Тарифная политика и ее влияние на комиссионный доход коммерческих банков
Актуальность темы дипломного исследования состоит в исследовании весовой доли сектора банковских услуг, как источников комиссионных доходов банка в общем операционном доходе банка, который включает также традиционный процентный, торговый, дивидендный и другие виды доходов.
Предмет исследований дипломной работы – структура комиссионных доходов коммерческих банков и тарификация основных банковских операций, обеспечивающих эти доходы.
Объект исследований дипломной работы – банковская система Украины, коммерческие банки АКБ «Приватбанк»(Днепропетровск) и АКБ «Финбанк» (Одесса).
Цель дипломной работы – определение сущности и структуры комиссионных доходов в коммерческих банках Украины, выявление основных факторов влияния характеристик банка и политики тарификации его банковских услуг на весовую долю комиссионных доходов в операционных доходах банка.
Задачи дипломного исследования:
- исследование сущности и классификации операций банковских услуг как источников комиссионных доходов банка;
- анализ влияния тарификации комиссий в операциях банковских услуг на роль комиссионных доходов в общих доходах коммерческих банков Украины;
- поиск перспективных направлений развития операций банковских услуг и увеличения комиссионных доходов коммерческих банков.
Метод исследований – исторический анализ и группирование.
Информационно-методологическая база исследований дипломного проекта — отчетные документы АКБ «Приватбанк» за 2001 - 2006 года, информационные материалы Национального банка Украины, Всеукраинской банковской лиги.
Практическая ценность полученных результатов дипломного исследования по основным факторам влияния характеристик коммерческого банка и его рыночной тарифной политики на уровень комиссионных доходов состоит в том, что в современных условиях конкуренции 12 основных банков Украины с остальными 145 банками уровень комиссионных доходов имеет стандартный уровень 27 – 30% в операционном доходе банка и поднимается до 35 – 38% в 12 системообразующих банках Украины, которые занимают более 50% банковского рынка и конкурентно формируют тарифную политику остальной банковской системы, создавая для себя определенные «монопольные ниши» высокодоходных комиссионных операций.
1 ЭКОНОМИЧЕСКАЯ СУЩНОСТЬ И КЛАССИФИКАЦИЯ ОПЕРАЦИЙ БАНКОВСКИХ УСЛУГ КАК ИСТОЧНИКОВ КОМИССИОННЫХ ДОХОДОВ БАНКА
1.1 Сущность операций банковских услуг клиентам банка
Банковские услуги - это операции банковских учреждений по предоставлению услуг клиентам, которые не связаны с привлечением дополнительных ресурсов. Основной формой оплаты банковских услуг являются комиссии. Банки предоставляют клиентам разнообразные услуги, их объединяют в определенные группы по соответствующим признакам и критериям. Наиболее распространенной является классификация банковских услуг, в которой выделяют такие группы услуг: лицензированные, нелицензированные, чистые, суррогатные, комиссионные, гонорарные, спрэдовые, балансовые, внебалансовые и т.п.(27).
К лицензированным банковским услугам относятся такие, предоставление которых требует лицензии Национального банка Украины. Это, в частности: кассовое обслуживание клиентов; инкассация и перевозка денежных ценностей; ведение счетов клиентов в национальной и иностранной валюте; привлечения депозитов юридических и физических лиц; выдача гарантий и поручительств; управления денежными средствами и ценными бумагами по доверенности клиентов и т.д..
Чистыми называются услуги, которые не несут любого риска для активов банка, кроме риска операционных ошибок. Например, осуществления расчетов за собственные средства клиентов, инкассовые услуги, инкассация денежной наличности, кассовое обслуживание и др.
Суррогатными называются услуги, конечный результат от осуществления которых может повлиять на активы банка, хотя на момент предоставления услуги такого влияния не происходит. Например, гарантии, подтвержденные аккредитивы, непокрытые чеки, аваль и акцепт векселей и т.п..
К чисто комиссионным относятся услуги, за предоставление которых банк взимает с клиента плату в виде комиссии, а сам не платит никаких комиссий при их предоставлении. Это хранение ценностей в собственном депозитарии, ведение реестров собственников ценных бумаг, размещение ценных бумаг, эмитированных клиентами по их поручению и т.п..
Гонорарными называются услуги, за предоставление которых банк получает от клиентов обусловленную заведомо плату. Это лизинг, траст, консультационные и некоторые другие услуги.
К спрэдовых относят услуги, чистые доходы от которых формируются как различие между комиссией, полученной от клиента, и комиссией, уплаченной при организации данной услуги. Примером такой услуги является выдача клиентам денежной наличности за счет купленной у других банков или в учреждении НБУ. Спрэд возникает лишь тогда, когда банк использует посторонних (третьих) лиц при предоставлении услуг клиентам.
К балансовым принадлежат услуги, которые учитываются на балансовых счетах (кредитные, инвестиционные, валютные операции). Эти услуги, в свою очередь, могут быть активными и пассивными. Услуги, которые не учитываются на балансовых счетах, относят к внебалансовым (гарантии, поручительства, консультации), их предоставление не сопровождается вложением или привлечением средств.
Рынок банковских услуг в Украине находится на стадии формирования. Наибольшим спросом пользуются услуги расчетно-кассового характера. Тем не менее, с развитием рыночного отношения появляется спрос и на такие услуги, как лизинг, факторинг, гарантии, трастовые услуги.
Быстро развивается спрос на услуги банков в сфере обращения ценных бумаг: купля-продажа ценных бумаг по заявкам клиентов, размещение эмиссии ценных бумаг и т.п..
1.2 Классификация основных статей доходов коммерческих банков
Доходы и затраты, которые признаны банком от осуществления банковских операций согласно закону Украины "О банках и банковской деятельности" (1) и от других операций, которые осуществляются соответственно законодательству Украины, с целью отображения их в финансовой отчетности рассматриваются как доходы и затраты, полученные в результате операционной, инвестиционной и финансовой деятельности банка.
Доходы и затраты банка отображаются в бухгалтерском учете по счетам классов 6 и 7 Плана счетов бухгалтерского учета банков Украины, утвержденного постановлением Правления Национального банка Украины от 17.06.2004 N 280 (10) (Приложение В).
Доходы и затраты признаются при таких условиях:
а) признание реальной задолженности по активам и обязательствам банка;
б) финансовый результат операции, связанной с предоставлением (получением) услуг, может быть точно определен.
Доходы и затраты, которые возникают в результате операций, определяются договором между ее участниками или другими документами, оформленными в соответствии с требованиями действующего законодательства Украины.
Доходы и затраты признаются по каждому виду деятельности (операционной, инвестиционной, финансовой) банка.
Критерии признания дохода и затрат применяются в отдельности к каждой операции банка. Каждый вид дохода и затрат отображается в бухгалтерском учете в отдельности.
В результате использования активов банка другими сторонами доходы признаются в виде процентов, роялти и дивидендов.
Проценты признаются в том отчетном периоде, к которому они принадлежат, и рассчитываются, исходя из базы их начисления и срока пользования соответствующими активами. Роялти признаются по принципу начисления в соответствии с экономическим содержанием соответствующего соглашения. Дивиденды признаются в периоде принятия решения про их выплату.
Условием признания процентов и роялти есть вероятность получения банком экономической выгоды, а дивидендов - достоверно оцененный доход.
В операциях по торговле финансовыми инструментами прибыли и убытки признаются при наличии таких условий:
- покупателю переданы риски и выгоды, связанные с правом собственности на активы;
- банк не осуществляет дальнейшее управление и контроль за реализованными активами;
- сумма дохода может быть достоверно определена;
- есть уверенность, что в результате операции состоится увеличение экономических выгод банка;
- затраты, связанные с этой операцией, могут быть достоверно определены.
Не признаются затратами и не включаются в отчет о финансовых результатах:
- платежи по договорам комиссии, агентским соглашениям и другим аналогичным договорам в пользу комитента, принципала и т.п.;
- предыдущая (авансовая) оплата товаров, работ, услуг;
- погашение полученных кредитов, возвращение депозитов и т.п.;
- затраты, которые отображаются уменьшением собственного капитала соответственно действующему законодательству Украины.
В результате операционной деятельности в банке реализуются следующие виды доходов и затрат (13):
- процентные доходы и затраты;
- комиссионные доходы и затраты;
- прибыли (убытки) от торговых операций;
- доход в виде дивидендов;
- затраты на формирование специальных резервов банка;
- доходы от возвращения прежде списанных активов;
- другие операционные доходы и затраты;
- общие административные затраты;
- налог на прибыль;
- непредвиденные доходы и затраты.
Процентные доходы и затраты – это операционные доходы и затраты, полученные (уплаченные) банком за использование денежных средств, их эквивалентов или средств, которые привлечены банком, суммы которых вычисляются пропорционально времени с применением эффективной ставки процента.
Комиссионные доходы и затраты – это операционные доходы и затраты по предоставленным (полученным) услугам, сумма которых вычисляется пропорционально сумме актива или обязательства, или является фиксированной.
Прибыли (убытки) от торговых операций – это результат (прибыль или убыток) от операций по купле-продаже разных финансовых инструментов, в том числе по операциям с ценными бумагами, по операциям с иностранной валютой и банковскими металлами, в ходе реализации которых банк признает прибыли и убытки:
- от реализации финансовых инвестиций;
- от изменений в оценке (переоценке) инвестиций к справедливой стоимости;
- от результата переоценки активов и обязательств в иностранной валюте и банковских металлах в случае изменения официального курса гривны к иностранным валютам (банковским металлам).
Доход в виде дивидендов – это доход, который возникает в результате использования банком ценных бумаг с нефиксированной прибылью.
Затраты на формирование специальных резервов банка - это затраты на покрытие возможных убытков от уменьшения полезности активов банка и списания безнадежных активов.
Доходы от возвращения прежде списанных активов – это средства, которые поступили для погашения задолженности, которая было признана банком безнадежной относительно получения.
Другие операционные доходы и затраты – это доходы и затраты от операций, которые не связаны с инвестиционной и финансовой деятельностью, а также те, что не включены в вышеупомянутые группы операционных доходов и затрат, в частности:
- доходы (затраты) от оперативного лизинга (аренды);
- затраты на услуги аудита;
- затраты на инкассацию;
- неустойки (штрафы, пени), которые получены (уплачены) по банковским операциям, другое.
Общие административные затраты – это операционные затраты, связанные с обеспечением деятельности банков. К ним принадлежат затраты на содержание персонала (заработная плата, затраты на социальное обеспечение, обязательные начисления, страхование, дополнительные выплаты, премии, обучение и т.п.); амортизация необоротных активов; затраты на содержание и эксплуатацию основных средств и нематериальных активов (ремонт, страхование), другие эксплуатационные затраты (коммунальные услуги, охрана и т.п.); гонорары за профессиональные услуги (юридические, медицинские и т.п.); затраты на связь (почтовые, телефонные, факс и т.п.); уплата налогов и других обязательных платежей, кроме налога на прибыль и прочие затраты, направленные на обслуживание и управление банком.
Налог на прибыль – это операционные затраты банка, связанные с уплатой налога соответственно действующему законодательству Украины и с учетом требований международных стандартов бухгалтерского учета и национальных положений (стандартов) бухгалтерского учета относительно признания отсроченных налоговых обязательств и налоговых активов.
Непредвиденные доходы (затраты) возникают в результате чрезвычайных событий, имеют одноразовый характер, не повторяются по сути и признаются по фактам событий. К ним принадлежат потери от стихийного бедствия, пожаров, техногенных аварий и т.п.; суммы страхового возмещения и покрытие потерь от чрезвычайных ситуаций.
По результатам инвестиционной деятельности банк признает:
- доходы (затраты) по операциям увеличения (уменьшения) инвестиций в ассоциированные компании;
- доходы (затраты) по операциям увеличения (уменьшения) инвестиций в дочерние учреждения;
- доходы (затраты) от реализации (приобретения) основных средств и нематериальных активов и т.п..
По результатам операций, связанных с финансовой деятельностью, банк признает:
- доходы (затраты) по операциям с ценными бумагами собственного долга;
- доходы (затраты) по субординированному долгу;
- дивиденды, которые уплачены на протяжении отчетного периода;
- доходы, которые возникают в результате выпуска инструментов собственного капитала и т.п..
Признанные банком доходы и затраты группируются по их характеру по соответствующим статьям в финансовой отчетности банка "Отчет о финансовых результатах" (11).
1.3 Сущность и классификация видов комиссионных доходов банка
Комиссионные доходы (затраты) - это доходы (затраты) по всем услугам, предоставленным (полученным) контрагентами, кроме комиссионных, которые подобны по природе процентам.
Соответственно МСБО 18 "Доход" (13) в зависимости от цели оценки гонорара за финансовые услуги и учета связанного с ним финансового инструмента признаются такие комиссии:
1) комиссии, которые являются неотъемлемой частью финансового инструмента (например, комиссии за осуществление оценки финансового состояния заемщика, оценки гарантий, залогов, за обсуждение условий кредита, за подготовку и обработку документов);
2) комиссии, полученные (уплаченные) на протяжении периода предоставления услуг (например, за обслуживание кредита);
3) комиссии, полученные (уплаченные) после выполнения определенных действий (например, за услуги банку - координатору консорциума).
К категории комиссионных принадлежат:
1. Комиссионные доходы за гарантии размещения займов от лица других кредиторов и по операциям с ценными бумагами.
2. Комиссионные доходы (затраты) от операций расчетно-кассового обслуживания, обслуживания кредитных (депозитных) счетов, за сохранение ценностей и осуществление операций с ценными бумагами.
3. Комиссионные доходы за проведение операций с иностранной валютой и за продажу или куплю монет и банковских металлов для третьих сторон.
4. Другие комиссионные доходы (затраты) по операциям, которые определяются Законом "О банках и банковской деятельности".
Комиссии, полученные (уплаченные) банком, делятся также на комиссионные: за одноразовые услуги; за услуги по обязательным результатам; за беспрерывные услуги; за услуги, которые предоставляются поэтапно.
К комиссиям за одноразовые услуги принадлежат комиссии за услуги валютного обмена. К комиссиям за услуги по обязательным результатам принадлежат: комиссии за услуги, которые предоставляются на протяжении определенного периода и считаются завершенными только после его окончания, при условии достижения предусмотренного соглашением результата (например, некоторые консультационные услуги); комиссии за услуги по заведомо определенным результатам, который не может быть получен, пока услуга не предоставлена полностью.
К комиссиям за беспрерывные услуги принадлежат арендные платежи, комиссии за расчетно-кассовое обслуживание (кроме уплаты процентов по остаткам средств на счетах контрагентов) и прочие.
К комиссиям за услуги, которые предоставляются поэтапно принадлежат, например, комиссии за предоставление консультаций, которые в соответствии с годовыми или бессрочными соглашениями предоставляются поэтапно.
Комиссии за предоставленные (полученные) услуги банка в зависимости от цели их оценки и основы учета связанного с ними финансового инструмента делятся на (13):
а) комиссии, которая являются неотъемлемой частью дохода (затрат) финансового инструмента. Эти комиссии признаются в составе первоначальной стоимости финансового инструмента и влияют на определение сумм дисконта и премии по этим финансовым инструментом. К ним принадлежат такие комиссии:
- комиссии за инициирование кредита, которые получены (уплачены) банком и связаны с созданием или приобретением финансового инструмента, который не учитывается в торговом портфеле с признанием переоценки через прибыли/убытки;
- комиссии, которые получены (уплачены) банком по обязательствам кредитования (резервирования кредитной линии) во время инициирования или приобретения кредита;
- комиссии, которые получены (уплачены) банком при выпуске долговых обязательств, которые учитываются по амортизированной себестоимости.
Комиссии за инициирование кредита, которые получены (уплачены) банком и связаны с созданием или приобретением финансового инструмента, который не учитывается в торговом портфеле с признанием переоценки через прибыли/убытки, включают:
- комиссии за оценку финансового состояния заемщика;
- комиссии за оценку гарантий, залогов;
- комиссии за обсуждение условий инструмента;
- комиссии за подготовку, обработку документов и завершение операции и т.п..
б) комиссии, которые получены (уплачены) банком во время предоставления услуг, признаются доходами (затратами). К ним принадлежат:
- комиссии за расчетно-кассовое обслуживание клиентов;
- комиссии за обслуживание кредитной задолженности;
- комиссии за резервирование кредитной линии, которые рассчитываются на пропорциональной времени основе на протяжении срока действия обязательства;
- комиссии за управление инвестицией и т.п.;
в) комиссии, которые получены (уплачены) после выполнения определенных действий, признаются как доход (затраты) после завершения определенной операции. К ним принадлежат:
- комиссии за распределение акций (частиц) клиентов;
- комиссии за размещение ценных бумаг по операциям андеррайтинга;
- комиссии по операциям на валютном рынке и рынке банковских металлов для клиентов;
- комиссии за синдицирование кредита;
- комиссии за доверительное обслуживание клиентов и т.п..
2 АНАЛИЗ ВЛИЯНИЯ ТАРИФИКАЦИИ КОМИССИЙ В ОПЕРАЦИЯХ БАНКОВСКИХ УСЛУГ НА РОЛЬ КОМИССИОННЫХ ДОХОДОВ В ОБЩИХ ДОХОДАХ КОММЕРЧЕСКИХ БАНКОВ УКРАИНЫ
2.1 Динамика комиссионных доходов в банковской системе
Украины в 2003 – 2006 годах
По состоянию на 1 июля 2006 года лицензию Национального банка на осуществление банковских операций в Украине имели 165 банков, в том числе: 131 банк (79,3 % от общего количества действующих банков) – акционерные общества (из них: 89 банков (53,9 %) – открытые акционерные общества, 41 банки (24,8 %) – закрытые акционерные общества), 34 банка (20,6 %) – общества с ограниченной ответственностью (Приложение А) (40).
Общая характеристика финансовых показателей банковской системы Украины может быть представлена следующими группами:
а) Капитал (балансовый) банков имеет такую структуру. Уставной капитал составляет 63,7 % от капитала, эмиссионные разницы 2,5 %, общие резервы, резервный фонд и прочие фонды банков – 15,4 %, результат прошлых лет – 2,5 %, результаты отчетного года, которые ожидают утверждения – 0,3 %, результат текущего года – 7,2 %, результат переоценки основных средств, нематериальных активов и инвестиций в ассоциированные и дочерние компании – 8,4 %.
б) Обязательства банков имеют такую структуру. Средства Национального банка Украины составляют 0,5 % от общей суммы обязательств; коррсчета других банков – 3,0 %; срочные вклады (депозиты) других банков и кредиты, которые полученные от других банков – 17,1 %; средства юридических лиц - субъектов хозяйствования – 29,0 %; средства физических лиц – 37,2 %; средства небанковских финансовых учреждений – 2,7 %; средства бюджета и внебюджетных фондов – 1,2 %; кредиты, которые получены от международных и других финансовых организаций – 1,9 %, ценные бумаги собственного долга – 1,3 %; субординированный долг – 1,7 %; другие обязательства – 4,4 %.
в)Банки имеют такую структуру общих активов. Высоколиквидные акти-вы составляют – 13,1 % от суммы общих активов, кредитные операции – 75,1 %, вложения в ценные бумаги – 5,0 %, дебиторская задолженность – 0,8 %, основные средства и нематериальные активы – 4,7 %, начисленные доходы к получению – 0,9 %, другие активы – 0,4 % от суммы общих активов.
г) За І полугодие 2006 года прибыль банков составил 2147,7 млн. грн., что в 2,4 раза больше, чем за соответствующий период 2005 года ( 892,6 млн. грн.).
Сравнительно с соответствующим периодом минувшего года доходы банков увеличились на 6201,6 млн. грн. или на 52,4 % и составили 18031,0 млн. грн., в т.ч. процентные доходы составляли 13011,3 млн. грн. (или 72,2 % от общих доходов), комиссионные доходы – 3490,3 млн. грн. (19,4 %), результат от торговых операций – 997,2 млн. грн. (5,5 %), другие операционные доходы –448,5 млн. грн. (2,5 %), другие доходы – 51,2 млн. грн. (0,3 %), возврат списанных активов – 32,5 млн. грн.(0,2 %).
Сравнительно с соответствующим периодом минувшего года затраты банков увеличились на 4946,5 млн. грн. или на 45,2 % и составили 15883,3 млн. грн., в т.ч. процентные затраты составляли 7358,7 млн. грн. (или 46,3 % от общих затрат), комиссионные затраты – 320,4 млн. грн. (2,0 %), другие операционные затраты –776,0 млн. грн. (4,9 %), общие административные затраты – 5324,5 млн. грн. (33,5 %), отчисления в резервы – 1702,5 млн. грн. (10,7 %), налог на прибыль – 401,1 млн. грн. (2,5 %).
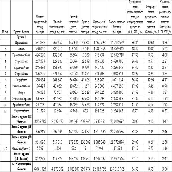
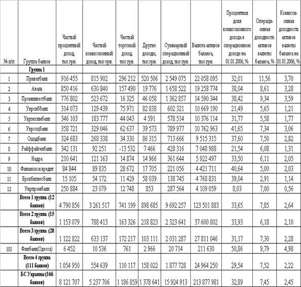
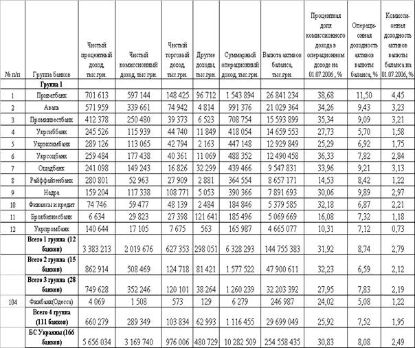
В соответствии с алгоритмом Национального банка Украины банковская система разбита на 4 рейтинговые группы по уровню валюты баланса банка (40) (таблицы 2.1-2.3): 1 группа – 12 банков (системообразующие банки); 2 гру-ппа – 15 банков (большие банки); 3 группа – 28 банков(средние банки); 4 груп-па – 111 банков (малые банки). В таблицах 2.1 – 2.3 представлена структура до-ходов в указанных группах по состоянию на 01.01.2005, 01.01.2006, 01.07.2006.
Таблица 2.1 – Структура доходов и характеристики комиссионных доходов в банковской системе Украины по состоянию на 01.01.2005

Таблица 2.2 – Структура доходов и характеристики комиссионных доходов в банковской системе Украины по состоянию на 01.01.2006

Таблица 2.3 – Структура доходов и характеристики комиссионных доходов в банковской системе Украины по состоянию на 01.07.2006

На рисунках 2.1 – 2.2 представлены сравнительные результаты расчета процентной доли комиссионного дохода в суммарном операционном доходе для основных групп банков Украины, а также результаты расчета комиссионной доходности активов балансов для основных групп банков Украины (данные расчетов представлены в таблицах 2.1 –2.3) по состоянию на 01.01.2005, 01.01.2006, 01.07.2006. В группе 1 - системообразующих банков представлены результаты по всем 12 банкам, в 4 группе показаны результаты по одному АКБ «Финбанк» (Одесса), который занимает 104 –116 рейтинговые места по объему валюты баланса.

Рисунок 2.1 - Процентная доля комиссионного дохода в суммарном
операционном доходе для основных групп банков Украины по состоянию на 01.10.2005, 01.01.2006, 01.07.2006

Рисунок 2.2 - Комиссионная доходность активов для основных групп банков Украины по состоянию на 01.10.2005, 01.01.2006, 01.07.2006
Анализ результатов, представленных в таблицах 2.1-2.3, а также на рисунках 2.1-2.2, показывает наличие в банковской системе Украины следующих тенденций в структурном месте комиссионных доходов в суммарном операционном доходе банков:
а) Процентная структурная доля комиссионных доходов в 4 группах банков имеет 2 тенденции – снижение доли по мере уменьшения валюты активов баланса банка (фактор размерности банка) и снижение доли по мере развития операций в банковской системе по времени (временной фактор):
- 38,0%(01.01.2005) - 32,0 % (01.07.2006) – для 1 группы;
- 34,0%(01.01.2005) - 32,0 % (01.07.2006) – для 2 группы;
- 32,0%(01.01.2005) - 27,0 % (01.07.2006) – для 3 группы;
- 30,0%(01.01.2005) - 26,0 % (01.07.2006) – для 4 группы;
б) Комиссионная доходность активов валюты баланса в 4 группах банков также имеет 2 тенденции – снижение уровня доходности по мере уменьшения валюты активов баланса банка (фактор размерности банка) и снижение уровня доходности по мере развития операций в банковской системе по времени (временной фактор):
- 3,5%(01.01.2005) - 2,7 % (01.07.2006) – для 1 группы;
- 2,6%(01.01.2005) - 2,1 % (01.07.2006) – для 2 группы;
- 2,4%(01.01.2005) - 2,2 % (01.07.2006) – для 3 группы;
- 2,5%(01.01.2005) - 1,9 % (01.07.2006) – для 4 группы;
На рисунках 2.3 – 2.4 представлены индивидуальные структуры и динамика процентных долей комиссионных доходов в банках 1 группы по состоянию на 01.01.2005, 01.01.2006, 01.07.2006 года, которые показывают отсутствие единого стратегического подхода по формированию комиссионных доходов даже в малой группе 12 системообразующих банков. Так, анализ графиков рисунка 2.1 показывает, что у первых трех банков АКБ«Приватбанк», АКБ «Аваль», АКБ «Проминвестбанк»доля комиссионных доходов в операционном доходе банка (35-38%), а 12 банк 1 группы ( АКБ «Укрпромбанк») имеет структурную долю комиссионных доходов в 4 раза ниже (9-10%).




Рисунок 2.3 – Структура доходов в банках 1 группы и банке 4 группы
на 01.01.2005

![]() |
Рисунок 2.4 – Структура доходов в банках 1 группы и банке 4 группына 01.07.2006
2.2 Динамика и структура комиссионных доходов в коммерческом банке АКБ “Приватбанк”
Закрытое акционерное общество Коммерческий банк “Приватбанк” (ЗАО КБ “Приватбанк”), зарегистрировано в Национальном банке Украины 19 марта 1992 года, регистрационный номер — 92 (39).
Приватбанк является лидером среди украинских коммерческих банков по количеству клиентов: его услугами пользуются свыше 16% населения Украины.
По состоянию на 31.12.2002 года в банке работало 15 826 сотрудников в сравнении с 10 342 сотрудниками состоянием на 31.12.2001 года. На сегодняшний день в банке работает свыше 28 тысяч сотрудников, из них 3 650 - в головном офисе банка.
Технологическая инфраструктура АКБ «Приватбанк» по состоянию на 01.09.2006 года характеризуется как (39):
- количество филиалов и отделений по Украине – 2 224;
- количество автоматов самообслуживания (банкоматов) по
Украине – 3 234;
- количество платежных POS-терминалов в сети торговли и услуг
Украины – 18 695;
- количество эмитированных пластиковых карточек для безналичных
расчетов и работы с автоматами самообслуживания – 11 119 398;
- количество счетов юридических лиц – 233 599;
- количество счетов физических лиц-предпринимателей – 192 029.
В таблицах Б.1 – Б.2 Приложения Б приведены отчетные балансы и отчеты о финансовых результатах АКБ “Приватбанк” за 2003 - 2006 года (38-40).
Состоянием на 01.01.2006 года (по результатам 2005 года) АКБ „Приватбанк” (40) является лидером и занимает следующие рейтинговые места в банковской системе Украины :
- Объем валюты активов баланса – 21 664,360 млн.грн.( 1 место);
- Объем собственного капитала – 2 307,466 млн.грн.( 1 место);
- Объем уставного капитала – 189,228 млн.евро( 2 место);
- Объем кредитно-инвестиционного портфеля
– 16 763,230 млн.грн.( 1 место);
- Объем текущих и срочных депозитов физических лиц
– 9 966,027 млн.грн.( 1 место);
- Объем текущих и срочных депозитов юридических лиц
– 4 016,333 млн.грн.( 3 место);
- Объем балансовой прибыли – 472,042 млн.грн.( 1 место);
- Прибыльность уставного капитала – 41,774 % ( 11 место);
- Прибыльность активов баланса – 2,179 % ( 6 место);
На рисунке 2.5 представлены данные по поквартальной динамике абсолютных величин комиссионных доходов и комиссионных затрат в АКБ «Приватбанк» в 2003 –2006 годах.. На рисунках 2.6 – 2.9 представлена структура комиссионных доходов АКБ «Приватбанк» в 2003 –2006 годах.
Рисунок 2.5 – Поквартальная динамика комиссионных доходов в АКБ
«Приватбанк» в 2003 –206 годах
![]() |
Рисунок 2.6 – Постатейная структура комиссионных доходов в АКБ
«Приватбанк» в 2003 году

Рисунок 2.7 – Постатейная структура комиссионных доходов в АКБ
«Приватбанк» в 2004 году
![]() |
Рисунок 2.8 – Постатейная структура комиссионных доходов в АКБ
«Приватбанк» в 2005 году

Рисунок 2.9 – Постатейная структура комиссионных доходов в АКБ
«Приватбанк» в 2006 году
Как оказывает совместный анализ графиков, приведенных на рисунках 2.5 – 2.9 динамика и структура комиссионных доходов АКБ «Приватбанк» в 2003 – 2006 годах характеризуется следующими показателями:
а) Устойчивым ростом объемов комиссионных доходов с уровня 483,8 млн.грн. в 2003 году до:
- 606,1 млн.грн. в 2004 году(прирост составляет +25,3%);
- 870,9 млн.грн. в 2005 году (прирост составляет + 43,7%);
- 1 270,6 млн.грн. в 2006 году по данным прогноза за полугодие (прирост составляет +45,8%);
б) Повышением структурной доли комиссионных доходов за расчетно-кассовое обслуживание клиентов и банков с уровня 27,45% в 2003 году до:
- 66,0 % в 2004 году;
- 77,1 % в 2005 году;
- 77,6 % в 2006 году по данным прогноза за полугодие;
в) Понижением структурной доли комиссионных доходов за операции на валютных рынках для клиентов с уровня 19,75% в 2003 году до:
- 7,9 % в 2004 году;
- 5,42 % в 2005 году;
- 3,37 % в 2006 году по данным прогноза за полугодие;
г) Повышением структурной доли комиссионных доходов за операции кредитного обслуживания клиентов с уровня 2,71% в 2003 году до:
- 12,2 % в 2004 году;
- 4,4 % в 2005 году;
- 10,63 % в 2006 году по данным прогноза за полугодие;
д) Повышением структурной доли комиссионных доходов за операции с ценными бумагами клиентов с уровня 2,65% в 2003 году до:
- 5,44 % в 2004 году;
- 12,42 % в 2005 году;
- 6,03 % в 2006 году по данным прогноза за полугодие;
Таким образом, суммарная процентная доля указанных 4-х секторов комиссионных доходов АКБ «Приватбанк» в 2005 – 2006 годах составила 97,6-99,34 % и определяет стратегическое направление развития комиссионных доходов в банке.
Для сравнительного анализа на рисунке 2.10 приведена постатейная структура комиссионных доходов в АКБ «Аваль» в 2006 году.

Рисунок 2.10 – Постатейная структура комиссионных доходов в АКБ
«Аваль» в 2006 году
Как показывает анализ рисунка 2.10, в АКБ «Аваль» 95,25% комиссионных доходов реализуется только в двух секторах банковских услуг – расчетнокассове обслуживание и операции для клиентов на валютном рынке, т.е. характерные для АКБ «Приватбанк» сектора кредитного обслуживания и операций с ценными бумагами клиентов в комиссионных доходах АКБ «Аваль» практически отсутствуют.
2.3 Сравнительная характеристика тарификации основныхкомиссий в банковских операциях в АКБ “Приватбанк” и АКБ “Финбанк”(Одесса)
Состоянием на 01.01.2006 года (по результатам 2005 года) АКБ „Финбанк” (Одесса) входит в 4 группу малых банков Украины (111 банков) и занимает 105 - 110 рейтинговые места в банковской системе Украины (165 банков) (40):
- Объем валюты активов баланса – 211,630 млн.грн.( 105 место);
- Объем балансовой прибыли – 3,30 млн.грн.( 72 место);
- Прибыльность уставного капитала – 6,87 % ;
- Прибыльность активов баланса – 1,56 %;
Таким образом, сравниваемые АКБ “Приватбанк» и АКБ «Финбанк» по масштабам валюты баланса отличаются в 100 раз – объем валюты баланса АКБ «Финбанк» составляет 0,97% от объема валюты баланса АКБ «Приватбанк, объем балансовой прибыли АКБ «Финбанк» составляет 0,7% от объема балан-совой прибыли АКБ «Приватбанк.
В соответствии с данными в таблиц 2.1 – 2.3, относительное масштабирование показателей комиссионных доходов через нормирование на объем валюты баланса показало, что:
а) Относительный уровень комиссионной доходности валюты баланса в АКБ «Приватбанк» в 2006 году составил 4,45%, относительная доля комисси-онных доходов в операционных доходах составила 38,68%;
б) Относительный уровень комиссионной доходности валюты баланса в АКБ «Финбанк» в 2006 году составил 1,22%, относительная доля комиссионных доходов в операционных доходах составила 24,02%;
Рассмотрим влияние тарифов комиссионных операций в этих сравниваемых банках на структуру формирования относительной доли комиссионных доходов в операционных доходах банка и комиссионную доходность активов, представленных в таблицах 2.4 – 2.21.
Таблица 2.4 – Тарифы комиссионных вознаграждений в АКБ «Приватбанк» за операции расчетно-касового обслуживания юрлиц и предпринимателей
N п/п | Услуга | Тариф |
| 1 | Открытие текущего счета в национальной валюте (2600, 2604, 2650): | |
| - юридическим лицам, открывающим корпоративную пластиковую карту | 49 | |
| - в остальных случаях | 99 | |
| - предпринимателям | 29 | |
| 2 | Плата за открытие счета для формирования уставного фонда | 0 |
| 3 | Открытие первого валютного счета | 119 |
| 4 | Открытие последующего валютного счета | 10,0 за каждый |
| 5 | Проведение платежей в системе банка | 0,00 грн. |
| 6 | Проведение безналичного платежа на счета в других банках (фин.учреждениях) с использованием СЭП НБУ в течение операционного дня (в т.ч. со ссудного счета), сумма дебетования: | |
| до 50 грн. | 0,36 | |
| св.50 до 500 | 1,48 | |
| св.500 до 1000 | 2,96 | |
| св.1000 до 10000 | 5,92 | |
| св.10000 до 100000 | 14,87 | |
| св.100000 | 29,70 | |
| 6.1 | Проведение безналичного платежа на счета в других банках (фин.учреждениях) с использованием СЭП НБУ в течение операционного дня (в т.ч. со ссудного счета), сумма дебетования: | |
| до 50 грн. | 0,50 | |
| св. 50 до 1000 | 1,50 | |
| св. 1000 до 10000 | 5,00 | |
| св. 10000 | 10,00 | |
| Разрешить использование п. 6 или п. 6.1 по усмотрению руководителя РП | ||
| 7 | Проведение расчетов клиентов по текущему счету в национальной (иностранной) валюте (2600, 2604, 2605, 2650, 2655) или счету в банковских металлах (без использования систем дистанционного обслуживания) | 10,00 грн. ежемесячно |
|
Подобные работы:
Актуально:
|


