Сущность эластичности спроса в условиях рынка
Эластичность – одна из самых важных категорий экономической науки. Впервые она была введена в экономическую теорию А. Маршаллом и представляет собой выраженное в процентах изменение одной переменной в ответ на выраженное в процентах изменение другой переменной. Понятие эластичности позволяет выяснить, как происходит адаптация рынка к изменениям его факторов. Обычно предполагается, что фирма, повышая цену на свою продукцию, имеет возможность увеличить выручку от ее продажи. Однако в действительности так бывает не всегда: возможна ситуация, когда повышение цены приведет не к росту, а наоборот, к снижению выручки в силу уменьшения спроса и соответствующего сокращения сбыта.
Поэтому понятие эластичности имеет огромное значение для производителей товаров, т.к. дает ответ на вопрос о том на какую величину изменится объем спроса и предложения при изменении цены.
Изучение спроса потребителей, а также мотивов, которыми они руководствуются, совершая покупки, — важнейшая задача фирмы в условиях конкуренции. Обладание как можно более полной информацией о спросе позволяет фирме обеспечивать сбыт своей продукции, расширять производство и успешно конкурировать на рынке.
В курсовой работе рассматривается эластичность спроса по ценам, эластичность спроса по доходам, перекрестная эластичность спроса, что позволяет оценить влияние перечисленных показателей на спрос, а также теория потребительского выбора, которая объясняет, каким образом покупатели предпочитают тратить получаемые ими доходы в целях максимального удовлетворения своих потребностей.
Для фирмы при планировании объема и структуры производства чрезвычайно важно знать, от чего зависит спрос на ее продукцию. Величина спроса зависит от цены товара, доходов потенциальных потребителей, а также цен на товары, которые являются либо взаимодополняемыми (например, автомобили и бензин), либо взаимозаменяемыми (например, масло и маргарин, отдельные сорта мяса и т. п.). На спрос влияют и другие факторы.
С повышением цен на продукцию фирмы можно ожидать, при прочих равных условиях, снижения спроса на нее, при этом активная деятельность конкурентов, выпускающих продукты-заменители и продающих их по более низким ценам, также может привести к снижению спроса на изделия фирмы. В то же время с ростом доходов населения фирма может рассчитывать на расширение покупательского спроса и соответственно увеличение сбыта предлагаемой продукции.
Главной целью курсовой работы является изучение эластичности спроса по ее видам и на основе этого проанализировать деятельность конкретного предприятия и разработать план для его дальнейшего успешного развития. Одной из целей является приобретение навыков, которые будут помогать при разработке и сбыте продукции предприятия, исследовании потребностей потребителей и факторов, влияющих на эластичность спроса.
1. Эластичность спроса. Коэффициент эластичности
Важнейшей характеристикой спроса является его эластичность. Она показывает интенсивность влияния цен товаров на объем их продажи, т.е. меру реакции величины спроса на изменение цены. Степень изменения величины спроса в связи с изменением цены товара может быть различной. В грубом приближении спрос можно характеризовать как:
а) эластичный;
б) неэластичный;
в) единичной эластичности.
Например, при повышении цены на 10% величина спроса может повыситься и на 15%, и на 10%, и на 5%.
Если величина спроса изменяется в большей степени, чем цена (в нашем примере на 15%), то спрос на данный товар является эластичным. Когда величина спроса и цена изменяются в одинаковой степени (на 10%), то такой спрос называется спросом единичной эластичности. Если величина спроса изменяется в меньшей степени, чем цена (на 5%), то такой спрос является неэластичным.
Поскольку спрос и цена измеряются в разных единицах, то это создает неудобства при сравнении их величин. Поэтому и принято выражать их изменения в процентах.
Эластичность спроса по цене определяется отношением процентного изменения величин спроса (объема спроса) к процентному изменению цены. Она рассчитывается по следующей формуле:

где
- эластичность спроса по цене;
∆Qd– разность между исходной и конечной величиной спроса;
∆Р – разность между исходной и конечной ценой.
Полученное в результате деления число называется коэффициентом эластичности. Если, например, увеличение цены на 100% приведет к сокращению объема продаж на 50%, то коэффициент эластичности будет равен 0,5 (50% / 100%). Коэффициент эластичности спроса по цене показывает, на сколько процентов изменяется величина спроса при изменении цены на один процент. Если коэффициент эластичности больше единицы, то спрос эластичен, если равен единице, то спрос единичной эластичности, если меньше единицы, то спрос неэластичен.
Эластичный, единичный и неэластичный спрос графически можно изобразить следующим образом (рис. 1., 1.1, 1.2).

Рис. 1. Эластичный спрос (∆Q>∆P);
>1 (4,с 353)

Рис. 1.1. Спрос единичной эластичности (∆Q=∆P);
=1 (4,с 353)

Рис. 1.2. Неэластичный спрос (∆Q>∆P);
<1 (4,с 354)
Вместе с тем было замечено, что увеличение или уменьшение величины спроса и цены на одну и ту же величину (в физических и денежных единицах соответственно) приводит к разному их изменению в процентом соотношении. А поскольку эластичность спроса определяется как раз процентным изменением объема спроса и цены, то неизбежно возникают разночтения при определении ее действительной величины. Чтобы избежать неопределенности, экономисты стали использовать средние арифметические значения от исходных и конечных значений объема спроса и величины цены. Поэтому формула для определения эластичности спроса стала выглядеть следующим образом:
![]()

Пример. При цене 10 руб. за единицу товара величина спроса составляла 80 единиц. При повышении цены до 15 руб. величина спроса сократилась до 60 единиц. Эластичность спроса по цене в этом случае будет равна:
![]()
Представим теперь обратную ситуацию. При цене 15 руб. за единицу товара величина спроса составила 60 единиц. При понижении цены до 10 руб. величина спроса увеличилась до 80 единиц. Эластичность спроса по цене в этой ситуации составит:

Таким образом, в обоих случаях изменение цены и величины спроса в абсолютных цифрах одно и то же (5 руб. и 20 единиц). Однако коэффициент эластичности в первом случае составил 0,5, а во втором – 1,0, так как процентное изменение цены и величины спроса неодинаково. Если же использовать средние арифметические величины, то эластичность спроса будет равна:

Поскольку изменения величины спроса и цены разнонаправлены, то результат всегда будет иметь знак минус. Однако, как правило, во внимание принимается лишь абсолютное значение коэффициента.
В случае абсолютной неэластичности кривая спроса представляет собой линию, параллельную вертикальной оси (ординат), а в случае абсолютно эластичного спроса она будет параллельна оси абсцисс (рис. 1.3 и 1.4).

Рис. 1.3. Абсолютно неэластичный спрос (5,с 42)

Рис. 1.4. Абсолютно эластичный спрос (5,с 43)
Ценовая эластичность спроса позволяет сделать ряд практических выводов:
1. Эластичность спроса оказывает виляние на объем общей выручки от продажи данного количества товара. Не всегда увеличение цены на товар означает рост выручки от его продажи. Сокращение спроса может быть настолько значительным, что суммарная выручка понизится, так как при эластичном спросе цена товара и объем его продажи изменяются в противоположных направлениях. В ряде случаев снижение цены может вызвать такой рост спроса, что суммарная выручка увеличится.
2. При неэластичности спроса общая выручка продавца изменяется в том же направлении, что и цена реализуемого товара: при увеличении цены она растет, а при уменьшении - падает.
3. Если спрос отличается единичной эластичностью, то выручка остается прежней.
4. Товар обладает тем большей ценовой эластичностью, чем больше заменителей он имеет (т.е. чем менее он необходим потребителю), а также, чем выше доля расходов на его потребление в бюджете потребителя.
5. При неэластичности спроса продавец не склонен снижать цены, так как потери от такого снижения, как правило, не будут компенсированы ростом величины спроса. Поэтому неэластичный спрос выступает фактором потенциального роста цен. Зная это, производитель всегда является потенциальным сторонником неэластичного спроса и пытается «перевести» эластичный спрос в неэластичный спрос путем искусственного ограничения производства. Это позволяет ему иметь стабильный спрос при высокой цене.
6. Высокоэластичный спрос означает крайнюю чувствительность величины спроса к минимальному изменению цены. Это означает, что эластичный спрос выступает фактором потенциального снижения цен.
7. Экономический прогресс состоит наряду с другими факторами и в том, что растет число тех товаров, спрос на которые характеризуется высокой эластичностью. Чем выше доля высокоэластичных товаров в структуре совокупного продукта общества, тем свободнее и рациональнее выбор покупателя.
В микроэкономике существует несколько видов эластичности спроса: прямая эластичность спроса по цене, перекрестная эластичность спроса по цене и эластичность спроса по доходу.
Для более подробного изучения видов эластичности спроса необходимо сначала ознакомиться с факторами, влияющими на эластичность спроса.
2. Факторы, влияющие на эластичность спроса
Важным моментом, оказывающим воздействие на эластичность спроса, является наличие товаров-заменителей. Чем больше на рынке продуктов, признанных удовлетворять одну и ту же потребность, тем больше возможностей для покупателя отказаться от приобретения данного конкретного продукта в случае повышения его цены, тем выше эластичность спроса на данный товар.
Например, спрос на хлеб относительно неэластичен. В то же время спрос на отдельные сорта хлеба является относительно эластичным, так как с повышением цены, к примеру, на бородинский хлеб покупатель может перейти на другой сорт ржаного хлеба и т.п. Спрос на сигареты, лекарства, мыло и другие подобные продукты относительно неэластичен. Однако если рассматривать эластичность по отношению к отдельным видам сигарет, сортам мыла и т.п., то она будет значительно выше.
Та же закономерность применима к изделиям, выпускаемым отдельной фирмой. Если на рынке присутствует значительное число конкурентов, выпускающих аналогичную или близкую по назначению продукцию, то спрос на продукцию этой фирмы будет относительно эластичным. В условиях совершенной конкуренции, когда много продавцов предлагают одинаковую продукцию, спрос на товар каждой отдельной фирмы будет абсолютно эластичным.
Другим важным обстоятельством, влияющим на ценовую эластичность, является фактор времени. В краткосрочном периоде спрос имеет тенденцию быть менее эластичным, чем в долгосрочном. Например, спрос на бензин со стороны индивидуальных владельцев автомобилей относительно неэластичен, и повышение цены, особенно в летний сезон, вряд ли сократит спрос. Однако можно предположить, что осенью значительная часть автовладельцев поставят свои машины в гаражи, спрос на бензин снизится, сократится объем продаж его.
Кроме того, к следующему лету часть из них начнут пользоваться пригородными электричками. Несмотря на то, что спрос на бензин относительно неэластичен в обоих случаях, в долгосрочном периоде эластичность выше.
Такая тенденция изменения эластичности во времени объясняется тем, что с течением времени каждый потребитель имеет возможность изменить свою потребительскую корзину, найти товары-заменители.
Различия в эластичности спроса объясняются также значимостью того или иного товара для потребителя. Спрос на предметы первой необходимости неэластичен; спрос на товары, не играющие важной роли в жизни потребителя, обычно эластичен. Действительно, при повышении цен мы можем отказаться от дополнительной пары обуви, драгоценностей, мехов, но вряд ли сократим покупки хлеба, мяса и молока. Как правило, спрос на продукты питания неэластичен, и сейчас, при снижающемся уровне жизни населения, на их приобретение тратится все большая часть доходов средней белорусской семьи.
Изучение факторов влияющих на эластичность спроса делает предпосылки для дальнейшего, более подробного, рассмотрения видов эластичности спроса, что я и сделал в следующей главе.
3. ВИДЫ ЭЛАСТИЧНОСТИ СПРОСА
3.1 Прямая эластичность спроса по цене
Прямая эластичность спроса по цене характеризует относительное изменение спроса на i-тый товар при изменении его цены. Коэффициентом прямойэластичности спроса по цененазывают отношение относительного изменения объема спроса в процентах к относительному изменению цены:

![]()
Поскольку, как правило, объем спроса с увеличением цены снижается, ∆Q i / ∆P i < 0. Чтобы избежать отрицательных чисел, перед правой частью (3,1) часто вводят знак минус.
Различают точечную и дуговую эластичность. Точечная эластичность(или эластичность в точке) характеризует относительное изменение объема спроса при бесконечно малом изменении цены:

![]()
Если кривая спроса задана линейной функцией, например Q i = a i - bp i, наклон ее, очевидно, будет ∆Q i / ∆P i = -b. Подставляя последнее выражение в (3.2), получим
= - b i ( P i / Q i ) (3.3)

Рис. 3.1. Дуговая эластичность спроса (5,с 98)
Это означает, что коэффициент эластичности будет различнымв разных точках такой кривой, несмотря на один и тот же ее наклон. Графически коэффициент точечной эластичности линейной кривой спроса определяется соотношением отрезков кривой, лежащих выше и ниже интересующей нас точки.
Для того чтобы избежать неопределенности в расчетах, используют один из двух стандартных методов. Либо в расчете коэффициента эластичности используют наименьшиезначения цены и объема, в нашем примере тогда Е = (∆Q i / ∆P i )( P 2 / Q 1 ) либо используют их средние для интервала значения. В этом случае говорят о дуговой эластичности. Дуговая эластичность определяется как средняя эластичность, или эластичность в середине хорды (точка М на рис.1.8), соединяющей две точки. Практически используются средние для дуги АВ значения цены и объема спроса:

![]()
Использование (3.4), очевидно, позволяет определить лишь приблизительное значение эластичности по дуге АВ на кривой спроса. Ошибка будет тем больше, чем более вогнутой к началу координат окажется в действительности дуга АВ .
Коэффициент эластичности используется для наиболее общей характеристики спроса.
Если E= 0, спрос совершенно неэластичен, никакое изменение цены не влияет на объем спроса.
Если E> 1, спрос совершенно эластичен, малое повышение цены ведет к бесконечно большому сокращению спроса. И наоборот, малое снижение цены ведет к бесконечно большому увеличению объема спроса.
При E= 1 говорят, что спрос имеет единичную эластичность, изменение цены на 1% ведет к изменению объема спроса также на 1%. В этом случае кривая спроса имеет форму равнобочной гиперболы.
Линии спроса с нулевой, единичной и бесконечной эластичностью показаны на рис.3.2.

Рис. 3.2. Линия спроса с нулевой, единичной и бесконечной эластичностью спроса (5,с 101)
Если 0 < E< 1, говорят, что спрос неэластичен, увеличение (снижение) цены на 1% сопровождается снижением (повышением) объема спроса менее чем на 1%.
Если 1 < E< ∞, говорят, что спрос эластичен, повышение (снижение) цены на 1% сопровождается снижением (повышением) объема спроса более чем на 1%.
Прямая эластичность спроса по цене зависит прежде всего от наличия товаров-заменителей. Чем больше таких товаров-заменителей, чем ближе их основные свойства, тем эластичнее спрос на данный товар. Отсутствие товаров-заменителей предопределяет совершенную неэластичность спроса (например, спрос на поваренную соль). Поэтому, чем более агрегированную группу товаров мы рассматриваем, тем ниже эластичность спроса (например, спрос на мясопродукты менее эластичен, чем спрос на колбасы, а спрос на колбасы менее эластичен, чем спрос на колбасу определенного вида).
Эластичность зависит также от разнообразия возможностей (направлений) использования данного товара. Чем разнообразнее эти возможности, тем выше и эластичность (например, спрос на универсальное оборудование более эластичен, чем на специализированное).

Рис. 3.3. Линия спроса со стертыми ступенями (5,с 103)
Прямая эластичность спроса зависит также от степени насыщения потребностей. Если почти все семьи уже имеют хотя бы по одному холодильнику, небольшое снижение рыночной цены вряд ли существенно скажется на объеме спроса и продаж. Напротив, на стадии начального насыщения спроса, скажем, на компьютеры, сравнительно небольшое снижение цены может вызвать значительный рост спроса и продаж.
Наконец, эластичность спроса зависит от фактора времени. Спрос более эластичен в длительном периоде, чем в коротком, поскольку для приспособления к изменившемуся соотношению цен необходимо время. Безусловно, шок от повышения цен на энергоресурсы приведет к появлению новых энергосберегающих технологий и, значит, к относительному сокращению спроса на них. Но переход к новым технологиям не может произойти на утро следующего после освобождения цен на энергоресурсы дня. Наряду с обычной ступенчатой линией спроса нередко используют в ценовой политике кривую спроса со стертыми ступенями. Такая линия показана на рис.3.3. Она не имеет горизонтальных участков, ее ступени как бы несколько стерты. Поэтому в отличие от обычной ступенчатой кривой объем спроса меняется при любом сколь угодно малом изменении цены. Однако меняется по-разному. Например, снижение цены с P 2 до P 3 , меньшее, чем снижение цены с P 1 до P 3 , сопровождается значительно большим увеличением объема спроса.
Кривая спроса со стертыми ступенями объясняет такое явление, как стабильность (иногда ее называют липкостью) цен в условиях, когда цены многих других товаров изменяются. Дело в том, что повышение цены данного товара с P 3 до P 2 приведет к сокращению спроса почти в 2 раза, тогда как ее снижение с P 3 до P 4 дает ничтожно малый его прирост. Таким образом, спрос на данный товар может оказаться весьма эластичным при повышении цены, но почти неэластичным при ее снижении (или наоборот).

Рис. 3.4. Линии спроса в представлении некоторых продавцов (5,с 106)
Представления продавцов об эластичности спроса на продаваемые ими товары могут оказаться весьма своеобразными, что скажется и на их ценовой стратегии. Многие из них полагают, что кривая спроса имеет зубцы, это делает ее похожей на пилу (рис.3.4), так что характер зависимости объема спроса при движении вдоль кривой постоянно меняется. Некоторые из них полагают, что покупателей больше привлекают цены, выраженные нечетными числами. Как видно на рис.3.4а, объем спроса при цене 197 больше, чем при ценах 196 или 198 руб. Другие считают, что объем спроса при ценах, выраженных круглыми цифрами, меньше, чем при любой другой цене в пределах определенного интервала (рис3.4б). Существуют и другие представления о характере функций спроса и его эластичности, которые служат психологической основой для других стратегий ценообразования.
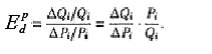
3.2 ПЕРЕКРЕСТНАЯ ЭЛАСТИЧНОСТЬ СПРОСА ПО ЦЕНЕ
Перекрестная эластичность спроса по цене характеризует относительное изменение объема спроса на один товар при изменении цены другого. Коэффициентом перекрестной эластичности спроса по цененазывают отношение относительного изменения спроса на i -тый товар к относительному изменению цены j -того товара. В отличие от коэффициента прямой эластичности Ei коэффициент перекрестной эластичности обозначается Eij :
![]()
Коэффициент перекрестной эластичности может быть положительным, отрицательным и нулевым.
Если Е ij > 0, то товары i и j называют взаимозаменяемыми, повышение цены j -того товара ведет к увеличению спроса на i -тый (например, различные виды топлива).
Если Е ij < 0, то товары i и j называют взаимодополняющими, повышение цены j -того товара ведет к падению спроса на i -тый (например, автомашины и бензин).
Если Е ij = 0, то такие товары называют независимыми, повышение цены одного товара не влияет на объем спроса на другой (например, хлеб и цемент).
Основным фактором, определяющим перекрестную эластичность спроса по цене, являются естественные свойства благ, их способность замещать друг друга в потреблении. Если два товара могут с одинаковым успехом использоваться для удовлетворения одной и той же потребности, коэффициент перекрестной эластичности этих товаров по цене будет высок, и наоборот.
Следует иметь в виду, что перекрестная эластичность спроса по цене может быть асимметричной. Если цена мяса снизится, спрос на кетчуп возрастет. Но если цена кетчупа повысится, то это вряд ли повлияет на спрос на мясо.
Коэффициент перекрестной эластичности может быть использован для характеристики взаимозаменяемости и взаимодополняемости товаров лишь при небольших изменениях цен. При значительных изменениях цен будет проявляться влияние эффекта дохода, что приведет к изменению спроса на оба товара. Так, например, если цена картофеля снизится вдвое, то возрастет потребление не только картофеля, но и других товаров. В этом случае Е ij < 0 и эти товары будут классифицироваться как взаимодополняющие, что неверно.
Более надежную оценку отношений взаимозамещения и взаимодополнения товаров можно получить, если при расчетах перекрестной эластичности исключить влияние эффекта дохода:
![]()
Если Е* ij > 0, то такие товары называются нетто-субститутами(или взаимозаменяемыми по Хиксу) в отличие от брутто-заменителей, определяемых по критерию Е ij > 0. Если Е* ij < 0, то такие товары называются нетто-дополняющимив отличие от брутто-дополняющих, определяемых по критерию Е ij < 0. Перекрестный эффект замены симметричен, Е ij = Е* ij . И если i -тый товар определен как нетто-заменитель j -того, то и j -тый товар является нетто-заменителем i -того.

Различие двух определений можно рассмотреть, воспользовавшись рис. 3,5. Здесь товары X и Y являются брутто-заменителями, но нетто-дополняющими. Общий результат изменения цены здесь отрицателен, поскольку положительный эффект замены перекрывается отрицательным эффектом дохода. Можно показать, что в этом смысле заменяемость является доминирующим отношением в системе в целом. Некоторые экономисты используют перекрестную эластичность для определения отраслевой принадлежности различных производств. Они считают, что, чем выше коэффициент перекрестной эластичности двух товаров, тем с большим основанием их производство может быть отнесено к одной отрасли. Однако такая точка зрения не является общепринятой.
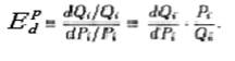
3.3 ЭЛАСТИЧНОСТЬ СПРОСА ПО ДОХОДУ
Эластичность спроса по доходу характеризует относительное изменение спроса на какой-либо товар в результате изменения дохода потребителя. Коэффициентом эластичности спроса по доходуназывают отношение относительного изменения объема спроса на i -тый товар к относительному изменению дохода потребителя:
![]()
Если Еi < 0, товар является низкокачественным, увеличение дохода сопровождается падением спроса на этот товар.
Если Еi > 0, товар называется нормальным, с ростом дохода увеличивается и спрос на этот товар.
Среди нормальных товаров можно выделить три группы. Товарыпервой необходимости, спрос на которые растет медленнее роста доходов (0 < Е I < 1) и потому имеет предел насыщения. Предметы роскоши, спрос на которые опережает рост доходов ( Е I > 1) и потому не имеет предела насыщения. Товары, спрос на которые растет в меру роста доходов ( Е I = 1), называют товарами второй необходимости. Эта классификация не совпадает с часто встречающейся классификацией потребностей по их очередности, так как потребности существуют и удовлетворяются комплексно и никакой очередности не имеют. Заметим, что для лиц с разным уровнем дохода (или для одного и того же человека при изменяющемся уровне дохода) одни и те же блага могут оказаться либо предметами роскоши, либо товарами первой необходимости.
Чтобы более подробно разобраться в эластичности спроса нужно рассмотреть практические примеры в реальной жизни, что мы увидим в следующей главе.
4. Применение теории эластичности
Теория эластичности спроса и предложения имеет важное практическое значение. Проиллюстрируем ее применение на конкретных примерах. Увеличение производственных издержек толкает предприятие на повышение цены продукции. Что произойдет со сбытом? Снизится ли он значительно или вообще не изменится? Компенсирует ли рост цены сокращение прибыли за счет потери части потребительского спроса?
Чтобы ответить на эти вопросы и правильно выбрать ценовую стратегию предприятия, надо знать эластичность спроса и предложения на данный товар. Ниже приведены коэффициенты ценовой эластичности спроса на некоторые виды товаров и услуг:
|Хлеб |0,15 |
|Говядина |0,64 |
|Баранина |2,65 |
|Яйца |0,32 |
|Электричество в домах |0,13 |
|Табачные изделия |0,46 |
|Газеты и журналы |0,42 |
|Одежда и обувь |0,20 |
Приведенные данные характерны для экономики США. Для Беларуси показатели ценовой эластичности рыночного спроса будут несколько иными в зависимости от наличия товаров-заменителей и других обстоятельств, о которых говорилось выше.
Для фирмы важно иметь в виду, что эластичность спроса на ее продукцию и эластичность рыночного спроса не совпадают. Первая всегда (за исключением абсолютной монополии фирмы на рынке) выше второй. Рассчитать ценовую эластичность спроса на продукцию фирмы достаточно сложно, так как необходимо принимать во внимание и реакцию конкурентов на повышение или понижение фирмой цены. Помочь в этом может использование математических моделей или опыт руководителей фирмы.
Если фирма при принятии решения о цене будет руководствоваться только данными об эластичности рыночного спроса, то потери сбыта от повышения цен могут стать более значительными, чем ожидались. Например, если примем эластичность рыночного спроса на табачные изделия 0,46, то это совершенно не означает, что эластичность спроса на сигареты фабрики «Ява» или «Дукат» будет иметь то же значение. Конкуренция повысит коэффициент эластичности спроса на сигареты каждой из этих фабрик.
Эластичность спроса является важным фактором, влияющим на ценовую политику фирмы. Предположим, что какая-то фирма построила стоквартирный дом и решает вопрос, по какой цене следует предлагать квартиры съемщикам. Расходы на строительство и эксплуатацию фактически не зависят от того, сколько квартир будет сдано (за исключением расходов на текущий ремонт, которые составляют небольшую долю от общих расходов).
Если фирма знает спрос на квартиры и его эластичность, она может определить, по какой цене следует сдавать эти квартиры, чтобы обеспечить максимальную выручку. При этом максимальная выручка может достигаться даже в том случае, если часть квартир останется пустовать.
Другим примером практического использования теории эластичности является государственная налоговая политика. При введении косвенных налогов государство преследует цель увеличить объем налоговых поступлений в бюджет для перераспределения ресурсов в экономике, перераспределения доходов населения и поддержки малоимущих, развития социальной сферы, инфраструктуры, обороны и т.п. Однако в зависимости от эластичности спроса и предложения на отдельные виды товаров и услуг налоговое бремя будет распределяться по-разному между производителями и потребителями продукции.
Рассмотрим распределение налогового бремени при эластичном и неэластичном спросе на продукцию (эластичность предложения принимается постоянной). Производитель в условиях рыночной экономики может увеличить цену на сумму налога (хотя в Беларуси в переходной экономике это часто наблюдалось), установить ее выше равновесной, так как в условиях конкуренции он будет вытеснен с рынка. Единственное, что он может сделать — это поднять цену до равновесного уровня.
В случае если спрос эластичен, потери производителя будут выше, бремя налога ляжет в основном на него. Кроме того, производитель будет вынужден сократить производство, потеряв часть покупателей своей продукции за счет более высокой цены на нее.
В случае если спрос неэластичен, налоговое бремя ляжет преимущественно на потребителя. Кроме того, абсолютный размер налога также будет выше при неэластичном спросе. Именно поэтому государство облагает акцизными и другими косвенными налогами товары, спрос на которые неэластичен (сигареты, алкогольные напитки и т.п.).
Теперь рассмотрим зависимость распределения налогового бремени от эластичности предложения (эластичность спроса примем постоянной).
При эластичном предложении налоговое бремя ляжет в основном на потребителя, рост цены и сокращение объема производства будут значительными, сумма налога будет относительно меньше, чем при неэластичном предложении, потери общества — выше. При неэластичном предложении наблюдается обратная картина.
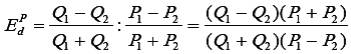
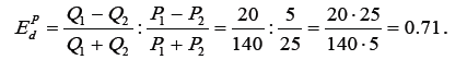
Теперь рассчитаем эластичность спроса на продукцию хромовых кожевенных товаров РУП ГПКО. Объем спроса в 2006 году на данную продукцию составил 67,97 тысяч метров квадратных, а в 2007 – 87,91 тысяч метров квадратных. Цена за метр квадратный в 2006- 17169 рублей, а в 2007 – 22512 рублей (Приложение 1). Рассчитаем эластичность спроса:

Е = ((87910-67970)*(22512+17169))/((87910+67970)*(22512-17169))=0,95
Можно с уверенностью сказать, что спрос на данный товар является неэластичным, т.к коэффициент эластичности меньше единицы. Никакое изменение цены не влияет на изменение объема спроса. Это характерно для многих предприятий Беларуси, т.к. заводы работают согласно плана. На данном предприятии не производится вычисление эластичности спроса, что приводит к уменьшению прибыли. В настоящее время очень важно знать, приведет ли уменьшение или увеличение цены к изменению объема спроса. Если же расчеты по вычислению коэффициента эластичности не производятся, то как предприятие узнает, нужно ли уменьшать цену? Или наоборот, нужно ли ее повышать? На данном этапе предприятию не стоит снижать цену, т.к оно только уменьшит свою прибыль. Но если РУП ГПКО увеличит цену на 2087 рублей:
Е=791239140/832866840=0,95
832866840-791239140=41627700 – разница между числителем и знаменателем (на это число нужно увеличить числитель, для того, чтобы Е=1).
Найдем на сколько нужно увеличить цену:
87910-67970=19940 руб – изменение спроса.
41627700/19940=2087 – изменение цены.
То коэффициент эластичности станет равняться единице, и тогда дальнейшее повышение цены приведет к снижению спроса. Я бы посоветовал предприятию заняться выпуском новой продукции, или же осваивать новые ранки сбыта, где данный товар востребован. За один год цена на данный товар повысилась на 22512-17169=5343. С уверенностью можно сказать, что и в 2008 году цена повыситься более чем на 2087 рублей, и дальнейшее ее повышение приведет к сокращению прибыли.
ЗАКЛЮЧЕНИЕ
Рассмотрев тему по данной курсовой работе, мы пришли к выводу, что изучение эластичности спроса на продукцию является первейшей задачей фирмы в условиях рынка. Одной из важнейших характеристик спроса является его эластичность. Оценка эластичности спроса (по цене, доходам покупателей и другим параметрам) позволяет фирме выбрать верную стратегию поведения на рынке. Коэффициенты (показатели) эластичности спроса и предложения дают возможность определить положение кривых спроса и предложения и прогнозировать изменение объема продаж в зависимости от изменения факторов, влияющих на спрос и предложение.
Ценовая эластичность спроса измеряет степень чувствительности потребителей к изменениям цены. Если потребители относительно чувствительны к изменениям цен, спрос является эластичным. Если потребители относительно нечувствительны к изменениям цен, спрос неэластичен.
Ценовую эластичность спроса можно определить, наблюдая за характером воздействия изменения цены на величину общей выручки от продажи продукции. Если цена и общая выручка изменяются в противоположных направлениях, значит, спрос эластичен. Если цена и общая выручка изменяются в одном и том же направлении, спрос неэластичен. В случае единичной эластичности спроса изменение цены оставит общую выручку неизменной.
Количество доступных товаров-заменителей, место продукта в бюджете покупателя, его принадлежность к предметам необходимости или роскоши, а также длительность анализируемого периода времени — все это факторы, влияющие на эластичность спроса.
Практическое значение коэффициента эластичности заключается в облегчении прогнозирования того, какие именно отрасли имеют шансы на процветание и расширение, а какие в будущем, вероятнее всего, ожидает застой и сокращение производства. Точнее говоря, при прочих равных условиях высокая положительная эластичность по доходу означает, что вклад конкретной отрасли в экономический рост будет больше, чем ее доля в структуре экономики. Небольшой положительный или, еще хуже, отрицательный коэффициент указывает на перспективу сокращения производства в отрасли. Например, упомянутая высокая положительная эластичность спроса на автомобили предвещает процветание автомобильной промышленности на долгосрочную перспективу, тогда как низкая эластичность по доходу спроса на сельскохозяйственную продукцию предполагает хронические затруднения в этой отрасли.