Основи захисту обьєкту господарської діяльності

МІЖНАРОДНИЙ УНІВЕРСИТЕТ ФІНАНСІВ

КРИВОРІЗЬКА ФІЛІЯ

КАФЕДРА ГУМАНІТАРНОЇ

ПІДГАТОВКИ

"ОСНОВИ ЗАХИСТУ ОБ’ЄКТУ ГОСПОДАРСЬКОЇ ДІЯЛЬНОСТІ"

реферат

Виконав студент

педагогічного факультету

групи ПП – 04 – 4

Алексанкін. І. С.

м. Кривий Ріг


План

1. Основи стійкості роботи об’єктів.

2. Основні напрямки підвищення стійкості роботи об’єкта в надзвичайних ситуаціях.

3. Оцінка стійкості об’єкта проти впливу уражених факторів.


1. Основи стійкості роботи об'єктів

Стійкість роботи об'єкта — це здатність його в надзвичайних ситуаціях випускати продукцію у запланованому обсязі, необхід­ної номенклатури і відповідної якості, а у випадку впливу на об'єкт уражаючих факторів, стихійних лих та виробничих аварій — у мінімально короткі строки відновити своє виробництво. Залежить вона від таких основних факторів: розміщення об'єкта відносно великих міст, об'єктів атомної енергетики, хімічної промисловості, великих гідротехнічних споруд, військових об'єктів та ін.; природнокліматичних умов, технології виробництва; надійності захисту працюючих, населення від впливу уражаючих факторів, наслідків стихійних лих і виробничих аварій, катастроф; надійності системи постачання об'єкта всім необхідним для виробництва продукції (па­ливом, мастилами, електроенергією, газом, водою, хімічними засоба­ми захисту рослин, ветеринарними засобами, мінеральними добри­вами, запасними частинами, технікою та ін.); здатності інженерно-технічного комплексу протистояти надзвичайним ситуаціям; стійкості управління виробництвом і ЦЗ, психологічної підготов­леності керівного складу, спеціалістів і населення до дій в екстре­мальних умовах; навченості керівного складу ЦЗ об'єкта і насе­лення правильно виконувати комплекс заходів цивільного захис­ту; масштабів і ступеня уражаючої дії стихійного лиха, виробничої аварії, катастрофи чи зброї і підготовленість об'єкта до ведення рятувальних та інших невідкладних робіт для відновлення пору­шеного виробництва. Дані фактори визначають і основні вимоги стійкості роботи об'єктів у надзвичайних ситуаціях та шляхи її підвищення.

На мою думку більш підготовленими до стійкої роботи будуть ті об'єкти, які реально оцінять фактори, їх несприятливий вплив на виробництво і розроблять відповідні заходи. Завчасне проведення організаційних, агрохімічних, агротехнічних, інженерно-технічних, ветеринарно-санітарних, лісотехнічних, лісогосподарських, меліоративних та інших заходів максимально знизить результати впливу уражаючих фак­торів мирного і воєнного часу і створить сприятливі умови для швид­кої ліквідації наслідків надзвичайних ситуацій.

Робота об'єкта в цілому складається з роботи окремих галузей виробництва. Тому необхідно розглянути стійкість у надзвичайних умовах окремих галузей виробництва.

2.Основні напрямки підвищення стійкості роботи об'єкта в надзвичайних ситуаціях

На основі вивчення факторів, які впливають на стійкість роботи об'єктів, і оцінки стійкості елементів і галузей виробництва проти уражаючих факторів ядерної, хімічної і біологічної зброї, стихійних лих і виробничих аварій, необхідно завчасно організувати і провести організаційні, інженерно-технічні й технологічні заходи для підви­щення стійкості роботи.

Здійснення організаційних заходів передбачає завчасну підготов­ку всіх структур цивільного захисту, служб і формувань до надзви­чайних ситуацій.

Вжиттям технологічних заходів підвищується стійкість роботи об'єктів шляхом змінювання технологічних процесів, режимів, мож­ливих в умовах надзвичайних ситуацій.

Інженерно-технічні заходи мають забезпечити підвищену стійкість виробничих споруд, технологічних ліній, устаткування, комунікацій об'єкта до впливу уражаючих факторів під час надзвичайних ситуацій.

При проведенні цих заходів необхідно враховувати конкретні умови об'єкта народного господарства. Проте є загальні організаційні інженерно-технічні заходи, які мають проводитись на всіх об'єктах.

1.      Забезпечення захисту людей та їх життєдіяльності. Створення на об'єкті надійної системи оповіщення про загрозу нападу противника, радіоактивне забруднення, хімічне і   біологічне зара­ження, загрозу стихійного лиха і виробничої аварії. Організація роз­
відки і спостереження за радіоактивним забрудненням, хімічним і біологічним зараженням; гідрометеорологічне спостереження за рівнем води, напрямком і швидкістю вітру, рухом і поширенням хмари радіоактивного забруднення, СДЯР і ОР.

Створення фонду захисних споруд ЦО, запасів засобів індивіду­ального захисту і забезпечення своєчасної видачі їх населенню.

Завчасна підготовка до масової санітарної обробки населення і знезаражування одягу, організація взаємодії з установами охорони здоров'я для медичного обслуговування населення у надзвичайних ситуаціях.

Підготовка до евакуації населення, розміщеного в зонах можли­вих руйнувань і катастрофічного затоплення. Завчасна підготовка місць евакуації, організація прийому евакуйованого населення на територію населених пунктів.

Постачання населення продуктами харчування, питною водою, предметами першої необхідності; комунальне побутове обслугову­вання населення з урахуванням проведення евакуаційних заходів, забезпечення захисту продовольчих запасів.

Навчання населення способам захисту, надання першої допомоги, практичним діям в умовах надзвичайних ситуацій, морально-психо­логічна підготовка населення для виживання.

Забезпечення чіткої інформації про обстановку та правила дій і по­ведінки населення в надзвичайних ситуаціях мирного і воєнного часу.

2.      Захист цінного й унікального устаткування. Захистити цінне і унікальне устаткування можна завдяки проведенню інженерно-технічних заходів, щоб зменшити небезпеку пошкодження і руйнування цінного й унікального устаткування, станків з програм­ним керуванням, шліфувальних, токарних, розточних, зубофрезерних, пресових станків, автоматичних конвеєрних ліній та іншого устаткування.

Варіантами такого захисту є розміщення зазначеного устатку­вання в заглиблених приміщеннях а також використання спеціаль­них захисних пристосувань, закріплення станків на фундаментах, застосування контрфорсів для підвищення стійкості проти переки­дання обладнання

Підвищення стійкості мереж комунального господарства.

Для забезпечення стійкості роботи об'єктів повинні проводитись інже­нерно-технічні заходи на мережах комунального господарства з метою захисту джерел тепла із заглибленням у ґрунт комунікацій. Котельні слід розміщувати в спеціальному окремо розміщеному приміщенні.

Якщо об'єкт одержує тепло з міської теплоцентралі, необхідно провести заходи для забезпечення стійкості трубопроводів і розпо­дільних пристроїв, підведених до об'єкта.

Теплова мережа має будуватися за кільцевою системою з прокла­данням труб у спеціальних каналах зі з'єднанням паралельних діля­нок. Для відключення пошкоджених ділянок мають бути встанов­лені запірно-регулючі засувки, вентилі та ін. Ці пристосування не­обхідно розміщувати в оглядових колодязях, на території, що не за­валюється при руйнуванні будівель.

Система каналізації має будуватись окремо: одна для дощових, друга для промислових і господарських вод. На об'єкті має бути не менше двох виводів з підключенням до міських каналізаційних ко­лекторів, а також виводи і колодязі з аварійними засувками на об'єктових колекторах з інтервалом 50 м на території, що не завалюється, для аварійного скидання неочищеної води в найближчі штучні та природні заглиблення.

На деяких промислових об'єктах є системи для забезпечення тех­нології виробництва: для подання кисню, аміаку, стиснутого повітря та інших рідких і газових реактивів. Для цих систем розробляють заходи для попередження виникнення вторинних факторів зброї, стихійних лих та виробничих аварій і катастроф.

6.      Забезпечення стійкості роботи паливно-енергетичного комплексу і водопостачання. Створення резерву енергетичних потуж­ностей за рахунок автономних пересувних електростанцій, а також місцевих джерел електроенергії. Підготовка автономних електро­станцій до роботи за спеціальним режимом (графіком) для забезпе­чення технологічних процесів виробництва, для яких неможливі тривалі перерви в електропостачанні.

З метою попередження аварій на електричних мережах необхід­но установити автоматичну систему відключення при виникненні перенапруги. Повітряні лінії електропостачання замінити на підзем­но-кабельні.

Створення необхідних запасів (резервів) паливно-мастильних мате­ріалів та інших видів палива й організація їх безпечного зберігання.

Щоб не допустити зупинки підприємства через дефіцит палива, необхідно підготуватись для роботи на різних видах палива: нафта, вугілля, газ.

Для підвищення стійкості забезпечення водою слід провести такі заходи. Необхідно створити основні і резервні джерела водопоста­чання. Як резервне джерело краще мати артезіанську свердловину, яку необхідно підключити до системи водопостачання. Крім того, воду можна брати з близько розміщеної природної водойми або спо­рудити штучну водойму чи резервуари з обладнанням пристроїв для збору і перекачування води.

Всі ділянки водопостачання повинні бути заглиблені в ґрунт з обладнанням пожежних гідрантів і пристроїв для відключення по­шкоджених ділянок. Локальні мережі водопостачання окремих ве­ликих підприємств варто з'єднати із загальноміською системою во­допостачання в єдине кільце.

Підвищенню стійкості забезпечення водою сприяє подавання води безпосередньо в мережу поза водонапірними баштами, спорудження обвідних ліній для подання води поза пошкодженими спорудами.

Завчасне вжиття заходів захисту вододжерел, водопровідних спо­руд, свердловин і шахтних колодязів від забруднення радіоактивни­ми речовинами, зараження хімічними і біологічними засобами.

Підготовка меліоративних, гідротехнічних та іригаційних споруд і систем до експлуатації в надзвичайних умовах.

7. Стійкість роботи автотранспортної та іншої техніки, технологічного обладнання і механізмів. Організація своєчасного оповіщення гаража, технологічного парку, їх керівників, водіїв, механі­заторів про загрозу надзвичайної ситуації.

Підготовка автотранспортної техніки до проведення робіт в умо­вах радіоактивного забруднення, хімічного біологічного зараження і світломаскування.

Пристосування і використання всіх видів транспортних засобів для евакуації населення і перевезення потерпілих.

Розробка заходів з метою пристосування автотранспортної, іншої техніки для виконання завдань ЦЗ.

Підвищення стійкості роботи об'єктів народного господарства в надзвичайних умовах

Розробка пристосувань і технологічних процесів для відбору по­тужностей тракторів і автомобілів з метою приведення в дію елект­рогенераторів і технологічного обладнання, насосів для подачі води до місця споживання зі свердловин, відкритих водойм і шахтних колодязів.

Підготовка всієї техніки для проведення рятувальних та інших невідкладних робіт у надзвичайних умовах мирного і воєнного часу.

8.      Забезпечення стійкого постачання об'єкта. Для забезпечен­ня виробництва продукції необхідні електроенергія, паливо, мастила, засоби захисту рослин, міндобрива, профілактичні й лікувальні пре­парати ветеринарної медицини, запасні частини, сировина та інші ма­теріально-технічні засоби. Забезпечення об'єктів цими ресурсами дасть можливість випускати необхідну продукцію в надзвичайних умовах мирного і воєнного часу. Тому повинні проводитись такі заходи, які б забезпечили стійкість постачання і сприяли підвищенню захисту ме­режі електро-, водо-, газопостачання, транспортних комунікацій і дже­рел постачання всім необхідним для забезпечення функціонування галузей сільського господарства в надзвичайних умовах.

З метою попередження аварій на електричних мережах необхід­но встановити автоматичну систему відключення перенапруги. По­вітряні лінії електропостачання слід замінити на підземно-кабельні.

Газ використовується як паливо і на хімічних підприємствах у технологічному процесі. Для безперебійного забезпечення газом, га­зові мережі необхідно підводити до об'єкта з двох напрямків, які мають бути з'єднані в єдине кільце з обладнанням для можливого дистанційного автоматичного управління й у разі необхідності відклю­чення пошкоджених ділянок.

На великих підприємствах необхідно мати підземні ємності із закачаним резервним газом.

На підприємствах, де використовується пара, необхідно захисти­ти джерела його постачання, заглибити в ґрунт комунікації паропостачання і встановити запірні пристосування.

Запас резервних матеріалів необхідно розраховувати на такі строки роботи підприємства, за які можливе відновлення регулярного по­стачання.

Передбачити, на випадок перебоїв в постачанні підприємствами-су-міжниками, створення місцевих матеріалів, сировини для виготовлен­ня комплектуючих виробів і інструментів силами свого підприємства.

9. Забезпечення збереження й відновлення будівель і споруд.
Оцінка можливих ступенів руйнування будівель і споруд господарства, населеного пункту. Визначення обсягу невідкладних ремонт­ них робіт, потреби в будівельних матеріалах.

Розрахунок сил і засобів для проведення невідкладних ремонт­них та інших робіт, а також знезаражування приміщень, виробни­чих ділянок і території.

Створення і підготовка спеціальних формувань для ремонтно-відновних, будівельних та інших робіт на об'єкті. При будівництві нових будівель і захисних споруд врахувати вимоги ЦЗ.

Розробка комплексу протипожежних заходів, які виключали б можливість виникнення масових пожеж.

10. Забезпечення надійності системи управління і зв'язку. Організація захищеного пункту управління, оснащення його засоба­ми зв'язку, які б дали можливість швидко доводити сигнали ЦЗ до всіх виробничих підрозділів і населення у місцях проживання.

Розробка документів, які регламентують чіткі дії персоналу для забезпечення сталої роботи об'єкта в надзвичайних умовах.

Підготовка необхідного резерву кадрів спеціалістів, механізаторів і керівних працівників для зміни тим, які будуть мобілізовані.

Планування збору даних про обстановку, передачу команд і розпо­ряджень в умовах впливу на об'єкт уражаючих факторів. Організа­ція використання радіозасобів, телефонного зв'язку, посильних для зв'яз­ку з віддаленими населеними пунктами, виробничими підрозділами, а також з колонами евакуйованого населення, що перебувають у дорозі, і відповідальними особами, які супроводжують під час евакуації.

Забезпечення дублювання ліній і каналів зв'язку.

Для підтримання на високому рівні ЦЗ регулярно проводити підго­товку населення, спеціалістів, проводити об'єктові тренування і ко­мандні навчання.

 3. Оцінка стійкості об'єкта проти впливу уражаючих факторів

Для розробки заходів підвищення і забезпечення стійкості робо­ти об'єктів у надзвичайних ситуаціях необхідно оцінити стійкість об'єкта проти впливу уражаючих факторів.

Вихідними даними для проведення розрахунків стійкості об'єкта До ураження є: максимальні значення параметрів можливих уражаю­чих факторів і характеристики елементів об'єкта.

Параметри уражаючих факторів можна одержати у відділі або Управлінні ЦЗ або визначити розрахунковим способом.

Руйнування житлових будинків, виробничих приміщень, тварин­ницьких комплексів, споруд різного виробничого призначення може бути у воєнний час від вибухової хвилі, в мирний час від аварій різного характеру, ураганів і землетрусів. Дія ударної хвилі на об'єкт характеризується складним комплексом навантажень: надмірним тиском, тиском відбивання, тиском швидкісного напору, тиском затікання, навантаженням від сейсмовибухових хвиль.

Все це буде залежати від виду і потужності вибуху, відстані до об'єкта, конструкції й розмірів елементів об'єкта, орієнтації відносно вибуху, розміщення будівель і споруд, рельєфу місцевості, характеру аварії, сили землетрусу чи бурі.

Осередки ураження при землетрусах за характером руйнувань будівель і споруд можна порівняти з осередками ядерного ураження. Тому оцінку можливих руйнувань при землетрусах можна проводити аналогічно оцінці руйнувань при ядерному вибуху. Як критерій необхідно брати не максимальний надмірний тиск у фронті ударної хвилі, а максимальну силу землетрусу в балах за шкалою Ріхтера.

Послідовність проведення оцінки:

—визначення максимального надмірного тиску ударної хвилі, ∆РФ, сейсмічної хвилі чи сили бурі, яка очікується на об'єкті;

—виділення основних елементів на об'єкті (склади, майстерні, цехи та ін.), від яких залежатиме функціонування об'єкта і виробництво продукції;

—оцінка стійкості кожного елемента об'єкта;

—визначення межі стійкості об'єкта проти впливу ударної, сейсмічної хвилі, урагану за мінімальною стійкістю його основних елементів;

—порівняння розрахованої межі стійкості об'єкта ∆Рфlim, з очі­куваним максимальним надмірним тиском ударної хвилі ∆Рфmax сейсмічної хвилі чи сили бурі. Якщо ∆Рфlim > ∆Рфmax , то об'єкт стійкий, якщо ж ∆Рфlim < ∆Рфmax, то об'єкт нестійкий проти ударної хвилі і аналогічно до сейсмічної хвилі і бурі;

—визначення ступеня можливих руйнувань за таблицею резуль­татів оцінки для елементів об'єкта при можливому і максимально­му значенні надмірного тиску ∆Рфmax, тиску сейсмічної хвилі чи сили бурі й можливі при цьому втрати (відсотки).

На основі результатів оцінки стійкості об'єкта роблять висновки і пропозиції за кожним елементом і об'єктом в цілому: межа стійкості об'єкта, найбільш вразливі його елементи, характер і ступінь руйну­вань при максимальному надмірному тиску, сильному землетрусі йурагані, можливі збитки; межа доцільного, підвищення стійкості найбільш вразливих елементів об'єкта і пропозиції (заходи) для підви­щення межі стійкості об'єкта.

Оцінка можливості виникнення пожеж на об'єкті. Можливість виникнення пожеж встановлюють за займистістю матеріалів від світлового імпульсу ядерного вибуху, руйнування печей, газопрово­дів, пошкодження електромережі, які можуть виникнути при аварі­ях, землетрусах, бурях та ін.

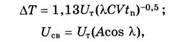
Світловий імпульс можна розрахувати за температурою загоран­ня або нагрівання матеріалів і виробів:

де ∆T — підвищення температури матеріалу з освітленого боку, °С; UT— кількість світлового випромінювання, яке поглинається оди­ницею поверхні матеріалу (тепловий імпульс), кДж/м2λ — коефіцієнт теплопровідності, кВТ/(mК); CV — питома теплопровідність речови­ни, кДж/(м3 • К); tn = 0,02 3√g — час початку найбільшої температури вогненного імпульсу; g - потужність вибуху, Мт; А - коефіцієнт поглинання світлової енергії матеріалом; λ - кут між напрямком поширення світла і перпендикуляром до освітленої поверхні.

Оцінюючи стійкість об'єкта проти світлового випромінювання ядерного вибуху, необхідно визначити максимальне значення світло­вого імпульсу UCBmax яке може бути на об'єкті.

Для оцінки стійкості об'єкта проти світлового випромінювання необхідні такі вихідні дані: характеристика будівель і споруд; ха­рактер виробництва, які горючі матеріали застосовуються у вироб­ництві; вид готової продукції та місце її зберігання.

Оцінку стійкості об'єкта до світлового випромінювання доцільно проводити у такій послідовності: визначити ступінь вогнетривкості будівель і споруд, виявити горючі матеріали, елементи конструкцій і речовини; розрахувати світлові імпульси, за яких відбудеться спала­хування елементів із займистих матеріалів; визначити категорію виробництва за пожежною небезпекою.

Пожежна небезпека виробництва визначається технологічним процесом, матеріалами які застосовуються у виробництві та готовою продукцією. За пожежною небезпекою технологічного процесу всі об'єкти поділяються на п'ять категорій: А, Б, В, Г, Д.

Категорія А - склади бензину; приміщення стаціонарних кис­лотних і лужних акумуляторних установок.

Категорія Б - цехи приготування і транспортування деревного борошна; розмельні відділи млинів; цехи виготовлення цукрової пудри; мазутне господарство електростанцій.

Категорія В - лісопильні, деревообробні, столярні, меблеві, бон­дарні й лісотарні цехи; цехи текстильної і паперової промисловості, заводи сухої первинної обробки льону, конопель і луб’яних волокон, зерноочисні відділення млинів і зернові елеватори; склади паливно-мастильних матеріалів; відкриті склади мастил і мастильне госпо­дарство електростанцій; закриті склади вугілля.

Категорія Г - кузні; зварні цехи; приміщення двигунів внутрі­шнього згоряння; головні корпуси електростанцій; розподільнеобладнання з вимикачами й апаратурою з вмістом мастила 60кг і менше в одиниці обладнання; високовольтні лабораторії; котельні.

Категорія Д - цехи переробки м'ясних, рибних, молочних про­дуктів; насосне й водоприймальне обладнання електростанцій; насосні станції для перекачування негорючих рідин.

До категорій А, Б і В не належать виробництва, в яких горючі рідини; гази і пари спалюються як паливо, а також виробництва в яких технологічний процес протікає із застосуванням відкритого вогню. Склади поділяються на категорії відповідно до пожежної небезпеки матеріалів що знаходяться на них стосовно вказівок даних категорій.

Розрахункові дані зводять у таблицю результатів оцінки і роблять висновки, в яких вказують: межу стійкості об'єкта проти світло­вого імпульсу Uсвlim; очікуваний максимальний світловий імпульс Uсвmax; найбільш пожежонебезпечні елементи об'єкта і можлива обстановка на об'єкті. Об'єкт вважається стійким проти світлового імпульсу, якщо Uсвlim > Uсвmax.

На основі висновків розробляють конкретні заходи підвищення пожежної стійкості об'єкта.

Оцінка уразливості об'єкта від радіоактивного забруднення і проникаючої радіації починається з визначення максимальних очі­куваних значень рівня радіації і дози проникаючої радіації.

За показник стійкості об'єкта приймається допустима доза радіа­ції, яку можуть одержати люди за час робочої зміни.

Стійкість об'єкта проти радіаційного ураження можна оцінювати у такій послідовності. Визначити: граничні рівні радіації (Р/год) на об'єкті, за яких можлива виробнича діяльність у звичайному режимі або в режимах радіаційного захисту; ступінь захищеності працюючих; дози радіації, які може одержати виробничий персонал; втрати сільськогос­подарських тварин і зниження їх продуктивності (%); втрати сільсько­господарських рослин та їх урожайність (%); втрати і ураження лісо­вих насаджень і в результаті цього зниження господарської діяльності лісогосподарських об'єктів; стійкість роботи об'єктів в цілому.

Після аналізу зробити висновки про очікувані максимальні рівні радіаційного забруднення території об'єкта і дози проникаючої радіації; ступінь забезпечення захисту працюючих, тварин і обладнання, техніки, урожаю, кормів, води; можливість безперервної стійкої ро­боти об'єкта за умови, що сумарна доза опромінення працюючих не перевищуватиме допустимої дози; можливість виробництва запла­нованої, доброякісної продукції та заходи підвищення стійкості ро­боти об'єкта, підвищення рівня захисту працюючих.

Оцінка можливих збитків від ядерного вибуху проводиться на основі характеристики впливу кожного з уражаючих факторів. У зв'язку з тим, що найбільш небезпечним (за територією і тривалістю ураження) є радіоактивне забруднення місцевості, розглянемо при­клад розрахунку збитків від впливу цього уражаючого фактора.

Для оцінки наслідків впливу радіоактивного забруднення необхідні такі дані: радіаційна обстановка в населених пунктах, на відкритій місцевості — місцях знаходження людей, на полях і пасовищах, на фермі та ділянках, де перебуває худоба поза приміщеннями, можливі втрати людей, поголів'я сільськогосподарських тварин, продуктивності тварин, урожаю сільськогосподарських культур; чисельність праце­здатного населення і характеристика його розміщення (на відкритій місцевості, в будинках, протирадіаційних укриттях) з урахуванням ступеня захищеності від впливу радіації; поголів'я сільськогосподар­ських тварин у громадському й особистому господарствах за видами і віковими категоріями, характеристика їх розміщення на період випадання радіоактивних продуктів; планова продуктивність сільськогосподарських тварин; площі посівів сільськогосподарських культур, планові урожайності й валові збори урожаю, фази розвитку рослин на |календарний час випадання радіоактивних речовин.

Розрахунки втрат населення. В оцінці стійкості роботи об'єкта особливе значення має аналіз розрахунку виробничих сил в умовах радіоактивного забруднення. Розглянемо це на прикладі.

Приклад. Населений пункт потрапив у три дозові зони: 400— 600, 600—800 і 800—1200 Р. У зв'язку з цим виникла необхідність оцінити наслідки впливу радіації на працездатне населення, сільсько­господарських тварин і посіви сільськогосподарських культур.

Працездатне населення. Необхідно зібрати дані про чисельність населення, яке потрапило в дозові зони, з урахуванням його захи­щеності.

Потім складають розрахункову таблицю, в яку переносять дані про чисельність населення в дозових зонах та його захищеність, про можливі втрати людей при різному ступені їх захищеності від дії гамма-радіації. Для кож­них умов знаходження людей і дозової зони втрати людей розрахо­вують у послідовності.

Наприклад, людей, які потрапили в дозову зону 400—600 Р без укриття (N01) було 15. Імовірність втрат людей (К) у цій зоні стано­вить 15 %. Втрати людей, які знаходилися протягом 4 діб у даній дозовій зоні на відкритій місцевості, дорівнюватимуть:

Аналогічно розраховують втрати працездатного населення в усіх інших дозових зонах з урахуванням умов перебування людей.

Оцінка стійкості до електромагнітного імпульсу (ЕМІ). З метою підвищення стійкості роботи об'єктів необхідно дати оцінку стійкості до ЕМІ електрозабезпечення, засобів зв'язку, електричних систем, радіотехнічних засобів і комп'ютерних систем об'єкта.

Оцінювання стійкості до ЕМІ проводиться в такій послідовності: визначається очікувана ЕМІ-обстановка, що характеризується наяв­ністю ЕМІ-сигналів при ядерному вибуху і параметрами: часом на­ростання і спаду електромагнітного поля, напруженістю полів; ви­значаються можливі значення токів і напруг в елементах системи, що наведені від впливу ЕМІ визначається чутливість апаратури і її еле­ментів до ЕМІ, тобто межові значення наведених напруг і токів, коли робота системи ще не порушується; електротехнічна й електронна система розподіляється на окремі ділянки, які аналізуються з виді­ленням основних, від яких залежить робота; визначається коефіцієнт безпеки кожної ділянки системи, а також межа стійкості системи в цілому. Одержані результати розрахунків аналізуються й, оцінюють­ся а потім слід зробити висновки, в яких потрібно відмітити: найбільш уразливі ділянки, ступінь стійкості системи до впливу ЕМІ, які необхід­но провести організаційні й інженерно-технічні заходи спрямовані на підвищення стійкості уразливих окремих ділянок і системи в цілому.

При розробці інженерно-технічних заходів, спрямованих на підви­щення стійкості електротехнічних і електронних систем, мають бути застосовані способи боротьби з наслідками впливу ЕМІ або захист від проникнення імпульсів — не допустити наведені токи до чутли­вих вузлів і елементів устаткування.

Сучасний рівень знань про природу і властивості ЕМІ дає мож­ливість розробити захист від нього і впровадити заходи захисту, до яких входять схеми стійкі до електромагнітної інтерференції, радіо­електронні елементи, стійкі до ЕМІ, екранування окремих пристроїв або цілих електронних систем.

Основна мета захисних пристроїв від ЕМІ — не допустити наве­дені токи до чутливих вузлів. Найбільш простим способом захисту є укладання обладнання повністю або окремих вузлів у захисні токопровідні заземлені екрани і установка спеціальних захисних при­строїв на всіх лініях, трубопроводах, отворах і вікнах, які з'єднують внутрішні приміщення з обладнанням і зовнішнім середовищем. Ефективним буде заземлення окремих монтажних контурів (неза­лежно від заземлення екранів), застосування скручених пар проводів, провідних зв'язків усередині обладнання за деревовидною схемою. Для захисту провідних ліній або антен доцільно послідовно з грозо­вим розрядником встановлювати полосові фільтри.

Для захисту силового кабелю на вході в обладнання можна засто­сувати радіочастотні дросельні катушки і надшвидкодіючі варистори-резистори, які міняють свій опір залежно від напруги.

Якщо обладнання живить постійним током інші прилади і вузли, тоді для захисту від ЕМІ можна встановлювати додаткові радіочас­тотні дросельні катушки і пристрої, що придушують коливання пе­рехідних процесів.

Антени захищати від ЕМІ можна за допомогою надшвидкодіючих газорозрядних ламп. Вони витримують у режимі передачі по­тужність до 100 Вт і захищають від ЕМІ.

Мікрофони, зовнішні репро­дуктори, інше периферійне об­ладнання, а також лінії, що ве­дуть до них, можна захищати за допомогою фільтрів нижніх частот і швидкодіючих варис­торів.

Оцінюючи стійкість роботи і проведення заходів підвищен­ня стійкості роботи мережі електропостачання, оповіщен­ня, ЕОМ та іншого важливого устаткування в умовах надзви­чайних ситуацій керівникам і спеціалістам необхідно врахову­вати можливе ураження від ЕМІ та захист від нього.

Оцінка стійкості об'єкта про­ти впливу хімічних і біологіч­них засобів. Оцінюючи стійкість об'єкта до впливу ОР і СДЯР не­обхідно визначити: тип ОР чи СДЯР, межі осередку хімічного зараження й ураження, площу зони зараження; глибину поши­рення зараженого повітря; стій­кість хімічних речовин на місце­вості; час можливого перебуван­ня людей у засобах захисту орга­нів дихання і в захисних спору­дах; кількість заражених людей, тварин; площі; можливі втрати людей, тварин, загибель сільсько­господарських культур і лісових насаджень.

Основним критерієм стій­кості роботи об'єкта в умовах хімічного зараження є втрати людей, тварин і рослин.

Оцінку стійкості об'єкта до впливу біологічних засобів не­обхідно починати з таких ви­хідних даних: встановити вид біологічних засобів, які можуть бути загрозою для об'єкта, ступінь небезпеки для людей, тварин; ступінь захищеності людей, тварин, продукції тваринництва і рос­линництва, води та ін. Оцінюючи стійкість об'єкта до впливу біоло­гічних засобів, необхідно визначити вид збудника, ступінь його не­безпечності, межі зараження, можливість і швидкість поширення інфекційних захворювань людей, тварин та небезпечних хвороб рос­лин; можливі втрати людей, тварин, посівів сільськогосподарських культур; необхідність введення карантину й обсервації.

На основі оцінки стійкості зробити висновки і розробити заходи щодо підвищення стійкості об'єкта до можливого ураження біоло­гічними засобами та ліквідації осередку біологічного ураження і відновлення стійкості виробничої діяльності об'єкта.


Література

1. «Цивільна оборона» М. І. Стеблик, Київ 2006 р.

2. «Цивільна оборона» за редакцією В.С. Франчука, Львів 2001 р.

3. Періодичні видання МНС України 1997- 2007 р.

Подобные работы:

Актуально: