Фундаментальные понятия о материи
ФУНДАМЕНТАЛЬНЫЕ ПОНЯТИЯ О МАТЕРИИ
► Материя – бесконечное множество всех сосуществующих в мире объектов и систем, совокупность их свойств и связей, отношений и форм движения. Она включает в себя не только непосредственно наблюдаемые объекты и тела природы, но и все те, которые не даны человеку в его ощущениях.
Неотъемлемым свойством материи является движение. Движение материи представляет собой любые изменения, происходящие с материальными объектами в результате их взаимодействий. В природе наблюдаются различные виды движения материи: механическое, колебательное и волновое, тепловое движение атомов и молекул, равновесные и неравновесные процессы, радиоактивный распад, химические и ядерные реакции, развитие живых организмов и биосферы.
На современном этапе развития естествознания исследователи различают следующие виды материи: вещество, физическое поле и физический вакуум.
Вещество представляет собой основной вид материи, обладающий массой покоя. К вещественным объектам относят: элементарные частицы, атомы, молекулы и многочисленные образованные из них материальные объекты. Свойства вещества зависят от внешних условий и интенсивности взаимодействия атомов и молекул, что и обусловливает различные агрегатные состояния веществ.
Физическое поле представляет собой особый вид материи, обеспечивающий физическое взаимодействие материальных объектов и их систем. К физическим полям исследователи относят: электромагнитное и гравитационное поля, поле ядерных сил, волновые поля, соответствующие различным частицам. Источником физических полей являются частицы.
Физический вакуум – это низшее энергетическое состояние квантового поля. Этот термин был введен в квантовую теорию поля для объяснения некоторых процессов. Среднее число частиц – квантов поля – в вакууме равно нулю, однако в нем могут рождаться частицы в промежуточных состояниях, существующие короткое время.
При описании материальных систем используют корпускулярную (от лат. corpuskulum – частица) и континуальную (от лат. continium – непрерывный) теории. Континуальная теория рассматривает повторяющиеся непрерывные процессы, колебания, которые происходят в окрестности некоторого среднего положения. При распространении колебаний в среде возникают волны. Теория колебаний – область физики, занимающаяся исследованием этих закономерностей. Таким образом, континуальная теория описывает волновые процессы. Наряду с волновым (континуальным) описанием широко используется понятие частицы – корпускулы. С точки зрения континуальной концепции вся материя рассматривалась как форма поля, равномерно распространенного в пространстве, а после случайного возмущения поля возникли волны, то есть частицы с различными свойствами. Взаимодействие этих образований привело к появлению атомов, молекул, макротел, образующих макромир. На основе этого критерия выделяют следующие уровни материи: микромир, макромир и мегамир.
Микромир – это область предельно малых, непосредственно ненаблюдаемых материальных микрообъектов, размер которых исчисляется в диапазоне от 10-8 до10-16 см, а время жизни – от бесконечности до 10-24 с. Это мир от атомов до элементарных частиц. Все они обладают как волновыми, так и корпускулярными свойствами.
Макромир – мир материальных объектов, соизмеримых по своим масштабом с человеком. На этом уровне пространственные величины измеряются от миллиметров до километров, а время – от секунд до лет. Макромир представлен макромолекулами, веществами в различных агрегатных состояниях, живыми организмами, человеком и продуктами его деятельности.
Мегамир – сфера огромных космических масштабов и скоростей, расстояние в которой измеряется астрономическими единицами (1 а. е. = 8,3 световых минуты), световыми годами (1 световой год = 10 трлн км) и парсеками (1пк = 30 трлн км), а время существования космических объектов – миллионами и миллиардами лет. К этому уровню относятся наиболее крупные материальные объекты: планеты и их системы, звезды, галактики и их скопления, образующие метагалактики.
Классификация элементарных частиц
Элементарные частицы – основные структурные элементы микромира. Элементарные частицы могут быть составными (протон, нейтрон) и несоставными (электрон, нейтрино, фотон). К настоящему времени обнаружено более 400 частиц и их античастиц. Некоторые элементарные частицы обладают необычными свойствами. Так, долгое время считалось, что частица нейтрино не имеет массы покоя. В 30-е гг. XX в. при изучении бета-распада было обнаружено, что распределение по энергиям электронов, испускаемых радиоактивными ядрами, происходит непрерывно. Из этого следовало, что или не выполняется закон сохранения энергии, или кроме электронов испускаются трудно регистрируемые частицы, подобные фотонам с нулевой массой покоя, уносящие часть энергии. Ученые предположили, что это нейтрино. Однако зарегистрировать нейтрино экспериментально удалось только в 1956 г. на огромных подземных установках. Сложность регистрации этих частиц заключается в том, что захват частиц нейтрино происходит чрезвычайно редко из-за их высокой проникающей способности. В ходе экспериментов было установлено, что масса покоя нейтрино не равна нулю, хотя от нуля отличается ненамного. Интересными свойствами обладают и античастицы. Они имеют многие из тех же признаков, что и их частицы-двойники (массу, спин,(1) время жизни и т. д.), но отличаются от них знаками электрического заряда или другими характеристиками.
В 1928 г. П. Дирак предсказал существование античастицы электрона – позитрона, который был обнаружен спустя четыре года К. Андерсоном в составе космических лучей. Электрон и позитрон – не единственная пара частиц-двойников, все элементарные частицы, кроме нейтральных, имеют свои античастицы. При столкновении частицы и античастицы происходит их аннигиляция (от лат. annihilatio – превращение в ничто) – превращение элементарных частиц и античастиц в другие частицы, число и вид которых определяются законами сохранения. Например, в результате аннигиляции пары электрон– позитрон рождаются фотоны. Число обнаруженных элементарных частиц со временем увеличивается. Вместе с тем продолжается поиск фундаментальных частиц, которые могли бы быть составными «кирпичиками» для построения известных частиц. Гипотеза о существовании подобного рода частиц, названных кварками, была высказана в 1964 г. американским физиком М. Гелл-Маном (Нобелевская премия 1969 г.).
Элементарные частицы обладают большим количеством характеристик. Одна из отличительных особенностей кварков заключается в том, что они имеют дробные электрические заряды. Кварки могут соединяться друг с другом парами и тройками. Соединение трех кварков образует барионы (протоны и нейтроны). В свободном состоянии кварки не наблюдались. Однако кварковая модель позволила определить квантовые числа многих элементарных частиц.
Элементарные частицы классифицируют по следующим признакам: массе частицы, электрическому заряду, типу физического взаимодействия, в котором участвуют элементарные частицы, времени жизни частиц, спину и др.
В зависимости от массы покоя частицы (масса ее покоя, которая определяется по отношению к массе покоя электрона, считающегося самой легкой из всех частиц, имеющих массу) выделяют:
♦ фотоны (греч. photos – частицы, которые не имеют массы покоя и движутся со скоростью света);
♦ лептоны (греч. leptos – легкий) – легкие частицы (электрон и нейтрино);
♦ мезоны (греч. mesos – средний) – средние частицы с массой от одной до тысячи масс электрона (пи-мезон, ка-мезон и др.);
♦ барионы (греч. barys – тяжелый) – тяжелые частицы с массой более тысячи масс электрона (протоны, нейтроны и др.).
В зависимости от электрического заряда выделяют:
♦ частицы с отрицательным зарядом (например, электроны);
♦ частицы с положительным зарядом (например, протон, позитроны);
♦ частицы с нулевым зарядом (например, нейтрино).
Существуют частицы с дробным зарядом – кварки. С учетом типа фундаментального взаимодействия, в котором участвуют частицы, среди них выделяют:
♦ адроны (греч. adros – крупный, сильный), участвующие в электромагнитном, сильном и слабом взаимодействии;
♦ лептоны, участвующие только в электромагнитном и слабом взаимодействии;
♦ частицы – переносчики взаимодействий (фотоны – переносчики электромагнитного взаимодействия; гравитоны – переносчики гравитационного взаимодействия; глюоны – переносчики сильного взаимодействия; промежуточные векторные бозоны – переносчики слабого взаимодействия).
По времени жизни частицы делятся на стабильные, квазистабильные и нестабильные. Большинство элементарных частиц нестабильно, время их жизни – 10-10-10-24 с. Стабильные частицы не распадаются длительное время. Они могут существовать от бесконечности до 10-10 с. Стабильными частицами считаются фотон, нейтрино, протон и электрон. Квазистабильные частицы распадаются в результате электромагнитного и слабого взаимодействия, иначе их называют резонансами. Время их жизни составляет 10-24-10-26 с.
2. Фундаментальные взаимодействия
Взаимодействие – основная причина движения материи, поэтому взаимодействие присуще всем материальным объектам независимо от их природного происхождения и системной организации. Особенности различных взаимодействий определяют условия существования и специфику свойств материальных объектов. Всего известно четыре вида взаимодействия: гравитационное, электромагнитное, сильное и слабое.
Гравитационное взаимодействие первым из известных фундаментальных взаимодействий стало предметом исследования ученых. Оно проявляется во взаимном притяжении любых материальных объектов, имеющих массу, передается посредством гравитационного поля и определяется законом всемирного тяготения, который был сформулирован И. Ньютоном
Закон всемирного тяготения описывает падение материальных тел в поле Земли, движение планет Солнечной системы, звезд и т. п. По мере увеличения массы вещества гравитационные взаимодействия возрастают. Гравитационное взаимодействие – наиболее слабое из всех известных современной науке взаимодействий. Тем не менее гравитационные взаимодействия определяют строение всей Вселенной: образование всех космических систем; существование планет, звезд и галактик. Важная роль гравитационного взаимодействия определяется его универсальностью: все тела, частицы и поля участвуют в нем.
Переносчиками гравитационного взаимодействия являются гравитоны – кванты гравитационного поля.
Электромагнитное взаимодействие также является универсальным и существует между любыми телами в микро-, макро– и мегамире. Электромагнитное взаимодействие обусловлено электрическими зарядами и передается с помощью электрического и магнитного полей. Электрическое поле возникает при наличии электрических зарядов, а магнитное – при движении электрических зарядов. Электромагнитное взаимодействие описывается: законом Кулона, законом Ампера и др. и в обобщенном виде – электромагнитной теорией Максвелла, связывающей электрическое и магнитное поля. Благодаря электромагнитному взаимодействию возникают атомы, молекулы и происходят химические реакции. Химические реакции представляют собой проявление электромагнитных взаимодействий и являются результатами перераспределения связей между атомами в молекулах, а также количества и состава атомов в молекулах разных веществ. Различные агрегатные состояния вещества, силы упругости, трения и т. д. определяются электромагнитным взаимодействием. Переносчиками электромагнитного взаимодействия являются фотоны – кванты электромагнитного поля с нулевой массой покоя.
Внутри атомного ядра проявляются сильные и слабые взаимодействия. Сильное взаимодействие обеспечивает связь нуклонов в ядре. Данное взаимодействие определяется ядерными силами, обладающими зарядовой независимостью, короткодействием, насыщением и другими свойствами. Сильное взаимодействие удерживает нуклоны (протоны и нейтроны) в ядре и кварки внутри нуклонов и отвечает за стабильность атомных ядер. С помощью сильного взаимодействия ученые объяснили, почему протоны ядра атома не разлетаются под действием электромагнитных сил отталкивания. Сильное взаимодействие передается глюонами – частицами, «склеивающими» кварки, которые входят в состав протонов, нейтронов и других частиц.
Слабое взаимодействие также действует только в микромире. В этом взаимодействии участвуют все элементарные частицы, кроме фотона. Оно обусловливает большинство распадов элементарных частиц, поэтому его открытие произошло вслед за открытием радиоактивности. Первая теория слабого взаимодействия была создана в 1934 г. Э. Ферми и развита в 1950-е гг. М. Гелл-Маном, Р. Фейнманом и другими учеными. Переносчиками слабого взаимодействия принято считать частицы с массой в 100 раз больше массы протонов – промежуточные векторные бозоны.
Характеристики фундаментальных взаимодействий представлены в табл. 1.
Таблица.1
Характеристики фундаментальных взаимодействий

Из таблицы видно, что гравитационное взаимодействие гораздо слабее других взаимодействий. Радиус его действия неограничен. Оно не играет существенной роли в микропроцессах и в то же время является основным для объектов с большими массами. Электромагнитное взаимодействие сильнее гравитационного, хотя радиус его действия также неограничен. Сильное и слабое взаимодействия имеют очень ограниченный радиус действия.
Одна из важнейших задач современного естествознания – создание единой теории фундаментальных взаимодействий, объединяющей различные виды взаимодействия. Создание подобной теории означало бы также построение единой теории элементарных частиц.
3. Тепловое излучение. Рождение квантовых представлений
В конце XX в. волновая теория не могла объяснить и описать тепловое излучение во всем диапазоне частот электромагнитных волн теплового диапазона. А то, что тепловое излучение, и в частности свет, является электромагнитными волнами, стало научным фактом. Дать точное описание теплового излучения удалось немецкому физику Максу Планку.
14 декабря 1900 г. Планк выступил на заседании Немецкого физического общества с докладом, в котором изложил свою гипотезу квантовой природы теплового излучения и новую формулу излучения (формула Планка). Этот день физики считают днем рождения новой физики – квантовой. Выдающийся французский математик и физик А. Пуанкаре писал: «Квантовая теория Планка есть, без всякого сомнения, самая большая и самая глубокая революция, которую натуральная философия претерпела со времен Ньютона».
Планк установил, что тепловое излучение (электромагнитная волна) испускается не сплошным потоком, а порциями (квантами). Энергия каждого кванта —
E = hv,
то есть пропорциональна частоте электромагнитной волны – v. Здесь h – постоянная Планка, равная 6,62 · 10-34 Дж · с.
Совпадение расчетов Планка с опытными данными было полным. В 1919 г. М. Планку присвоили Нобелевскую премию.
На основе квантовых представлений А. Эйнштейн в 1905 г. разработал теорию фотоэффекта (Нобелевская премия 1922 г.), поставив науку перед фактом: свет обладает и волновыми и корпускулярными свойствами, он излучается, распространяется и поглощается квантами (порциями). Кванты света стали называть фотонами.
4. Гипотеза де Бройля о корпускулярно-волновом дуализме
свойств частиц
Французский ученый Луи де Бройль (1892–1987) в 1924 г. в докторской диссертации «Исследования по теории квантов» выдвинул смелую гипотезу об универсальности корпускулярно-волнового дуализма, утверждая, что поскольку свет ведет себя в одних случаях как волна, а в других – как частица, то и материальные частицы (электроны и др.) в силу общности законов природы должны обладать волновыми свойствами. «В оптике, – писал он, – в течение столетия слишком пренебрегали корпускулярным способом рассмотрения по сравнению с волновым; не делалась ли в теории вещества обратная ошибка? Не думали ли мы слишком много о картине «частиц» и не пренебрегали ли чрезмерной картиной волн?» В то время гипотеза де Бройля выглядела безумной. Лишь в 1927 г., три года спустя, наука пережила огромное потрясение: физики К. Дэвиссон и Л. Джермер экспериментально подтвердили гипотезу де Бройля, получив дифракционную картину электронов.
Согласно квантовой теории света А. Эйнштейна, волновые характеристики фотонов света (частота колебаний v и длина волна л = c/v) связаны с корпускулярными характеристиками (энергией εф, релятивистской массой mф и импульсом рф) соотношениями:
![]()
По идее де Бройля, любая микрочастица, в том числе и с массой покоя ш0Ц 0, должна обладать не только корпускулярными, но и волновыми свойствами. Соответствующие частота v и длина волны л определяются при этом соотношениями, подобными эйнштейновским:
![]()
Отсюда длина волны де Бройля —
![]()
Таким образом, соотношения Эйнштейна, полученные им при построении теории фотонов в результате гипотезы, выдвинутой де Бройлем, приобрели универсальный характер и стали одинаково применимыми как для анализа корпускулярных свойств света, так и при исследовании волновых свойств всех микрочастиц.
5. Опыты Резерфорда. Модель атома Резерфорда А. Опыты Резерфорда
В 1911 г. Резерфорд провел исключительные по своему значению эксперименты, доказавшие существование ядра атома. Для исследования атома Резерфорд применил его зондирование (бомбардировку) с помощью α-частиц, которые возникают при распаде радия, полония и некоторых других элементов. Резерфордом и его сотрудниками еще в более ранних опытах в 1909 г. было установлено, что α-частицы обладают положительным зарядом, равным по модулю удвоенному заряду электрона q =+2e, и массой, совпадающей c массой атома гелия, то есть mа = 6,62 · 10-27 кг, что примерно в 7300 раз больше массы электрона. Позже было установлено, что α-частицы представляют собой ядра атомов гелия. Этими частицами Резерфорд бомбардировал атомы тяжелых элементов. Электроны вследствие своей малой массы не могут изменить траекторию α-частαицы. Их рассеяние (изменение направления движения) может вызвать только положительно заряженная часть атома. Таким образом, по рассеянию α-частиц можно определить характер распределения положительного заряда, а значит, и массы внутри атома.
Было известно, что α-частицы, излученные полонием, летят со скоростью 1,6-107 м/с. Полоний помещался внутрь свинцового футляра, вдоль которого высверлен узкий канал. Пучок α-частиц, пройдя канал и диафрагму, падал на фольгу. Золотую фольгу можно сделать исключительно тонкой – толщиной 4-10-7 м (в 400 атомов золота; это число можно оценить, зная массу, плотность и молярную массу золота). После фольги α-частицы попадали на полупрозрачный экран, покрытый сульфидом цинка. Столкновение каждой частицы с экраном сопровождалось вспышкой света (сцинтилляцией), обусловленной флуресценцией, которая наблюдалась в микроскоп.
При хорошем вакууме внутри прибора (чтобы не было рассеяния частиц от молекул воздуха) в отсутствие фольги на экране возникал светлый кружок из сцинтилляций, вызываемых тонким пучком α-частиц. Когда на пути пучка помещалась фольга, то подавляющее большинство α-частиц все равно не отклонялось от своего первоначального направления, то есть проходило сквозь фольгу, как если бы она представляла собой пустое пространство. Однако имелись α-частицы, которые изменяли свой путь и даже отскакивали назад.
Марсден и Гейгер, ученики и сотрудники Резерфорда, насчитали более миллиона сцинтилляций и определили, что примерно одна из 2 тысяч α-частиц отклонялась на углы, большие 90°, а одна из 8 тысяч – на 180°. Объяснить этот результат на основе других моделей атома, в частности Томсона, было нельзя.
Расчеты показывают, что при распределении по всему атому положительный заряд (даже без учета электронов) не может создать достаточно интенсивное электрическое поле, способное отбросить α-части-цу назад. Напряженность электрического поля равномерно заряженного шара максимальна на поверхности шара и убывает до нуля по мере приближения к центру. Рассеяние α-частиц на большие углы происходит так, как если бы весь положительный заряд атома был сосредоточен в его ядре – области, занимающей весьма малый объем по сравнению со всем объемом атома.
Вероятность попадания α-частиц в ядро и их отклонение на большие углы очень мала, поэтому для большинства α-частиц фольги как бы не существовало.
Резерфорд теоретически рассмотрел задачу о рассеянии α-частиц в кулоновском электрическом поле ядра и получил формулу, позволяющую по плотности потока α-частиц, налетающих на ядро, и измеренному числу частиц, рассеянных под некоторым углом, определить число N элементарных положительных зарядов +е, содержащихся в ядре атомов данной рассеивающей фольги. Опыты показали, что число N равно порядковому номеру элемента в периодической системе Д. И. Менделеева, то есть N = Z (для золота Z = 79).
Таким образом, гипотеза Резерфорда о сосредоточении положительного заряда в ядре атома позволила установить физический смысл порядкового номера элемента в периодической системе элементов. В нейтральном атоме должно содержаться также Z электронов. Существенно, что число электронов в атоме, определенное различными методами, совпало с числом элементарных положительных зарядов в ядре. Это послужило проверкой справедливости ядерной модели атома.
Б. Ядерная модель атома Резерфорда
Обобщая результаты опытов по рассеянию α-частиц золотой фольгой, Резерфорд установил:
♦ атомы по своей природе в значительной мере прозрачны для α-частиц;
♦ отклонения α-частиц на большие углы возможны только в том случае, если внутри атома имеется очень сильное электрическое поле, создаваемое положительным зарядом, связанным с большой и сконцентрированной в очень малом объеме массой.
Для объяснения этих опытов Резерфорд предложил ядерную модель атома: в ядре атома (области с линейными размерами 10-15-10-14 м) сосредоточены весь его положительный заряд и практически вся масса атома (99,9 %). Вокруг ядра в области с линейными размерами ~10-10 м (размеры атома оценены в молекулярно-кинетической теории) движутся по замкнутым орбитам отрицательно заряженные электроны, масса которых составляет лишь 0,1 % массы ядра. Следовательно, электроны находятся от ядра на расстоянии от 10 000 до 100 000 поперечников ядра, то есть основную часть атома составляет пустое пространство.
Ядерная модель атомов Резерфорда напоминает солнечную систему: в центре системы находится «солнце» – ядро, а вокруг него по орбитам движутся «планеты» – электроны, поэтому данную модель называют планетарной. Электроны не падают на ядро потому, что электрические силы притяжения между ядром и электронами уравновешиваются центробежными силами, обусловленными вращением электронов вокруг ядра.
В 1914 г., через три года после создания планетарной модели атома, Резерфорд исследовал положительные заряды в ядре. Бомбардируя электронами атомы водорода, он обнаружил, что нейтральные атомы превратились в положительно заряженные частицы. Так как атом водорода имеет один электрон, Резерфорд решил, что ядро атома является частицей, несущей элементарный положительный заряд +е. Эту частицу он назвал протоном.
Планетарная модель хорошо согласуется с опытами по рассеиванию α-частиц, но она не может объяснить устойчивость атома. Рассмотрим, например, модель атома водорода, содержащего ядро-протон и один электрон, который движется со скоростью v вокруг ядра по круговой орбите радиуса r. Электрон должен по спирали падать на ядро, и частота его обращения вокруг ядра (следовательно, и частота излучаемых им электромагнитных волн) должна непрерывно изменяться, то есть атом неустойчив, и его электромагнитное излучение должно иметь непрерывный спектр.
В действительности оказывается, что:
а) атом устойчив;
б) атом излучает энергию лишь при определенных условиях;
в) излучение атома имеет линейчатый спектр, определяемый его строением.
Таким образом, применение классической электродинамики к планетарной модели атома привело к полному противоречию с экспериментальными фактами. Преодоление возникших трудностей потребовало создания качественно новой – квантовой – теории атома. Однако, несмотря на свою несостоятельность, планетарная модель и сейчас принята в качестве приближенной и упрощенной картины атома.
6. Теория Бора для атома водорода. Постулаты Бора
Датский физик Нильс Бор (1885–1962) в 1913 г. создал первую квантовую теорию атома, связав в единое целое эмпирические закономерности линейчатых спектров водорода, ядерную модель атома Резерфорда и квантовый характер излучения и поглощения света.
В основу своей теории Бор положил три постулата, по поводу которых американский физик Л. Купер заметил: «Конечно, было несколько самонадеянно выдвигать предложения, противоречащие электродинамике Максвелла и механике Ньютона, но Бор был молод».
Первый постулат (постулат стационарных состояний): в атоме электроны могут двигаться только по определенным, так называемым разрешенным, или стационарным, круговым орбитам, на которых они, несмотря на наличие у них ускорения, не излучают электромагнитных волн (поэтому эти орбиты названы стационарными). Электрон на каждой стационарной орбите обладает определенной энергией En.
Второй постулат (правило частот): атом излучает или поглощает квант электромагнитной энергии при переходе электрона с одной стационарной орбиты на другую:
hv = E1 – E2,
где E1 и E2 – энергия электрона соответственно до и после перехода.
При E1 > E2 происходит излучение кванта (переход атома из одного состояния с большей энергией в состояние с меньшей энергией, то есть переход электрона с любой дальней на любую ближнюю от ядра орбиту); при E1 < E2 – поглощение кванта (переход атома в состояние с большей энергией, то есть переход электрона на более удаленную от ядра орбиту).
Будучи уверенным, что постоянная Планка должна играть основную роль в теории атома, Бор ввел третий постулат (правило квантования): на стационарных орбитах момент импульса электрона Ln= meυnrnкратен величине = h/(2π), то есть
meυnrn = nh, n = 1, 2, 3, …,
где = 1,05 · 10-34 Дж · с – постоянная Планка (величина h/(2π)) встречается столь часто, что для нее введено специальное обозначение («аш» с чертой; в данной работе «аш»– прямое); mе = 9,1 · 10-31 кг – масса электрона; rп – радиус n-й стационарной орбиты; υn – скорость электрона на этой орбите.
7. Атом водорода в квантовой механике
Уравнением движения микрочастицы в различных силовых полях является волновое уравнение Шредингера.
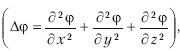
Для стационарных состояний уравнение Шредингера будет таким:
![]()
где Δ – оператор Лапласа

m – масса частицы, h – постоянная Планка, E – полная энергия, U – потенциальная энергия.
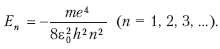
Уравнение Шредингера является дифференциальным уравнением второго порядка и имеет решение, которое указывает на то, что в атоме водорода полная энергия должна иметь дискретный характер: E1, E2, E3…
Эта энергия находится на соответствующих уровнях =1,2,3,…по формуле:
![]()
Самый нижний уровень E соответствует минимальной возможной энергии. Этот уровень называют основным, все остальные – возбужденными.
По мере роста главного квантового числа энергетические уровни располагаются теснее, полная энергия уменьшается, и при = ∞ она равна нулю. При E>0 электрон становится свободным, несвязанным с конкретным ядром, а атом – ионизированным.
Полное описание состояния электрона в атоме, помимо энергии, связано с четырьмя характеристиками, которые называются квантовыми числами. К ним относятся: главное квантовое число п, орбитальное квантовое число l, магнитное квантовое число m1, магнитное спиновое квантовое число ms.
Волновая φ-функция, описывающая движение электрона в атоме, представляет собой не одномерную, а пространственную волну, соответствующую трем степеням свободы электрона в пространстве, то есть волновая функция в пространстве характеризуется тремя системами. Каждая из них имеет свои квантовые числа: п, l, ml.
Каждой микрочастице, в том числе и электрону, также свойственно собственное внутреннее сложное движение. Это движение может характеризоваться четвертым квантовым числом ms. Поговорим об этом подробнее.
A. Главное квантовое число п, согласно формуле, определяет энергетические уровни электрона в атоме и может принимать значения п = 1, 2, 3…
Б. Орбитальное квантовое число /. Из решения уравнения Шредингера следует, что момент импульса электрона (его механический орбитальный момент) квантуется, то есть принимает дискретные значения, определяемые формулой
![]()
где Ll – момент импульса электрона на орбите, l – орбитальное квантовое число, которое при заданном п принимает значение i = 0, 1, 2… (n – 1) и определяет момент импульса электрона в атоме.
B. Магнитное квантовое число ml. Из решения уравнения Шредингера следует также, что вектор Ll (момент импульса электрона) ориентируется в пространстве под влиянием внешнего магнитного поля. При этом вектор развернется так, что его проекция на направление внешнего магнитного поля будет
Llz = hml
где ml называется магнитным квантовым числом, которое может принимать значения ml = 0, ±1, ±2,±1, то есть всего (2l + 1) значений.
Учитывая сказанное, можно сделать заключение о том, что атом водорода может иметь одно и то же значение энергии, находясь в нескольких различных состояниях (n – одно и то же, а l и ml– разные).
При движении электрона в атоме электрон заметно проявляет волновые свойства. Поэтому квантовая электроника вообще отказывается от классических представлений об электронных орбитах. Речь идет об определении вероятного места нахождения электрона на орбите, то есть местонахождение электрона может быть представлено условным «облаком». Электрон при своем движении как бы «размазан» по всему объему этого «облака». Квантовые числа и l характеризуют размер и форму электронного «облака», а квантовое число ml– ориентацию этого «облака» в пространстве.
В 1925 г. американские физики Уленбек и Гаудсмит доказали, что электрон также обладает собственным моментом импульса (спином), хотя мы не считаем электрон сложной микрочастицей. Позднее выяснилось, что спином обладают протоны, нейтроны, фотоны и другие элементарные частицы
Опыты Штерна, Герлаха и других физиков привели к необходимости характеризовать электрон (и микрочастицы вообще) добавочной внутренней степенью свободы. Отсюда для полного описания состояния электрона в атоме необходимо задавать четыре квантовых числа: главное – п, орбитальное – l, магнитное – ml, магнитное спиновое число – ms.
В квантовой физике установлено, что так называемая симметрия или асимметрия волновых функций определяется спином частицы. В зависимости от характера симметрии частиц все элементарные частицы и построенные из них атомы и молекулы делятся на два класса. Частицы с полуцелым спином (например, электроны, протоны, нейтроны) описываются асимметричными волновыми функциями и подчиняются статистике Ферми—Дирака. Эти частицы называются фермионами. Частицы с целочисленным спином, в том числе и с нулевым, такие как фотон (Ls =1) или л-мезон (Ls = 0), описываются симметричными волновыми функциями и подчиняются статистике Бозе– Эйнштейна. Эти частицы называются бозонами. Сложные частицы (например, атомные ядра), составленные из нечетного числа фермионов, также являются фермионами (суммарный спин – полуцелый), а составленные из четного – бозонами (суммарный спин – целочисленный).
8. Многоэлектронный атом. Принцип Паули
В многоэлектронном атоме, заряд которого равен Ze, электроны будут занимать различные «орбиты» (оболочки). При движении вокруг ядра Z-электроны располагаются в соответствии с квантово-механическим законом, который называется принципом Паули (1925 г.). Он формулируется так:
► 1. В любом атоме не может быть двух одинаковых электронов, определяемых набором четырех квантовых чисел: главного n, орбитального /, магнитного m и магнитного спинового ms.
► 2. В состояниях с определенным значением могут находиться в атоме не более 2n2 электронов.
Значит, на первой оболочке («орбите») могут находиться только 2 электрона, на второй – 8, на третьей – 18 и т. д.
Таким образом, совокупность электронов в многоэлектронном атоме, имеющих одно и то же главное квантовое число n, называют электронной оболочкой. В каждой из оболочек электроны располагаются по подоболочкам, которые соответствуют определенному значению /. Так как орбитальное квантовое число l принимает значения от 0 до (п – 1), число подоболочек равно порядковому номеру оболочки п. Количество электронов в подоболочке определяется магнитным квантовым числом ml и магнитным спиновым числом ms.
Принцип Паули сыграл выдающуюся роль в развитии современной физики. Так, например, удалось теоретически обосновать периодическую систему элементов Менделеева. Без принципа Паули невозможно было бы создать квантовые статистики и современную теорию твердых тел.
9. Квантово-механическое обоснование Периодического закона Д.И. Менделеева
В 1869 г. Д. И. Менделеев открыл периодический закон изменения химических и физических свойств элементов в зависимости от их атомных масс. Д. И. Менделеев ввел понятие порядкового номера Z-элемента и, расположив химические элементы в порядке возрастания их номера, получил полную периодичность в изменении химических свойств элементов. Физический смысл порядкового номера Z-элемента в периодической системе был установлен в ядерной модели атома Резерфорда: Z совпадает с числом положительных элементарных зарядов в ядре (протонов) и, соответственно, с числом электронов в оболочках атомов.
Принцип Паули дает объяснение Периодической системы Д. И. Менделеева. Начнем с атома водорода, имеющего один электрон и один протон. Каждый последующий атом будем получать, увеличивая заряд ядра предыдущего атома на единицу (один протон) и добавляя один электрон, который мы будем помещать в доступное ему, согласно принципу Паули, состояние.
У атома водорода Z = 1 на оболочке 1 электрон. Этот электрон находится на первой оболочке (K-оболочка) и имеет состояние 1S, то есть у него =1,а l =0(S-состояние), m = 0, ms = ±l/2 (ориентация его спина произвольна).
У атома гелия (Не) Z = 2, на оболочке 2 электрона, оба они располагаются на первой оболочке и имеют состояние 1S, но с антипараллельной ориентацией спинов. На атоме гелия заканчивается заполнение первой оболочки (K-оболочки), что соответствует завершен