Изучение темы "Минеральные удобрения" в школьном курсе химии
Глава 1. Минеральные удобрения
1. Общая классификация удобрений
В клетках растений содержится более 70 химических элементов — практически все, имеющиеся в почве. Но для нормального роста, развития и плодоношения растений необходимы лишь 16 из них. Это элементы, поглощаемые растениями из воздуха и воды, — кислород, углерод и водород, и элементы, поглощаемые из почвы, среди которых различают макроэлементы — азот, фосфор, калий, кальций, магний, сера и микроэлементы — молибден, медь, цинк, марганец, железо, бор и кобальт.
Отдельным растениям для нормального роста и развития требуются и другие химические элементы. Так, например, сахарной свекле для получения высокого урожая корнеплодов нужен натрий. Он также ускоряет рост и улучшает развитие кормовой свеклы, ячменя, цикория и других культур. Положительное влияние на обмен веществ у некоторых растений оказывают кремний, алюминий, никель, кадмий, иод и др.
Наиболее полно потребности сельскохозяйственных культур в питательных элементах удовлетворяются при внесении в почву удобрений. Недаром их образно называют витаминами полей.
Удобрения содержат питательные элементы в связанном виде, т. е. в виде их соединений. Растения поглощают эти соединения из почвы, при этом осуществляется ионный обмен. Если, например, взять пробу почвы, насыщенной кальцием, и взболтать ее с раствором какой-либо соли, например хлоридом калия, то часть ионов К+ из раствора перейдет в соединение с почвой, а в раствор вместо К+ перейдет Са2+:
![]()
По химическому составу удобрения делятся на неорганические, или минеральные, органические, органоминеральные и бактериальные. Схема классификации удобрений представлена на с. 248.
Минеральные удобрения — вещества неорганического происхождения. По действующему, питательному элементу минеральные удобрения подразделяют на макроудобрения: азотные, фосфорные, калийные и микроудобрения (борные, молибденовые и т. д.).
Для изготовления минеральных удобрений используют природное сырье (фосфориты, селитры и др.), а также побочные продукты и отходы некоторых отраслей промышленности, например сульфат аммония — побочный продукт в коксохимии и производстве капрона. Минеральные удобрения получают в промышленности или механической обработкой неорганического сырья, например измельчением фосфоритов, или с помощью химических реакций. Выпускают твердые и жидкие минеральные удобрения.
Органические удобрения — вещества растительного и животного происхождения. В первую очередь, это навоз, торф, компосты, птичий помет, городские отходы и отбросы пищевых производств. Сюда относят и зеленые удобрения (растения люпин, бобы).

Внесенные в почву, эти удобрения под действием почвенных микроорганизмов разлагаются с образованием минеральных соединений азота, фосфора, калия и других питательных элементов.
Органоминеральные удобрения содержат органические и минеральные вещества. Их получают путем обработки аммиаком и фосфорной кислотой органических веществ (торфа, сланцев, бурого угля и др.) или путем смешивания навоза или торфа с фосфорными удобрениями.
Бактериальные удобрения — препараты (азотобактерин, нитрагин почвенный), содержащие культуру микроорганизмов, поглощающих органические вещества почвы и удобрений и превращающих их в минеральные.
По агрохимическому воздействию минеральные удобрения разделяют на прямые и косвенные.
Прямые удобрения предназначаются для непосредственного питания растений. Они содержат азот, фосфор, калий, магний, серу, железо и микроэлементы (В, Mo, Си, Zn). Подразделяются на простые и комплексные удобрения.
Простые удобрения содержат один элемент питания (азот, фосфор, калий, молибден и т. д.). Это
•азотные удобрения, которые различают по форме соединений азота (аммиачные, аммонийные, амидные и их сочетания);
•фосфорные удобрения, которые разделяют на растворимые в воде (двойной суперфосфат) и нерастворимые в ней (фосфоритная мука и др., используемые на кислых почвах);
•калийные удобрения, которые разделяют на концентрированные (КС1, К2С03 и др.) и сырые соли (сильвинит, каинит и др.);
•микроудобрения — вещества, содержащие микроэлементы (Н3В03, молибдат аммония и др.).
Комплексные удобрения содержат не менее двух питательных элементов. По характеру их производства они подразделяются на следующие группы:
• смешанные — получают механическим смешиванием различных готовых порошкообразных или гранулированных удобрений;
• сложносмешанные гранулированные удобрения — получают смешиванием порошкообразных готовых удобрений с введением в процессе смешивания жидких удобрений (жидкого аммиака, фосфорной кислоты, серной кислоты и др.);
• сложные удобрения — получают химической переработкой сырья в едином технологическом процессе.
Косвенные удобрения применяют для химического, физического, микробиологического воздействия на почву с целью улучшения условий использования удобрений. Например, для нейтрализации кислотности почв применяют молотые известняки, доломит, гашеную известь, для мелиорации солонцов — гипс, для кислования почв — гидросульфит натрия.
Питательную ценность удобрений условились выражать через массовую долю в них азота N, оксида фосфора (V) Р205 или оксида калия К20.
Массовую долю азота в удобрении рассчитывают так же, как и массовую долю элемента в каком-либо соединении с известной молекулярной формулой. Например, для определения массовой доли азота в азотном удобрении — натриевой селитре NaN03 находят сначала относительную молекулярную массу NaN03:
Mr(NaN03) = 23 + 14 + 48 = 85.
Далее относительную атомную массу азота Ar(N) = 14 делят на относительную молекулярную массу соединения и результат выражают в процентах.
При определении массовой доли Р205 и К20 в удобрении нужно учитывать, что самих соединений, отвечающих этим формулам, в удобрениях нет, поэтому расчет носит условный характер. Например, массовую долю Р205 в двойном суперфосфате Са(Н2Р04)2 рассчитывают следующим образом:
1) находят относительную молекулярную массу дигидрофосфата кальция
Мг(Са(Н2Р04)2) = 40 + 4 + 62 + 128 = 234
и относительную молекулярную массу оксида фосфора
(V) Мг(Р205) = 62 + 80 = 142;
2) зная относительную молекулярную массу оксида фосфора (V) и учитывая, что в молекулах обоих сравниваемых веществ содержится одинаковое число атомов фосфора (по два атома), делят второе число на первое, результат выражают в процентах. Итак,
u>(P205) = HI = 0,607, или 60,7% .
Рассмотрим теперь, как определяют в удобрениях массовую долю К20. Пусть требуется найти массовую долю К20, отвечающую чистому хлориду калия КС1. Для этого поступают следующим образом:
1) вычисляют относительную молекулярную массу хлорида калия
МДКС1) = 39 + 35,5 = 74,5
и относительную молекулярную массу оксида калия
Мг(К20) = 78 + 16 = 94;
2) зная относительную молекулярную массу оксида калия и учитывая, что в молекуле хлорида калия один атом калия, а в молекуле оксида калия — два атома, делят относительную молекулярную массу оксида калия на удвоенную относительную молекулярную массу хлорида калия, результат выражают в процентах. Азотные, калийные и фосфорные удобрения.
Азотные удобрения получают из аммиака и азотной кислоты на химических заводах. Наиболее типичные азотные удобрения представлены в таблице 11.
Аммиачную селитру NH4N03 — довольно концентрированное азотное удобрение (34,5% азота) получают по реакции между аммиаком и азотной кислотой:
![]()
Выпускают это удобрение в мелкокристаллическом виде или в форме гранул. Относится к лучшим азотным удобрениям и пригодна к применению на кислых и щелочных почвах. Дальнейшее совершенствование технологии производства аммиачной селитры должно идти в направлении улучшения ее физических свойств: чтобы селитра не слеживалась, важно повысить прочность гранул, которая позволяла бы смешивать аммиачную селитру механизированным способом с другими удобрениями.


Мочевина также является эффективной формой азотных удобрений. Она имеет высокое содержание азота (46%) и меньше слеживается по сравнению с аммиачной селитрой.
Жидкий аммиак — это высококонцентрированное удобрение (82% азота). В сельском хозяйстве, используют не посредственно жидкий аммиак, а также аммиакаты, получаемые при растворении в нем аммиачной селитры или смеси аммиачной и кальциевой селитры.

Названия и химический состав калийных удобрений представлены в таблице 1. Основным сырьем для их производства служит минерал сильвинит КС1 • NaCl, богатейшие залежи которого располагаются в Соликамске. Здесь на глубине от 100 до 300 м залегают миллиарды тонн сильвинита.
Каким способом отделить хлорид калия от хлорида натрия? Растворимость хлорида натрия с понижением температуры почти не изменяется, а растворимость хлорида калия резко уменьшается. Поэтому при охлаждении до комнатной температуры насыщенного при 100 °С раствора сильвинита в воде значительная часть хлорида калия выпадает в осадок. Кристаллы отделяют фильтрованием, а раствор используют для растворения следующей порции сильвинита. Этот способ осуществляют в промышленности.
Фосфорные удобрения (табл. 2) получают при переработке руд, содержащих фосфор (фосфориты и апатиты), из костей животных в небольшом количестве и отходов металлургического производства (шлаки).
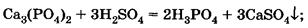
Простой суперфосфат Са(Н2Р04)2 + 2CaS04 получают при взаимодействии фосфоритной или апатитовой муки с серной кислотой по уравнению:
![]()
Простой суперфосфат применяют для питания всех культур. К недостаткам его относится наличие гипса CaS04, который является балластом и тем самым удорожает транспортировку удобрения от завода до поля. Поэтому особое значение он имеет для культур, нуждающихся, кроме фосфора, в гипсе (клевер и другие бобовые). Лучшей формой его применения является гранулированный простой суперфосфат.
Двойной суперфосфат Са(Н2Р04)2 отличается от простого тем, что не содержит гипса. Выпускается в виде порошка и гранул. Его производство осуществляется в две стадии:
![]()
б) жидкую часть отделяют от осадка (гипса и других
примесей) и обрабатывают ею новую порцию сырья:
![]()
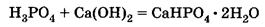
Преципитат СаНР04 • 2Н20 получают взаимодействием Н3Р04, полученной экстракционным способом, с известковым молоком или мелом:
![]()
Или
![]()
Отечественный агрохимик Д. Н. Прянишников предложил получать преципитат путем обработки фосфатного сырья азотной кислотой. При этом дополнительно образуется кальциевая селитра. Преципитат можно смешивать с любым удобрением. Он может применяться на всех почвах и под различные культуры.
В последнее время большой интерес вызывает возможность применения в качестве удобрения красного фосфора. Он неядовит, является самым концентрированным фосфорсодержащим продуктом (229% в пересчете на Р205). Его можно вносить в почву в запас на ряд лет. Агрохимические исследования показали, что из общего количества внесенного в почву красного фосфора за сезон в растение переходит 15—17%, остальное количество остается в почве и используется в последующие годы.
Почему фосфоритную муку целесообразно вносить в почву до посева?
Почему внесенная в почву фосфоритная мука действует в течение нескольких лет?
Почему некоторые фосфорные удобрения (фосфоритная мука, преципитат, красный фосфор), внесенные в почву, сохраняют свои питательные свойства в течение нескольких лет, а калийные удобрения нужно вносить в почву ежегодно?
Какие питательные элементы содержатся в комплексных удобрениях: фосфат калия, калийная селитра, дигидрофосфат аммония (аммофос)? Какова массовая доля каждого питательного элемента в этих удобрениях?
Комнатные растения можно поливать подкормкой из минеральных удобрений: в 1 л воды растворяют 2,5 г KN03, 2,5 г КН2Р04 и 10 г Ca(N03)2. Какова массовая доля (в %) каждого из компонентов в такой подкормке?
В образце суперфосфата массовая доля оксида фосфора (V) составляет 20%. Найдите массовую долю дигидрофосфата кальция в удобрении.
Водный раствор содержит 39,2 г фосфорной кислоты. Его нейтрализовали раствором, содержащим 37 г гидроксида кальция. Найдите массу полученного преципитата.
Глава 2. Изучение минеральных удобрений в школе
В школьном курсе химии минеральные удобрения рассматриваются подробно в IX классе. Как известно, состав удобрений, их свойства, применение и эффективность изучает специальная наука — агрохимия (агрономическая химия). Основы агрохимии в школе рассматриваются на факультативных занятиях «Химия в сельском хозяйстве. Хотелось бы заметить, что если в городских школах изучение минеральных удобрений может носить общепознавательный характер, то в сельских школах к рассмотрению этого вопроса следует подойти более подробно как в теоретическом так и в практическом плане. Изучение минеральных удобрений, на современном научном уровне окажет большую помощь школьникам для подготовки их к практической деятельности в сельском хозяйстве. В связи с этим и хочется поделиться отдельными мыслями по улучшению изучения минеральных удобрений в школе и их практическому применению.
Минеральные удобрения, как правило, содержат некоторое количество различных примесей (балласта). Это зависит от сырья и технологии получения удобрений. Поэтому называть удобрения, хотя бы для примера, химически чистыми веществами (как дано в учебнике неорганической химии для IX класса), не совсем правильно. Искусственное введение понятия об удобрениях как о химически чистых веществах нередко вводит учителей в заблуждение, и многие из них используют на уроках химически чистые реактивы вместо натуральных удобрений (хлористого калия, сульфата аммония, суперфосфата и др.). Вполне понятно, что внешний вид и проявление химических реакций у таких химически чистых веществ будут отличаться от удобрений.
В учебнике также приводится пример расчета процента действующего вещества в удобрениях по химическим формулам. На наш взгляд, этого делать нельзя, так как удобрения не химически чистые вещества, а смеси. При таких расчетах надо указывать количество примесей для того, чтобы получить точный результат. Приведенным в учебнике методом нельзя определить процент действующего вещества в фосфоритной муке, сильвините, калийной соли. Да и у других удобрений, полученных искусственно синтетическим путем (мочевина, аммиачная селитра), этот способ дает завышенные, не соответствующие действительности, показатели. В агрохимии и в практике сельского хозяйства, такие расчеты никогда не проводятся. Процент действующего вещества в каждом виде и партии удобрений определяется в заводских агрохимических лабораториях на основании количественного метода аналитической химии, а затем он указывается в накладных документах (сертификатах) и на этикетках, приложенных к удобрениям. В практике сельского хозяйства и при работе с удобрениями в школе процент действующего в них вещества надо брать из этих же документов или из справочников.
Вполне целесообразным можно считать определение процента действующего вещества а удобрениях аналитическим путем. Такая работа тесно увязывается с агрохимией и практикой сельского хозяйства, расширяет знания и умения школьников в нужном направлении, повышает их интерес к сельскому хозяйству.
Следовательно, устанавливая межпредметные связи агрохимии с неорганической химией в школе, следует исключить примеры и понятия по отношению к удобрениям, как химически чистым веществам, а также расчет действующего вещества по химическим формулам.
В агрохимии, как известно, сложились определенные названия удобрений. Они общеприняты в сельском хозяйстве. Однако в связи с изменением номенклатуры неорганических соединений многие удобрения в школе стали называть по-иному. Например, удобрение хлористый калин (КО) в школьном курсе неорганической химии называют хлоридом калия; аммиачную селитру (NH4NOs) — нитратом аммония; жидкое удобрение аммиачную воду или водный раствор аммиака (NH4OH) гидроксидом аммония. Нам думается, что при изучении удобрений следует указывать традиционные, общепринятые в агрохимии названия и новые, современные, принятые в школе.
Нормы внесения минеральных, или заводских, удобрений под сельскохозяйственные культуры выражаются в килограммах действующего вещества (д. в.) или в центнерах тука на 1 га (ц/га). Нередко при постановке полевых опытов учителя нечетко указывают нормы внесения удобрений. Например, говорят о внесении 4,0 ц/га фосфорных удобрений, но не называют конкретно каких. Если указанная норма вносится в виде простого суперфосфата, который содержит 19% фосфора, то будет внесено 76 кг/га д. в., если двойного суперфосфата (42%)—то 168 и если фосфоритной муки (23%)—то 92 кг/га д.в.
Как уже отмечалось, чаще всего норма внесения удобрений выражается в кг/га д. в. Вносят же удобрения в виде конкретных туков. Поэтому надо уметь норму внесения удобрений, выраженную в кг/га д. в., переводить в ц/га тука. Например нужно внести Nso, имеется мочевина с содержанием азота 42%. Соответственно мочевины следует внести (60: 42) 1,4 ц/га s.
На пришкольном участке и при проведении мелкоделяночных опытов с удобрениями приходится определять количество удобрений, вносимых на небольшие площади, исходя из установленных норм. Например, определили, что следует внести карбамида 1,4. ц/га. Требуется найти, сколько нужно внести его (в г) На делянку в 20 м2. Расчет проводят так. Вначале 1,4 ц переводят в граммы, затем определяют, сколько граммов удобрения приходится на 1 м2 в соответственно 20 м2
![]()
если установили внести 1,4 ц/га карбамида, то это будет соответствовать 1,4 кг на ТОО м2 (1,4 ц/га =140 кг/га ==1,4 кг/100 М2). Это закономерно для любой нормы. Абсолютная величина, выражающая норму внесения удобрения, остается без изменения, а изменяется только масштаб измерений— вместо ц/га становится кг/100 м2 (3,5 ц/га» =3,5 кг/100 и!, 5,0 ц/га=5,0 кг/100 м2 и т. д.).
Для проверки выполнения заданий учащихся рекомендуем вести запись расчета по такой форме. Например, на делянку полевого севооборота пришкольного участка намечено внести NeB, Размер делянки 50 м2. Имеются удобрения: карбамид с содержанием азота 42%, суперфосфат простой (д. в. 19%), хлористый калий (д. в. 56%). Требуется определить, .сколько граммов каждого удобрения надо внести на делянку.

Как видно, расчет очень прост. Учитель или ученик, рассуждая логически, проводят запись в тетради или на классной доске по определению количества удобрений на любую заданную площадь мелкоделяночного опыта. В этом мы убедились на своем длительном опыте работы со школьниками.
Глава 3. К методике проведения практической работы «Распознавание удобрений»
В круг экспериментально изучаемых удобрений необходимо включить: аммофос, аммиачную селитру, хлорид калия, фосфоритную муку, сульфат аммония, суперфосфат (простой, двойной), карбамид, сульфат калия. Включение в число удобрений для изучения в курсе химии карбамида — органического вещества — наряду с минеральными удобрениями вызвало необходимость дать более корректное название практической работе «Распознавание удобрений». Таким образом, для экспериментального изучения предлагаются простые и сложные удобрения.
Анализ многих комплексных удобрений входят смеси различных солей, содержащих, как правило, три питательных вещества. Поэтому их распознавание проводить не следует. Однако эти удобрения (особенно нитроаммофоску, жидкие комплексные удобрения — ЖКУ) целесообразно использовать для решения экспериментальных задач в конце изучения темы «Минеральные удобрения». Например:
1. Докажите на опытах, что нитроаммофоска содержит ионы;
![]()
2. Докажите, что в составе жидкого комплексного удобрения (ЖКУ)5 содержатся аммонийные группы.
Практическая работа, по распознаванию удобрений требует большой предварительной экспериментальной подготовки учащихся. При выполнении лабораторных опытов они знакомятся с азотными и фосфорными удобрениями (их внешним видом) растворимостью в воде), с качественными реакциями на соли аммония и нитраты. Сюда же необходимо включить краткое изучение карбамида (мочевины), который нашел широкое применение в сельском хозяйстве не только как ценное азотное удобрение, но и как добавка в корма животных. Учитель отмечает, что карбамид — органическое соединение, атомы в нем связаны ковалентной связью. Карбамид представляет собой белое кристаллическое вещество, хорошо растворимое в воде. При нагревании карбамид легко разлагается с выделением аммиака. Это свойство и можно использовать для распознавания данного удобрения.
В пробирку помещают 1—2 гранулы или немного порошка карбамида (покрывают им только дно) и слегка нагревают. К ее отверстию подносят влажную фенолфталеиновую бумажку. Предлагать учащимся полное уравнение реакции с образованием биурета не следует:

Кроме лабораторных опытов, предваряющих практическую работу, учащиеся, готовясь к занятию, должны повторить тему «Азот и фосфор», калийные» фосфорные и азотные удобрения. Желательно, чтобы они предварительно ознакомились с предлагаемой нами таблицей 1 «Распознавание удобрений», но не переносили ее в тетрадь. Главное, чтобы учащиеся поняли, что таблица позволяет распознавать минеральные удобрения, устанавливать ионы:

Рекомендуемая таблица определения удобрений отличается от той, которая помещена в стабильном учебнике для IX класса, не только отбором удобрений, но и методикой их установления, а также заменой дефицитных реактивов более доступными. Так, мы не используем нитрат серебра, который необходим для распознавания хлоридов и фосфатов. Это объясняется не только тем, что данная соль дефицитна и часто отсутствует в школе, но и тем, что суперфосфат может не давать желтый осадок, так как удобрение содержит различные примеси (в зависимости от сырья).

Для обнаружения фосфорных удобрений, можно использовать растворимую соль алюминия, которая приводит, к образованию нерастворимого фосфата алюминия AIPO4 белого цвета. Другие растворимые удобрения с солью алюминия осадков не дают.
Исключение нитрата серебра приводит к тому, что хлорид калия остается нераспознанным. Чтобы доказать, что данная соль является хлоридом, можно использовать ацетат свинца, который при взаимодействии с хлоридом дает белый осадок РЬСЬ. Однако при сравнительном анализе удобрений можно практически не прибегать к этой соли. Хлорид калия определяют методом исключения.
В таблицу не включена реакция удобрения с серной кислотой и медью по следующим соображениям:
а) для распознавания иона NCV представлено в таблице только одно нитратное соединение— нитрат аммония;
б) реакция небезвредна для учащихся, если не придерживаться определенных рекомендаций. Практика показывает: если в таблице указана реакция, учащиеся, как правило, проводят ее со всеми удобрениями. В связи с этим к указанной реакции следует прибегать только в необходимых случаях. Аммиачную селитру легко отличить от прочих удобрений, содержащих аммонийную группу, с помощью других реакций.
В таблицу введена новая графа: «Слабое нагревание твердого удобрения». Она дана последней не случайно. К нагреванию удобрений учащиеся прибегают в последнюю очередь, когда требуется распознать аммиачную селитру или карбамид. Другие, соли аммония должны быть уже определены с помощью химических реакций.
Карбамид и аммиачная селитра при нагревании ведут себя вначале аналогично: они плавятся. Но при дальнейшем нагревании карбамид разлагается с выделением аммиака, а нитрат аммония —с выделением оксида азота (I) NaO газа без запаха и цвета.
Известно, что большие трудности возникают при распознавании удобрений, содержащих ионы калия, по окраске пламени. Дело в том, что удобрения обычно содержат примеси. Например, в хлориде калия молено обнаружить хлорид натрия. Примеси скрадывают фиолетовую окраску пламени калия. Поэтому в таблице для распознавания удобрений этот показатель не указан.
Изучая таблицу для распознавания минеральных удобрений, учащееся могут заметить, что не растворяется в воде фосфоритная мука, мало растворяется суперфосфат, все остальные удобрения хорошо растворяются. К растворению удобрений прибегают тогда, когда речь идет об определения ионов С1~,
SO-, NH, НРО. Для этого 1—2 гранулы или немного порошка удобрения (покрыть им только дно пробирки) растворяют в 1 мл воды.
Распознавание удобрений учащиеся проводят только с малыми количествами.
Практическая работа может быть проведена по двум вариантам. Первый вариант: учащимся предлагаются два удобрения в пакетах (под номерами), и нужно определить их содержимое. Ученик начинает выполнять задание с процесса растворения удобрений. Это позволит установить фосфоритную, муку и суперфосфат (для распознавания удобрений по первому варианту нежелательно предлагать фосфоритную муку). Допустим, что в двух пакетах растворимые удобрения. Далее исследуется содержимое пакета № 1. Ученик переливает к нескольким каплям раствора удобрения 2— 3 капли раствора хлорида бария—выпадает белый осадок, Анион установлен. Согласно таблице, это удобрение может быть сульфатом аммония, аммофосом или сульфатом калия (суперфосфат устанавливается по растворимости). Проводя реакцию с раствором щелочи, учащийся обнаруживает аммиак. Отсюда он делает вывод: сульфат калия исключается, остается предположить, что в пакете находится сульфат аммония или аммофос. Чтобы установить удобрение, действуем раствором хлорида алюминия: исследуемое удобрение не дает реакции. Следовательно, это сульфат аммония.
Теперь исследуется, пакет № 2: раствор удобрения не дает осадков с хлоридом бария, хлоридом алюминия, не реагирует со щелочью (при нагревании) и не разлагается при слабом нагревании. Следовательно, исследуемое удобрение — хлорид калия.
Свои результаты опытов ученик может отразить в табл. 2 (отсутствие записи или прочерка показывает, что проводить соответствующий опыт нецелесообразно, так как удобрение уже определено).

Рассмотрим еще один пример, Удобрение из пакета № 1 не дает реакции с хлоридами бария и алюминия, при нагревании с раствором щелочи выделяется аммиак (обнаруживается фенолфталеиновой бумажкой), но аммиак не обнаруживается при нагревании твердого удобрения. Это нитрат аммония. Удобрение же из пакета № 2 не дает ни одной »из указанных реакций, но оно легко разлагается при нагревании с выделением аммиака. Это карбамид. Следует иметь в виду, что ряд аммонийных солей, также термически разлагается е выделением аммиака (дигидрофосфат аммония, сульфат аммония в др.), но, в отличие от карбамида, они дают реакции на соответствующие анноны.
С удобрением по первому варианту приходится иногда проводить до четырех реакций, поэтому в пакетах должно быть не менее 4-5 гранул удобрения. Если для распознавания требуется проводить меньше реакций, то соответственно уменьшается и число гранул удобрения.
По второму варианту каждому ученику предлагаются две экспериментальные задачи, в каждой из которых 3 известных удобрения. Приведем несколько примеров задач.
В трех пакетах под номерами даны следующие удобрения:
а) аммофос, аммиачная селитра, хлорид калия;
б) сульфат аммония, суперфосфат, сульфат калия;
в) карбамид, хлорид калия, фосфоритная мука.
Определите, какое удобрение находится в пакете с соответствующим номером».
Прежде чем приступить к решению задачи, ученик должен составить план ее решения. Например, для задачи «а» (см. табл. 3):

Необходимо обратить особое внимание учащихся на рациональное решение задач, исключающее проведение лишних реакций. При выставлении оценки следует это учитывать.
Проведением практической работы не завершается вопрос распознавания удобрений. На последующих уроках и практических занятиях необходимо продолжить закрепление знаний учащихся об удобрениях.
Глава 3. Методические разработки по теме: «Минеральные удобрения»
Цели:
· усвоение учащимися состава азотных, фосфорных, калийных удобрений и их биологической роли,
· развитие умений применять имеющиеся знания в новых ситуациях,
· закрепление знаний о единстве живого и неживого,
· развитие интереса к истории и новым фактам науки.
Оборудование и реактивы: набор удобрений, вода, растворы нитрата серебра и ацетата натрия, два образца в пробирках, держалка, стенгазета «Роль ученых в развитии агрохимии», задания к уроку.
ХОД УРОКА
I. Актуализация знаний
Учитель:
Орешек знаний тверд,
Но все же мы не привыкли отступать.
Нам расколоть его поможет
Желание «хочу больше знать!»
– С таким желанием начнем урок.
В наши дни потребительские отношение к природе, расходование ее ресурсов без осуществления мер по их восстановлению уходит в прошлое. Не каждый регион, не каждый район может гордиться плодородием своей почвы, но любое наземное природное сообщество, тем более человек, своим существованием обязаны почве. Почему?
Ответ учащихся: Почва является средой обитания единственных на Земле автотрофных организмов – растений. Только растения из неорганических веществ синтезируют органические вещества. Все остальные животные, люди – потребители органических веществ. Вот почему мы обязаны почве.
Учитель: Поэтому мы должны знать, как поддерживать и приумножить плодородие почвы.
Изучение вопросов питания растений и повышения их урожайности путем применения минеральных удобрений является предметом агрохимии. Тема нашего урока «Минеральные удобрения».
II.Домашнее задание: §23, вопросы 7-10, задание 3,4 (по стр.70 уч. химии), §47 (по биологии)
Чтобы успешно выполнить домашнее задание, на уроке мы должны знать классификацию удобрений, их состав и влияние удобрений на развитие растений.
Для решения этих задач, мы будем опираться на знания, полученные на предыдущих уроках химии и биологии.
III. Изучение новой темы
Учитель: Основоположниками агрохимии являются немецкий ученый Либих. Юстус, в России Д.И.Менделеев, позже идеи Менделеева развивал Д.Н.Прянишников. Называя фамилию Д.И.Менделеева, я не ошиблась. Да, это тот ученый, который 140 лет тому назад открыл периодический закон химических элементов.
Как же были решены вопросы повышения плодородия почвы Д.И. Менделеевым?
Сообщение учащегося: Будучи великим естествоиспытателем, Д.И. Менделеев придавал большое значение экспериментальным исследованиям. Чтобы знать, как реагируют растения на те или иные питательные вещества при корневом питании, какую дозу и как вносить минеральные удобрения, он впервые в России поставил полевые опыты на полях своего имения в подмосковном селе Боблово. Ученый сам составил программу опытов, осуществил их закладку, проводил наблюдения, делал выводы, впоследствии привлек к этой работе студентов сельхозакадемии, в числе которых был и будущий ученый К.А Тимирязев.
За 5-6 лет запущенное и отсталое имение превратилось в образцовое, его урожай в 3 раза превышали урожаи соседних мужиков. В результате Менделеев заложил основы научного земледелия.
Учитель: Менделеев разработал оптимальные соотношения употребления минеральных удобрений с содержанием каких питательных элементов?
Ответ учащихся: Азота, фосфора, калия.
Учитель:Какое влияние оказывает азот на растения?
Сообщение учащегося: При недостатке азота задерживается образование зеленой части растений – листьев, стеблей. Растения плохо растут, листья становятся бледно – зелеными и даже желтеют. Азот – обязательная часть белков и нуклеиновых кислот. При среднем урожае пшеницы за один сезон выносится до 75 кг азота с каждого гектара земли.
Учитель: Какие же азотные удобрения производят в Менделеевском заводе? У вас на столе находятся образцы удобрений. Используя таблицу 19 на стр. 67, напишите формулы данных азотных удобрений, дайте им названия (работа в группах). Азотные удобрения характеризуются содержанием азота.
Выполнение задачи №1 (см. задания к уроку; 1, 2 группы решают 1а; 3, 4 группы – 1б; 5, 6 группы – 1в. В каждой группе ответственные проверяют выполнение заданий и оценивают их).
Во время встречи главный агроном района М.Х. Авзалов сообщил, что самым лучшим азотным удобрением для почвы нашего региона является нитрат аммония. Решив задачу, мы в этом убедились.
Выполнение задачи №2
Огромное значение для человека играет фосфор. Суточная потребность организма человека в фосфоре составляет до 1,5 г, он входит в состав нуклеиновых кислот, АТФ, ферментов, костной, нервной ткани. Недостаток фосфора вызывает нарушение обмена веществ в организме, поэтому академик А. Е. Ферсман фосфор назвал «элементом жизни и мысли». Поставщиком фосфора в организм человека и животных являются растения. Как же влияет фосфор на рост и развитие растений?
Сообщение учащегося: Энергия солнечного света в процессе фотосинтеза накапливается в растениях в виде АТФ только при достаточном количестве фосфорных соединений в клетке. Усиленное снабжение растения фосфором позволяет получать более ранний урожай и высокого качества. При недостатке фосфора плодоношение уменьшается и созревание плодов сильно замедляется.
Учитель: Наличие природных соединений – фосфоритов дает возможность производить фосфорные удобрения в соседней Кировской области. В состав фосфорита входит нерастворимый в воде фосфат кальция. Чтобы привести его в усвояемое растениями состояние в производстве используются два метода:

Питательную ценность фосфорных удобрений условно выражают через массовую долю оксида фосфора (V). Например, содержание оксида фосфора (V) вычисляется в двойном суперфосфате соотношением относительной молекулярной массы оксида фосфора (V) на относительную молекулярную массу двойного суперфосфата:
![]()
Выполнение лабораторной работы (см. задание к уроку №3) и обсуждение результатов исследования.
В корневом питании растений важное значение имеют калийные удобрения.
Сообщение учащегося: Калий ускоряет процесс фотосинтеза и содействует накоплению углеводов: сахара в сахарной свекле, крахмала в картофеле, а у злаковых – пшеницы, ржи, риса – он способствует укреплению стебля и устраняет их полегание. Калий откладывается в стебле. Поэтому современная зерноуборочная техника и измельчает солому, и разбрасывает ее по всей площади поля, так и частично пополняет убыль калия.
Недостаток калия вызывает куполообразное закручивание листьев, на них появляются ржавые крапинки.
Выполнение задачи №4 (в каждой группе ответственные проверяют выполнение заданий и оценивают их.)
Учитель:Как получают калийные удобрения?
Сообщение учащегося: Источником получения калийных удобрений служат есте