Проектирование электрической части атомных электростанций
СЕВАСТОПОЛЬСКИЙ НАЦИОНАЛЬНЫЙ УНИВЕРСИТЕТ ЯДЕРНОЙ ЭНЕРГИИ И ПРОМЫШЛЕННОСТИ
Учебно-научный институт электротехники и энергосбережения
Кафедра Эксплуатации электрических станций
Курсовой проект по дисциплине:
«Электрические станции и подстанции»
На тему: Проектирование электрической части атомных электростанций
Руководитель Сиротенко Борис Гаврилович
Студент Пархоменко Олег Дмитриевич
Севастополь 2008г.
СОДЕРЖАНИЕ
1. Выбор схемы выдачи мощности АЭС
1.1 Варианты схемы выдачи мощности
1.2 Определение перетоков мощности через блочные трансформаторы и автотрансформаторы связи и их выбор
1.3 Определение потерь активной энергии в блочных трансформаторах и АТ связи
1.4 Определение капитальных эксплуатационных и приведенных затрат
2. Выбор электрической схемы РУ высокого напряжения
2.1 Порядок выбора схемы распределительного устройства
2.2 Составление вариантов схемы РУ повышенного напряжения
2.3 Определение капитальных, эксплуатационных и приведенных затрат
3. Проектирование схемы электроснабжения собственных нужд блока
3.1 Характеристика потребителей собственных нужд
3.2 Сети питания потребителей с.н.
3.3 Схемы электрических соединений с.н.
3.3.1 Схема 6 кВ для потребителей 3 группы надежности
3.3.2 Схема 0,4 кВ для потребителей 3 группы надежности
3.3.3 Схемы 6 кВ и 0,4 кВ для потребителей 2 группы надежности
3.3.4 Схемы для потребителей 1 группы надежности
4. Выбор мощности ТСН АЭС
4.1 Выбор мощности рабочих ТСН блока ВВЭР – 1000
4.2 Выбор мощности резервных ТСН блока ВВЭР – 1000
5. Расчет режима самозапуска электродвигателей механизмов собственных нужд АЭС
5.1 Основные положения
5.2 Расчетные и допустимые условия режима самозапуска
5.3 Расчет начального напряжения режима самозапуска
6. Определение мощности дизель-генераторов систем надёжного питания
6.1 Методика определения мощности ДГ систем надёжного питания
6.2 Расчёт мощности ДГ систем надёжного питания
7. Расчет токов короткого замыкания в главной схеме ЭС
7.1 Общие положения
7.2 Расчет токов КЗ в различных точках главной схемы ЭС
8. Выбор коммутационных аппаратов главной схемы выдачи мощности
ЗАКЛЮЧЕНИЕ
СПИСОК ЛИТЕРАТУРЫ
Приложение А
1. ВЫБОР СХЕМ ВЫДАЧИ МОЩНОСТИ АЭС
Схема выдачи мощности определяет распределение генераторов между РУ разных напряжений, автотрансформаторную связь между РУ, способ соединения генераторов с блочными трансформаторами, точки подключения резервных трансформаторов собственных нужд. При проектировании схемы выдачи мощности на первом этапе намечаются этапы её исполнения. На втором этапе для каждого варианта определяются перетоки мощности через блочные трансформаторы и автотрансформаторы связи и осуществляется их выбор, вычисляются потери энергии в них за год, находятся капитальные, эксплуатационные и приведённые затраты. В результате сравнения вариантов схемы выдачи мощности АЭС выявляется рациональный вариант.
1.1 Варианты схемы выдачи мощности
Если мощность станции выдается на одном повышенном напряжении, то все блоки присоединяются к РУ данного напряжения, и выполняется, лишь выбор схемы исполнения блоков генератор-трансформатор.
Различают следующие схемы исполнения блоков (АЭС): генератор - трансформатор (рис.1.а), генератор-трансформатор с генераторным выключателем или выключателем нагрузки (рис.1,б), укрупненный блок (рис.1,в), объединенный блок (рис.1,г), блок генератор-автотрансформатор связи (рис.1,д), блок генератор-трансформатор с двумя выключателями (рис.1,е) и др.
Согласно нормам технологического проектирования (1) в блоке между генератором и двухобмоточным трансформатором должен устанавливаться генераторный выключатель. В случае отсутствия выключателя на соответствующий ток отключения разрешается применение выключателя нагрузки.

При двух и более РУ повышенного напряжения варианты схемы выдачи мощности формируются путем варьирования количества блоков различного исполнения, подключаемых к разным РУ повышенного напряжения, а так же путем изменения вида связи между РУ. Связь между РУ может выполнятся с помощью трехобмоточных трансформаторов и автотрансформаторов, если мощность, отдаваемая на одном напряжении, составляет 15% и более мощности, отдаваемой на другом напряжении , а также с учетом перспективы развития нагрузок на обоих напряжениях (1).
Общее количество составленных для сравнения вариантов схемы выдачи мощности может оказаться более десяти. При ручном счете из этого множества вариантов путем логического сравнения отбираются два-три наиболее перспективных варианта. Предварительный отбор вариантов осуществляется в соответствии с заданными условиями и опытом проектирования, а также определяется здравым смыслом:
мощность блока не должна превышать резерв мощности в системе, что ограничивает область допустимых вариантов исполнения блоков;
подключение генератора к третичной обмотке автотрансформатора связи может вызвать существенное увеличение мощности автотрансформатора по сравнению с мощностью перетока, конструктивные сложности при его размещении на территории электростанции и трудности в выполнении гибких связей с РУ;
перетоки мощности через автотрансформаторы связи не должны превышать мощность блока более чем в 1,5 раза (при отсутствии транзита мощности через шины РУ станции).
Связь между РУ выполняется с помощью автотрансформаторов.
С учетом вышесказанного ниже представлены три варианта схемы выдачи мощности электростанции типа АЭС.
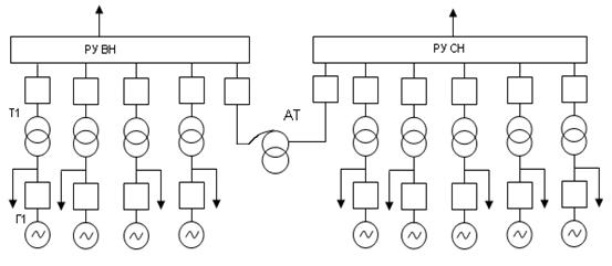
Первый вариант: в систему ВН в систему СН

Выбирается схема «генератор-трансформатор с генераторным выключателем». Наличие генераторного выключателя снижает количество операций с выключателями в РУ повышенного напряжения; пуск и останов блока выполняются с помощью рабочего трансформатора собственных нужд и генераторного выключателя; снижаются требования к количеству и мощности резервных трансформаторов собственных нужд. В блоках генератор-трансформатор АЭС мощностью 1000 МВт устанавливаются аппаратные генераторные комплекты (АГК) типа КАГ – 24 – 30 / 30000.
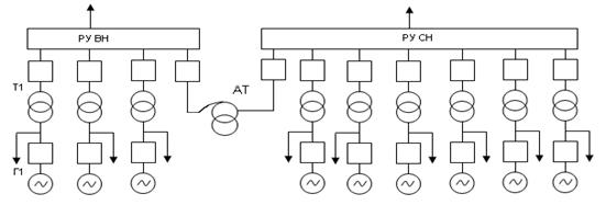
Второй вариант: в систему ВН в систему СН

Третий вариант:в систему ВН в систему СН

1.2 Определение перетоков мощности через блочные трансформаторы и автотрансформаторы связи и их выбор
Выбор мощности блочных трансформаторов и автотрансформаторов связи в каждом варианте схемы выдачи мощности выполняется по максимальным перетокам мощности с учетом их нагрузочной способности. На рис.2. приведена принципиальная схема выдачи мощности АЭС с произвольным числом блоков и двумя РУ повышенного напряжения. Для нахождения перетоков мощности в схеме составляется диаграмма баланса мощности (рис.3).

Максимальные перетоки мощности определяются из условий нормального и аварийного режимов работы станции. В аварийных режимах рассматриваются случаи аварийного отключения одного любого блока и одного автотрансформатора связи.
Расчет перетоков мощности ведется с нахождением активных, реактивных, и полных мощностей в аналитической форме. Перетоки мощности через блочные трансформаторы определяются по выражению
,
где Рс.н., Qс.н. - активная и реактивная мощность, потребляемая на собственные нужды;
Рг, Qг – генерируемые активная и реактивная мощности.
Согласно варианту задания, на этапе проектирования целесообразно принять:
Рс.н.= 0.05· Рг ; cosс.н.=0.85;
Рс.н. = 0.05· Рг = 0.05 · 1000 = 50 МВт.
Qс.н. = Рс.н. · tgφ с.н. = 50 ·0.61 = 30.5 МВАр.
Рг =1000МВт ; cosφг =0.9 ;
Qг = Рг · tgφг = 1000 · 0.48 = 480 Мвар;
Переток мощности через блочные трансформаторы:
Sт.бл. =
1051.4 МВА
При работе электростанции в базовой части графика нагрузки энергосистемы мощность блочного трансформатора выбирается из условия
![]()
По каталогу выбираю следующие типы блочных трансформаторов:
- на стороне СН: ТНЦ – 1250000 / 330 (по 1 шт. на блок).
Его каталожные данные – Рх. = 715 кВт - мощность холостого хода;
Рк. = 2200кВт – мощность корокого замыкания.
- на стороне ВН: ОРЦ – 417000 / 750 (по 3 шт. на блок).
Его каталожные данные – Рх. = 320кВт; Рк. = 540кВт
Перетоки мощности через обмотки СH и ВH автотрансформаторов связи определяются по следующим выражениям:
-при максимальной нагрузке на шинах РУ СH
![]()
![]()
-при минимальной нагрузке на шинах РУ СH
![]()
![]()
-в аварийном режиме (отключение одного блока, подключенного к шинам РУ СH)
![]()
![]()
В этих формулах:
n - число блоков генератор - трансформатор, подключенных к РУ СН;
РГ, QГ - номинальная активная и реактивная мощности генераторов, подключенных к РУ СН;
РНmax., QНmax- активная и реактивная мощности нагрузки, отдаваемые с РУ СН в систему или нагрузку, подключенную к этому РУ.
Из условия: РНmax = 4800 МВт и cosс =0,9;
МВар.
РНmin=4200 МВт.
QНmin =
МВар.
Определение перетоков мощности через автотрансформатор связи для
первого варианта ( n =5):
- при максимальной нагрузке на шинах РУ СН:
S1
= 75.973 МВА;
- при минимальной нагрузке на шинах РУ СН:
S2
= 596.386 МВА;
- в аварийном режиме (отключения одного блока, подключенного к шинам РУ СН):
S3
= 1121.16 МВА.
Определение перетоков мощности через автотрансформатор связи для второго варианта (n=4):
S1
= 1121.16 МВА;
S2
= 455.979 МВА;
S3
= 2172.17 МВА.
Определение перетоков мощности через автотрансформатор связи для третьего варианта (n=6):
S1
= 981.784 МВА;
S2
= 1647.97 МВА;
S3
= 75.97 МВА.
Ориентировочно мощность автотрансформаторов связи выбирается по максимальной мощности, полученной в результате расчета нормальных режимов эксплуатации автотрансформаторов.
Выбираем по каталогу автотрансформаторы связи.
Для первого варианта схемы выдачи мощности – АОДЦТН-333000/750/330. В количестве трех штук.
Его каталожные данные – Рх = 217 кВт; Рк = 580 кВт – мощность холостого хода и короткого замыкания соответственно. Sном=333 МВА; Sсуммарное=999 МВА
Для второго варианта схемы выдачи мощности – АОДЦТН – 333000/750/330. В данном варианте берется две группы однофазных АТ связи, т.е. шесть штук (по два на каждую фазу), т.к. одна не обеспечивает необходимую мощность в нормальных режимах эксплуатации.
Его каталожные данные - Рх =217 кВт ; Рк = 580 кВт – мощность холостого хода и короткого замыкания соответственно. Sном=333 МВА; Sсуммарное=1998 МВА
Для третьего варианта схемы выдачи мощности – АОДЦТН – 333000/750/330. В данном варианте также берется две группы однофазных АТ связи, т.е. шесть штук (по два на каждую фазу), т.к. одна не обеспечивает необходимую мощность в нормальных режимах эксплуатации.
Его каталожные данные - Рх =217 кВт ; Рк = 580 кВт – мощность холостого хода и короткого замыкания соответственно. Sном=333 МВА; Sсуммарное=1998 МВА
После выбора автотрансформатора связи по справочным материалам необходимо проверить его на перегрузку в аварийных режимах.
Kn1=
,
Kn2=
,
где
- максимальная расчётная мощность автотрансформатора в аварийном режиме (отключение одного генератора, питающего шины СН);
- наибольшая мощность, полученная в результате расчета нормальных режимов эксплуатации автотрансформаторов(S1 или S2);
- мощность автотрансформатора по каталожным данным.
Примечание:
1. Kn2 - рассчитывается только в случае использования двух параллельно включенных автотрансформаторов связи ( двух групп однофазных АТ связи). Если получен Kn2 > 1.5,то следует устанавливать одну резервную фазу, готовую к перекатке.
2. При использовании одной группы из однофазных автотрансформаторов связи резервная фаза ставится обязательно.
Вариант 1: 3·АОДЦТН – 333000 / 750 / 330
Kn1=1121.16 /(3·333) = 1.122 < (1.3..1.5).
Вариант 2: 6· АОДЦТН – 333000 / 750 / 330
Kn1=2172.17 /(2·3·333)= 1.087 < (1.3..1.5).
Kn2 =1121.16 /(3·333)= 1.122 < (1.3..1.5)– резервная фаза не нужна.
Вариант 3: 6· АОДЦТН – 333000 / 750 / 330
Kn1=75.97 /(2·3·333)= 0.038 < (1.3..1.5).
Kn2 =1647.97 /(3·333)= 1.65 > (1.3..1.5) – необходима установка резервной фазы.
Выбор резервных трансформаторов собственных нужд
Перетоки мощности через резервные трансформаторы собственных нужд:
SР.Т.С.Н. =
=
= 58.568 МВА.
По каталогу выбирается трансформатор типа ТРДНС – 32000 / 330 в количестве десяти штук (берется по паре на два блока).
Предварительный выбор выключателей
ВНВ 330А-63/4000У1; ВНВ 750А-40/4000У1;
Количество на стороне ВН выбирается по количеству блоков и еще один на АТ связи.
Количество на стороне СН выбирается по количеству блоков, один на АТ связи +0.25РТСН
1.3 Определение потерь активной энергии в блочных трансформаторах и автотрансформаторах связи
При задании исходной нагрузки параметрами, характеризующими график нагрузки, потери энергии в блочном трансформаторе определяются выражением:
Δ Wт.бл = Рx · (8760 – Тр.бл.) + Рк · (Sт.бл. / Sт.ном.)2 · τ ,
где Рх, Рк – потери холостого хода и короткого замыкания соответственно, приведены в каталоге для данного вида трансформатора,
Тр.бл. – средняя продолжительность планового ремонта блока генератор - трансформатор, выбирается по справочнику,
τ – время максимальных потерь, определяется как τ = Тг.уст
Вариант 1:
Потери энергии в блочном трансформаторе на стороне СН:
ТНЦ – 1250000 / 330;
Рх=715 кВт;
Рк=2200 кВт,
Тр.бл=50 ч для напряжения 330 кВ и Sт.ном > 80МВА
τ = Тг.уст=7400 ч, тогда
Δ Wбл.С.Н 330. = 715 · (8760 - 50) + 2200 · (1051,4/ 1250)2 · 7400= 16.68·106 кВт·ч.
Потери энергии в блочном трансформаторе на стороне ВН:
ОРЦ – 417000 / 750.
Рх=320 кВт,
Рк=540 кВт,
Тр.бл=50 ч для напряжения 750 кВ и Sт.ном > 80МВА,
τ= Тг.уст=7400 ч, тогда
Δ Wбл.В.Н = 3·320 · (8760 - 50) +3 ·540 · (1051,4/ 3 · 417)2 · 7400 = 16.04·106 кВт·ч.
Здесь потери увеличиваются в трое т.к. блочный трансформатор набран из трех однофазных.
Потери энергии в автотрансформаторе связи:
ΔWАТ = q·Рx ·(8760 – Тр.АТ) + q·Рк · (S1 / (q·SАТ))2 ·τ max + q·Рк · (S2 / (q·SАТ))2 ·τ min,
где q – количество автотрансформаторов связи,
Тр.АТ – продолжительность планового ремонта АТ (Тр.АТ = 50 ч);
τ max, τ min – время максимальных и минимальных потерь в АТ при перетоках мощности S1 и S2 , определяются :
τ max- по графику зависимости времени максимальных потерь от продолжительности использования соответствующей нагрузки τ = f (Тmax) при Тнагрmax = 6200 ч.
τ min- по графику зависимости времени максимальных потерь от продолжительности использования соответствующей нагрузки τ = f (Тmin) при Тmin= 8760 – Тнагрmax -Tр.АТ ;
Тmin= 8760 – 6200 – 50 =2510 ч.
Т.о. по графику τ max= 4300 ч, τ min= 1350 ч.
Потери энергии в автотрансформаторе связи:
АОДЦТН – 333000 / 750 / 330
τ max= 4300 ч, τ min= 1350 ч;
Тр.АТ = 50 ч;
Рх = 217 кВт;
Рк = 580 кВт;
Δ WАТ = 3·217 · (8760 - 50) + 3·580 · (75.973/3 · 333)2 · 4300+3·580·(596.386/3·333) 2 · 1350 = 6.551·106 кВт·ч.
Суммарные потери электроэнергии в основных элементах схемы выдачи мощности:
Δ WΣ1 = 5 · Δ Wбл.с.н + 4· Δ Wбл.в.н + Δ WАТ кВт·ч.
Δ WΣ1 = 5 · 16.68·106 + 4 · 16.04·106 + 3· 6.551·106 = 154.111 ·106 кВт·ч.
Вариант 2:
Потери энергии в блочном трансформаторе на стороне СН:
ТНЦ – 1250000 / 330;
Рх=715 кВт;
Рк=2200 кВт,
Тр.бл=50 ч для напряжения 330 кВ и Sт.ном > 80МВА
τ = Тг.уст=7400 ч, тогда
Δ Wбл.С.Н 330. = 715 · (8760 - 50) + 2200 · (1051,4/ 1250)2 · 7400= 16.68·106 кВт·ч.
Потери энергии в блочном трансформаторе на стороне ВН:
ОРЦ – 417000 / 750.
Рх=320 кВт,
Рк=540 кВт,
Тр.бл=50 ч для напряжения 750 кВ и Sт.ном > 80МВА,
τ= Тг.уст=7400 ч, тогда
Δ Wбл.В.Н = 3·320 · (8760 - 50) +3 ·540 · (1051,4/ 3 · 417)2 · 7400 = 16.04·106 кВт·ч.
Потери энергии в автотрансформаторе связи:
АОДЦТН – 333000 / 750 / 330
τ max= 4300 ч, τ min= 1350 ч;
Тр.АТ = 50 ч;
Рх = 217 кВт;
Рк = 580 кВт;
Δ WАТ = 6·217 · (8760 - 50) + 6·580 · (1121.16/2 · 3 · 333)2 · 4300+6·580·(455.979 / 2 · 3 · 333) 2 · ·1350 = 16.3·106 кВт·
Суммарные потери электроэнергии в основных элементах схемы выдачи мощности:
Δ WΣ2 = 4 · Δ Wбл.с.н + 5 · Δ Wбл.в.н + Δ WАТ кВт·ч.
Δ WΣ2 = 4 · 16.68·106 + 5 · 16.04·106 + 16.3·106 = 163.22·106 кВт·ч.
Вариант 3:
Потери энергии в блочном трансформаторе на стороне СН:
ТНЦ – 1250000 / 330;
Рх=715 кВт;
Рк=2200 кВт,
Тр.бл=50 ч для напряжения 330 кВ и Sт.ном > 80МВА
τ = Тг.уст=7400 ч, тогда
Δ Wбл.С.Н 330. = 715 · (8760 - 50) + 2200 · (1051,4/ 1250)2 · 7400= 16.68·106 кВт·ч.
Потери энергии в блочном трансформаторе на стороне ВН:
ОРЦ – 417000 / 750.
Рх=320 кВт,
Рк=540 кВт,
Тр.бл=50 ч для напряжения 750 кВ и Sт.ном > 80МВА,
τ= Тг.уст=7400 ч, тогда
Δ Wбл.В.Н = 3·320 · (8760 - 50) +3 ·540 · (1051,4/ 3 · 417)2 · 7400 = 16.04·106 кВт·ч.
Потери энергии в автотрансформаторе связи:
АОДЦТН – 333000 / 750 / 330
τ max= 4300 ч, τ min= 1350 ч;
Тр.АТ = 50 ч;
Рх = 217 кВт;
Рк = 580 кВт;
Δ WАТ = 6·217 · (8760 - 50) + 6·580 · (981.784/2 · 3 · 333)2 · 4300+6·580·(1647.97/ 2 · 3 · 333) 2 · ·1350 = 18.15·106 кВт·
Суммарные потери электроэнергии в основных элементах схемы выдачи мощности:
Δ WΣ3 = 6 · Δ Wбл.с.н + 3 · Δ Wбл.в.н + Δ WАТ кВт·ч.
Δ WΣ3 = 6 · 16.68·106 + 3 · 16.04·106 + 18.15·106 = 166.35·106 кВт·ч.
1.4 Определение капитальных, эксплуатационных и приведенных затрат
Экономическая целесообразность различных вариантов схемы выдачи мощности определяется минимальными приведенными затратами:
З = pн · К + И,
где К – капиталовложения на сооружение электроустановки, тыс. грн.;
рн – нормативный коэффициент экономической эффективности, равный 0.12;
И – годовые эксплуатационные издержки, тыс. грн/год:
И = (ра + ро) / 100% · К + β · Δ WΣ· 10-5 ,
где ра = 6,4%, ро = 2% - отчисления на амортизацию и обслуживание соответственно;
β = 15 коп / кВт · ч – стоимость 1 кВт·ч потерь электроэнергии;
Δ WΣ- cуммарные потери электроэнергии в основных элементах схемы выдачи мощности рассматриваемого варианта.
При расчете капиталовложений учитывается стоимость блочных трансформаторов, автотрансформаторов связи, резервных трансформаторов собственных нужд (РТСН) и ячеек выключателей РУ повышенного напряжения.
Примечание: 1. На этом этапе считаем, что каждое присоединение к ОРУ подключается через один выключатель
2. Подключение РТСН производится в количестве двух штук на одно присоединение, принимается по паре на два блока, а также осуществляется резервирование в количестве двух пар от соседней станции.
Расчет капиталовложений по каждому варианту целесообразно представить в виде таблицы
Таблица 1.
| Наименование оборудования | Стоимость, тыс. грн. | Кол-во, шт | Сумма, тыс. грн. |
| Вариант первый | |||
| Блочные трансформаторы: | |||
| ТНЦ – 1250000 / 330 | 4920 | 5 | 24600 |
| ОРЦ – 417000 / 750 | 2700 | 3*4 | 32400 |
| АТ связи: | |||
| АОДЦТН – 333000 / 750 / 330 | 2466 | 3+1 | 9864 |
| Резервные трансформаторы с.н.: | |||
| ТРДНС – 32000 / 330 | 780 | 10 | 7800 |
| Ячейки выключателей ОРУ: | |||
| ВНВ – 330А–63/4000У1 | 1022 | 9 | 9198 |
| ВНВ – 750А–63/4000 У1 | 1081 | 5 | 5405 |
| Итого Ксуммарное | 89267 | ||
| Вариант второй | |||
| Блочные трансформаторы: | |||
| ТНЦ – 1250000 / 330 | 4920 | 4 | 19680 |
| ОРЦ – 417000 / 750 | 2700 | 3*5 | 40500 |
| АТ связи: | |||
| АОДЦТН – 333000 / 750 / 330 | 2466 | 6 | 14796 |
| Резервные трансформаторы с.н.: | |||
| ТРДНС – 32000 / 330 | 780 | 10 | 7800 |
| Ячейки выключателей ОРУ: | |||
| ВНВ – 330А–63/4000У1 | 1022 | 8 | 8176 |
| ВНВ – 750А–63/4000 У1 | 1081 | 6 | 6486 |
| Итого Ксуммарное | 97438 | ||
| Вариант третий | |||
| Блочные трансформаторы: | |||
| ТНЦ – 1250000 / 330 | 4920 | 6 | 29520 |
| ОРЦ – 417000 / 750 | 2700 | 3*3 | 24300 |
| АТ связи: | |||
| АОДЦТН – 333000 / 750 / 330 | 2466 | 6+1 | 17262 |
| Резервные трансформаторы с.н.: | |||
| ТРДНС – 32000 / 330 | 780 | 10 | 7800 |
| Ячейки выключателей ОРУ: | |||
| ВНВ – 330А–63/4000У1 | 1022 | 10 | ?????????????? ???????????????? ?????????????? ??????????????????? ????????? ?????????????? ?????????????? ?? ??????? ??????? ???????????? ??????????? ?????? ???????????? ??????????? ??????? ???-1500
Актуально:
|