равенства (2.5), можно также представить в виде Члены ряда (2.6) являются аналитическими функциями в области ReS >s, что следует из равенств При этом использовано, что на полуинтервале n£х< n+1 функция S(х) принимает значение S(n). Поскольку то ряд (2.6) равномерно сходится в области ReS >s. Отсюда, как и выше, получаем, что сумма его, т.е. является аналитической функцией (по теореме Вейерштраса) в области ReS >s. Из представления (2.5) следует теперь, что L (S, x) есть аналитическая функция в полуплоскости ReS >s, а ввиду произвольности S – s и b полуплоскости ReS > 0. Следствие. Пусть c (n) – произвольный характер. Тогда в области ReS > 1 справедливо равенство Это следует из того, что ряд (2.1) по доказанному равномерию сходится в области ReS>1+s, где s>0. Следовательно, по теореме Вейштрасса о равномерно сходящихся рядах аналитических функций в этой области ряд (2.1) можно почленно дифференцировать Поэтому в полуплоскости ReS>1+s выполняется равенство (2.7). Так как в этом рассуждении s-любое положительное число, то равенство (2.7) будет справедливо в полуплоскости ReS>1. Для L-функций имеет место представление в виде бесконечного произведения по простым числам, аналогичное тождеству Эйлера. Рассмотрим вспомогательную Лемму. Лемма 5. Пусть функция f(n) вполне мультипликативна и ряд абсолютно сходится. Тогда выполняется равенство Доказательство. Отметим прежде всего, что /f(n)/<1 при любом натуральном n>1. В противном случае при каждом mÎN /f(n)m/=/f(n)/m³1, что противоречит сходимости ряда (2.6). Поэтому при каждом простом р ряд абсолютно сходится, и его сумма как сумма бесконечно убивающей геометрической прогрессии равна (1-f(р))-1. Кроме этого, в силу абсолютной сходимости, ряды можно перемножить. Перемножая конечное число таких рядов и используя то, что f(n) есть вполне мультипликативная функция, получим где ne= pa … pas и в сумме в правой части равенства содержатся такие и только такие слагаемые f(ne), что все просты делители neне превосходят х. Следовательно, в разности остаются те и только те слагаемые f(me), для которых у числа me имеется хотя бы один простой делитель р>x. Тогда оценим разность /S-S(x)/£ и из абсолютной сходимости ряда (2.8) следует, что Это доказывает, что бесконечное произведение (2.7) сходится и выполняется утверждение Леммы. Лемма 6. Для каждого характера c(n) в области ReS > 1 справедливо представление Доказательство. Эта лемма является следствием Леммы 5, поскольку функция c(n) вполне мультипликативна, то есть c(АВ)= c(А) c(В), и выполняется неравенство /c(n)/£ 1 по теореме 1. Следствие 1. В области ReS > 1 для главного характера c1(n) по модулю m справедливо равенство и поэтому функция L (S, c1) может быть аналитически продолжена в область ReS > 0, где она имеет единственный полюс (первого порядка) в точке S=1. Действительно, по определению главного характера c1(n) имеет место равенство Поэтому Пользуясь теперь тождеством Эйлера для дзета-функции Римана получаем равенство (2.10). Остальные утверждения легко следуют из этого равенства, поскольку дзета-функция является аналитической в области ReS > 0 с единственным полюсом первого порядка в точке S = 1. Следствие 2. Для каждого характера c функция L (S, x) не обращается в нуль в области ReS > 1. Доказательство. Если s = ReS > 1. то Пользуясь неравенством для дзета-функции Римана, находим Получаем: L (S,c) ≥ Теперь докажем утверждения, что L – функция, соответствующая неглавному характеру c, точке S =1 отлична от нуля. Теорема 2. Если c – неглавный характер, то L (1, c)≠0 Для доказательства рассмотрим 2 случая 1. Пусть характер c – комплексное число, не является действительным. Тогда характер c2(n) не является главным. В этом случае доказательство теоремы будет основываться на тех же идеях, что и доказательство отсутствия нулей дзета – функции на прямой ReS=1. Лемма7. Пусть 0<ч<1, а х – действительное число, тогда выполняется неравенство /(1 – ч)3 (1 – чеix)4 (1 – че2ix)/-1 ≥ 1 Доказательство. Для всех z из круга /z/<1 имеет место расположение – ln (1 – z) = Так как ln(t) = Re lnt, то обозначая М (ч φ), левую часть неравенства (2.11), получим lnM (ч φ) = 3ln (1 – ч) – 4 ln (1 – чеi4) – ln (1 – че2i4) = – 3ln (1-ч) – 4Reln/1 – чеi4/ – Reln/1 – че2i4/= ln=M (r, l)=³0 Следовательно, M (r, l)=³1 доказана. Из леммы 7 следует, сто при любом действительном S>1 выполняется равенство: L3(8, c1) L4(S, c) 4 (S, c4) 1 = П (1- Получая в лемме ч = р-s, т.е. 0< ч = c1(р)<1 0< р-s<1 c (р) р-s = чеi4, в силу того что c (р) – комплексное c (р) р-s= че2i4 Получаем, что каждый сомножитель в правой части равенства (f) не меньше 1 и, следовательно, при любом S>1 выполняется равенство: |L3(Sc1) · L4(Sc) L (Sc2)| ≥ 1 (2.13) Допустим, что для некоторого характера c (c2≠c1) выполняется равенство L (1, c) = 0 (2.14) Оценим сверху левую часть неравенства. Из оценки дзета-функции Римана ξ(S) ≤ а) 0 < 4 (S, c1) = получили 0 б) Функция L (S, c) разложим в ряд Тейлора L (S, c) = Cp + C1 (S – 1) + C2(S – 1)2 +… + Cn(S – 1)n +… Предположим, что у нее есть нуль L (1, c) = 1; тогда С0 = 0 Перепишем разложение L – функции в ряд L(Sc) = Cк (S – 1)к + Ск+1(S – 1)к+1 = (S – 1)1 (Cк + Ск+1(S -1)+….), где к≥1, Ск ≤ 0, т. к. S>1 | L (S, c)| = |S – 1|k| Ck + Ck+1(S – 1) +….| ≤ 2 Ck|S – 1)k, при |S – | < r Функция L (S, c2) в точке S = 1 не имеет полюса, следовательно не имеет особенности. Это в силу того, что c комплексное и c2≠c1 Получаем неравенство: L (S, c2) ≤ C, При условии | S – 1|< δ Учитывая все неравенства и оценки | L3 (S, c) L4(S, c) L (S, c2)| = ( Следовательно, это неравенство становится противоречивым, если перейти к пределу при S→1+0. Полученное противоречие показывает, что равенство (2.14) не выполняется. 2. Рассмотрим c – вещественный характер, т.е. принимающий только вещественные значения, несовпадающий с главным характером Лемма 8. Пусть c – вещественный характер. Рассмотрим функцию F(S) = ξ(S) L (S, x) (2.15) Докажем, что если Re S>1, то представляется рядом Дирихле, которого справедливы следующие утверждения: 1) Все коэффициенты аn≥ 0 2) при n=k2, k € / N(N)/ аn≥1 3) В области ReS<1 можно почленно дифференцировать, то есть F (k) (S)= 4) Ряд (1) в точке S=1/2 расходится. Доказательство. В области ReS > 1 ряды, определяющие функции S(S) и L (S,c), абсолютно сходятся, поэтому их можно перемножить: где Пусть поэтому из равенства (14) находим, что где ani = 1+ c (pi)+ … +cLi (pi), i=1,…, m (2.21) так как c – вещественный характер, то он может принимать только три значения: 0, 1, -1. Из равенства (2.21) следует, что Во всех случаях числа ani³0, а значит, и an=an1 … anm³0 Если же число п является полным квадратом, то N=k2=p/2g … pm2g, и из равенств (2.20) и (2.22) следует, что аn ³1 При любом s > 0 в области ReS> 1 +s выполняется неравенство Ряд (2.18) сходится в области ReS > 1. Поэтому по признаку Вейерштрасса ряд (2.16) сходится равномерно в области ReS > 1 + s, а по теореме Вейерштрасса его можно в этой области почленно дифференцировать любое число раз. Следовательно, в области ReS > 1 +s выполняется равенство (2. 17), а в силу произвольности s оно выполняется и в области ReS > 1. Однако ряд (39) расходится, так как по второму утверждению леммы Ряд (2.16) при S = Следовательно, ряд (2.23) расходится. Лемма доказана. Переходим непоредственно к доказательству второго случая теоремы. Допустим, что L (1,c) = 0. Тогда полюс дзета-функции будет компенсироваться в произведении S(S) L (S, c) нулем функции L (S, c). Поэтому функция (2.15) F(S) будет аналитической в области ReS > 0 так как в точке S=1 у F(z) – устраненная особая точка. Следовательно, ее можно разложить в ряд Тейлора в точке S = 2: радиус сходимости которого не меньше 2 R³2/ Из равенств (2.17), в частности S=2, находим В радиусе сходимости будет брать не все S, а только вещественные ReS=s S=sÎ(0,2). Пользуясь разложениями (18) и (19), находим Члены двойного ряда неотрицательны, поэтому он сходится абсолютно, и в нем можно поменять порядок суммирования. Тогда Следовательно, ряд (2.16) сходится во всех точках, s < (, 0, 2), и в точке Этим завершается доказательство теоремы По следствию 2 леммы 2 функция Лемма. Для каждого характера c(n) в области ReS > 1 справедливо равенство Доказательство. Так как S=s+it имеет место неравенство получаем, что ряд стоящий в правой части равенства (2.26), абсолютно сходится в области s>1. Умножим этот ряд на ряд определяющий L (S, c). Получили Предпоследнее равенство имеет место ввиду равенства 3. Доказательство теоремы Дирихле Теорема. Если разность и первый член арифметической прогрессии есть взаимно простые натуральные числа, то она содержит бесконечное множество простых чисел. Доказательство. Рассмотрим равенство (2.26), которое справедливое по Лемме в области ReS > 1. Поскольку где р – простое и k – натуральное числа. Ряд (2.26) абсолютно сходится, следовательно, его можно представить в виде двойного ряда) и, значит, в области ReS > 1 Второе слагаемое в правой части этого равенства равномерно ограничено по s в области ReS³3/4. Действительно, если S=p+it, p³3/4, то Следовательно, при S®1+0 для каждого характера c имеет место равенство Здесь и в дальнейшем s ® 1 + o обозначает, что S стремится к 1 по действительной оси справа. Пусть u – некоторое натуральное число, удовлетворяющее сравнению Умножим обе части равенства (3.2) на c(u) и просуммируем получившиеся равенства по всем числовым характерам c. Тогда получим Если простое число р удовлетворяет сравнению р ºl (mod m), то pu ≠ 1 (mod m), и по теореме 1 Если же p≠l (mod m), то pu≠ 1 и по той же теореме Таким образом, равенство (3.3) можно переписать в виде По лемме 3 и теореме 2 для неглавного характера c функция По следствию 1 леммы 4 функция L (S, c1) имеет в точке S=1 полюс первого порядка. Значит, при S®1+0 Учитывая равенства (3.5) и (3.6.) из равенства (26) получаем, что Так как число u удовлетворяет сравнению (3.3), то (u, m) = 1 и c0(u)=1. Итак, при S®1+0 Правая часть равенства а (3.7) при S®1+0 имеет бесконечный предел. Значит, сумма, стоящая в левой части этого равенства, имеет бесконечное множество слагаемых. Поэтому существует бесконечное множество простых чисел, удовлетворяющих сравнению pºe (mod m) Теорема Дирихле доказана.
χ (g)= – корней из 1,
χ2 (g1 g2) =
=![]()
=
= χ2(g1) χ2(g1)1.2 Суммы характеров. Соотношение ортогональности
,![]()
c (В) =
=
= S.
= {
(1.2)
c’ (А) =
= Т,
= {![]()
1.3 Характеры Дирихле
= {![]()
= {![]()
![]()
{![]()
= {![]()
) = c (n) на мультипликативной группе
классов вычетов по модулю m, взаимно простых с m, а именно
) = c (n)
обозначает класс вычетов по модулю m, содержащий n. Так как c(1) ≠ 0, то c’(
) не равняется тождественно нулю, а из пункта в) определения числового характера следует, что c’(![]()
) = c’(
) = c’ (ab) = c (a) c () = c’(
)c’(
).
) есть характер модультипликативной группы Gm.
) группы Gm можно построить числовой характер c (n) по модулю m, положив
{
![]()
0, так как c≠ c1![]()
![]()
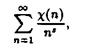
2. L-функция Дирихле
, (2.1)![]()
![]()
(2.2)![]()
(2.3)![]()


![]()
(2.4)![]()
![]()

![]()

(2.5)![]()
(2.6)


(2.7)![]()
(2.8)
(2.9)![]()
![]()
![]()
![]()
![]()
![]()
(2.10)![]()

![]()
![]()
![]()
> 0
(2.11)
rc (3+4e)inl/1-rei4/=
(3+4cosnl+2cos2nl)=
(2+4cosa+1+cos2a)=
1 (1+cosa)2³0
)3(1-
)4(1-
)|-1 (2.12)
, следует, что при S € R, S>1 выполняется неравенство
![]()
)3 · 24 |Ck|4 (S – 1)4k· C≥1
(2.16)
(-1)k(ln n)k
k=1,2…; (2.17)
(2.19)
- расположение числа n в произведение простых сомножителей. Тогда все натуральные делители l числа n имеют вид![]()
![]()
![]()
(2.22)![]()
имеет неотрицательные члены. Поэтому, если бы он сходился, то также сходился бы ряд
(2.23)
(2. 24)
(2.25)![]()

, а это противоречит четвертому утверждению леммы. Поэтому L (S,c)¹0/
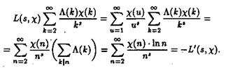
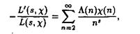
является аналитической в области ReS > 1. Для дальнейшего доказательства теоремы Дирихле нам будет необходимо представление этой функции в виде ряда, аналогичного ряда (2.16).
(2.26)
![]()

), а последнее – по следствию из леммы 3, равенство 2.7.
(n) = 0 для всех n, не являющихся степенями простых чисел, то все отличные от нуля члены ряда в правой части (2.26) имеют вид![]()
(3.1)
(3.2)
(3.3)
(3.3)![]()
![]()
(3.4)
является аналитической в точке S = 1. Поэтому для таких характеров при S ®1 + 0 имеем
(3.5)
(3/6)
(3.7)