Основні теорії макроекономіки

1. Макроекономіка як наука, її місце в системі економічних наук. Предмет, цілі та функції макроекономіки

Макроекономіка – галузь економічної науки, що вивчає поведінку економіки як єдиного цілого. Окрім неї, економіку вивчають багато інших економічних наук: політична економія, мікроекономіка, маркетинг, менеджмент, галузеві та функціональні економіки та ін.

Водночас макроекономіка як наука, насамперед, спирається на положення та висновки політичної економії про розвиток виробничих відносин, розширене відтворення, дію об'єктивних економічних законів та механізми їх використання у практиці господарювання. Вона також має безпосередній зв'язок з математикою і статистикою, широко використовує методи економіко-математичного моделювання, що перетворює її у точну науку, дозволяє перейти від якісного до кількісного аналізу економічних явищ, процесів та закономірностей, які відбуваються в економіці. Отже, макроекономіка формує наукові уявлення про функціонування економіки на національному рівні. Вона досліджує господарську діяльність та взаємодію всієї сукупності економічних суб'єктів. Внутрішній стан та функціонування економічної системи як єдиного цілого забезпечується зв'язками між елементами, що входять до її складу, і зовнішнім середовищем.

М. як наука об'єктом свого дослідження має економічну систему суспільства як сукупність усіх елементів і сфер економіки і суспільних економічних відносин. Отже, предмет М. включає: – національну економіку як єдине ціле, тобто макроекономічну систему; окремі агрегати економіки, які охоплюють всі або великі групи однорідних або подібних індивідуальних економічних суб'єктів та їх економічні зв'язки (сфера матеріального і сфера нематеріального виробництва тощо); сфери економічної системи (виробництво, розподіл, обмін і споживання суспільного продукту); економічні зв'язки між суб'єктами економічної системи (соціально-економічні і організаційно-економічні відносини);

До основних функцій М. слід віднести: теоретичну або пізнавальну (дослідження економічної системи та її агрегатів, побудова моделей цих процесів); виховну (виховання макроекономічного мислення); прогностичну (прогнозування розвитку економічної системи); практичну (розробку рекомендацій для державної політики і створення конкретних макроекономічних моделей); методологічну (М. як складова економічної теорії є теоретичним фундаментом для цілого ряду економічних наук і навчальних дисциплін).

2. Макроекономіка «планової» та «підприємницької» систем

Економічна система в цілому є об'єктом вивчення М. Тому важливо визначити суть і структуру економічної системи (е.с.). В процесі виробництва, а також розподілу, обміну і споживання життєвих благ між її учасниками виникають певні відносини, які назвали економічними відносинами. Економічна система – це сукупність усіх видів економічної діяльності людей у процесі їх взаємодії, спрямованих на виробництво, розподіл, обмін і споживання товарів і послуг, а також на регулювання цієї діяльності у відповідності з метою суспільства.

Принципове значення для характеристики економічних систем мають форми власності на засоби виробництва і економічний механізм суспільства. Тобто відмінності між економічними системами визначаються, насамперед, відмінностями між цими їх елементами. Людству відомі два основних типи власності – спільна (колективна) (відносини між асоційованими (об'єднаними) власниками з приводу володіння, розпорядження і використання засобів виробництва і виробленого продукту) і особиста (приватна) (відображає відносини окремих власників до об'єктів власності як своїх особистих). Історично першою була колективна власність родової общини. Ринковий економічний механізм – це механізм регулювання економіки, що ґрунтується на приватній (корпоративній) власності і приватному підприємництві. Цю роль виконує ринок. В основі ринкового механізму лежать об'єктивні закони попиту і пропозиції, у взаємодії яких лежить ринкова ціна, яка і є регулятором обсягів виробництва і споживання суспільного продукту. Плановий економічний механізм виникає в умовах, коли не існує основи ринкового регулювання – приватної власності і конкуренції.

Отже, на ґрунті сказаного вище, можна зробити висновок: існує два типи економічних систем – ринкова і планова, або статична (одержавлена, фр. etat-держава). Ринкова економічна система характеризується переважно приватними формами власності на засоби виробництва (насамперед корпоративна власність) і специфічним ринковим механізмом попиту, пропозиції і ціни товару. У такій системі яскраво виражений особистий економічний інтерес, який є могутнім спонукальним мотивом економічної діяльності. Планова (статична) економічна система ґрунтується на тотальній державній власності і суб'єктивному механізмі державного планового регулювання, в якому на першому плані знаходяться не економічні, а політичні засоби впливу (політичне керівництво). Така система не має достатніх стимулів економічної діяльності, тому змушена широко застосовувати неекономічні методи примусу до праці. Співвідношення ринкового механізму і державного регулювання таке, що останнє існує як засіб забезпечення свободи дії першого, а його розвиток диктується потребами ринку. Отже, змішана економіка – це регульована ринкова економіка; сучасна ринкова економіка.

3. Змішана економічна система моделі змішаної економіки

У другій половині XIX ст. в економіці розвинутих країн відбулися значні зміни, які зумовили виникнення монополій та' створення передумов для державного втручання в економіку. З'явилися такі нові типи ринкових структур, як монополістична конкуренція, олігополія та чиста монополія. Прийшла так звана проміжна модель управління, що стала основою сучасної змішаної економіки. Вона називається змішаною, оскільки в ній поєднуються і ринкові, і державні механізми регулювання; існує велика різноманітність форм власності і, відповідно, різноманітні типи господарської діяльності; розвиваються процеси соціалізації економіки; принципово нову роль відіграє держава.

Важливою характеристикою сучасної змішаної економіки вважаються процеси соціалізації економіки, які проявляються у формуванні соціальної ринкової економіки. Загальна лінія на розвиток змішаної системи не означає одноманітності та стандартизації. Реально в різних країнах і регіонах складаються різні моделі змішаної економіки. Вони відрізняються один від одного своїм специфічним поєднанням різних форм власності, ринку та державного регулювання, капіталу та соціальності, економічної і постекономічне сторін. Ця особливість залежить від багатьох факторів: рівня і характеру матеріально-технічної бази, історичних та геополітичних умов формування суспільного устрою, національних та соціокультурних особливостей країни, впливу тих чи інших соціально-політичних сил і т.п. Більш того, в змішаній економіці, як правило, може домінувати та чи інша сторона параметрів.

Оцінимо деякі найбільш характерні моделі змішаної економіки, що склалися в світі. Американська модель – це ліберальна ринково-капіталістичного лістіческая модель, що передбачає пріоритетну роль приватної власності, ринково-конкурентного механізму, капіталістичних мотивацій, а також високий рівень соціальної диференціації. Японська модель – модель регульованого корпоративного капіталізму, в якій сприятливі можливості накопичення капіталу сполучаються з активною роллю державного регулювання у сферах програмування економічного розвитку, структурної, інвестиційної та зовнішньоекономічної політики і з особливим соціальним значенням корпоративного (внутрішньофірмового) почала. Формування змішаної економіки простежується і в умовах перехідних економік, причому тут складаються різні моделі.

4. Національна економіка та економічна система

Методологія макроекономіки. Національна економіка, або господарство країни – це сукупність підприємств, домогосподарств і установ, які функціонують у межах певної держави. Ядром національної економіки є її галузі: промисловість, сільське господарство, будівельний комплекс, транспорт, зв'язок, банківська система, охорона здоров'я, освіта тощо. Промисловість у свою чергу поділяється на обробну й видобувну; обробна – на важку й легку і т.д. Співвідношення між окремими галузями економіки називають її галузевою структурою. Галузева структура відбиває суспільний поділ праці.

Ефективність функціонування національної економіки – задоволення поточних потреб суспільства, нагромадження національного багатства і стан довкілля – вирішальною мірою залежить від типу економічної системи. Економічна система – це спосіб організації національної економіки. Основними елементами економічної системи є, по-перше, спосіб узгодження діяльності суб'єктів господарського життя, або спосіб розв'язання основних проблем організації економіки; по-друге, власність на виробничі ресурси та виготовлені життєві блага. Методологія макроекономіки – сукупність підходів і прийомів пізнання економічних відносин і процесів на рівні економіки в цілому. Основи сучасної методології макроекономіки були закладені в XIX і початку XX ст., а поглиблені і розвинуті в 1936 р. у знаменитій роботі Дж.М. Кейнса «Загальна теорія зайнятості, відсотка і грошей».

5. Модель кругопотоку ресурсів і доходів. В основі макроекономічного аналізу лежить модель кругопотоку, яка відображає взаємопов’язаний і безперервний рух ресурсів, виготовлених продуктів і доходів, між економічними суб’єктами. У кожній національній економіці, є три основні економічні суб’єкти – домогосподарства, фірми та держава. Для простоти аналізу розглянемо спочатку двосекторну модель кругопотоку, яка відображає замкнену національну економіку, що містить лише два економічних суб’єкти – домогосподарства та фірми. На верхній частині рис. Показано ринок ресурсів. Тут домогосподарства, які безпосередньо або опосередковано (через власність на ділові підприємництва) володіють усіма ресурсами (працею, землею, капіталом, підприємницьким хистом), постачають ці ресурси підприємствам. Підприємства потребують ресурсів, бо саме за їхньою допомогою виробляють товари і послуги.

Платежі фірм домогосподарствам за ресурси називають доходами. Ці доходи домогосподарства привласнюють у вигляді заробітної плати (оплати праці), ренти (плати за землю), процента (плати за капітал) і прибутку (плата за підприємницький хист). Водночас платежі фірм за придбані ресурси є їхніми витратами. Ця схема кругопотоку містить два кола – внутрішнє й зовнішнє. Внутрішнє коло відображає рух ресурсів, товарів і послуг – потік за годинниковою стрілкою. Зовнішнє коло віддзеркалює грошовий потік доходів, витрат і споживчих видатків – проти годинникової стрілки. У нижній частині схеми показано ринок продуктів. Грошовий дохід, який домогосподарства отримують від продажу ресурсів, вони спрямовують на купівлю товарів і послуг. З цієї схеми видно, що у замкненій національній економіці доходи одних економічних суб'єктів є витратами інших. Якщо видатки домогосподарств із певних причин зменшуються, то фірми змушені скорочувати обсяги свого виробництва, що зменшує доходи, які визначають, у свою чергу, видатки, тобто попит на товари й послуги. Тому важливим завданням макроекономічної політики є стабілізація попиту в національній економіці.


6. Система національних рахунків. Загальна характеристика ВВП та ВНП. Принципи та методи розрахунку ВВП

Система національних рахунків (СНР) ― це система взаємопов’язаних економічних показників, які відображають загальні та найбільш важливі аспекти економічного розвитку, пов’язані з виробництвом і споживанням продуктів і послуг, розподілом і перерозподілом доходів, формуванням національного багатства країни. СНР базується на відповідних методологічних принципах, серед яких основними є:

1. Продуктивною є будь-яка економічна діяльність, яка приносить доход суб’єктам цієї діяльності, як у сфері матеріального, так і нематеріального виробництва.

2. В основі СНР лежить концепція про тотожність між витратами на виробництво сукупного продукту і доходом, одержаним від його продажу.

3. СНР виходить із того, що економіка знаходиться у постійному кругообороті, а кругооборот ― це безперервний потік «доходи-витрати». Це означає, що витрати створюють доходи, а доходи є джерелом нових витрат, нові витрати створюють нові доходи і т.д.

ВВП ― це сукупна ринкова вартість кінцевої продукції та послуг, що вироблені резидентами країни за рік. За виробничим методом ВВП обчислюється як сума валової доданої вартості всіх галузей економіки плюс продуктові податки за мінусом субсидії.

ВВП= ∑ (ВВ – МВ) + (ПП – С), де ВВ ― валовий випуск окремих галузей, МВ ― матеріальні витрати окремих галузей, ПП ― продуктові податки, С ― субсидії; (ПП – С) ― чисті прод. подат.

ВВ ― це сукупна ринкова вартість товарів та послуг, вироблених за рік резидентами країни в базових цінах.

МВ ― витрати на придбання товарів та послуг для проміжного споживання.

ПП ― це податки, які стягуються пропорційно до кількості або вартості товарів та послуг, що виробляються, продаються чи імпортуються підприємствами – резидентами (ПДВ, АЗ, мито).

С ― це субсидії, що надаються п/п – резидентам із державного бюджету на відшкодування постійних збитків, які виникають у зв’язку з тим, що продажна ціна на окремі види продукції складається нижче від середніх витрат виробництва; субсидії на експорт, імпорт і т. ін. Валовий національний продукт (ВНП) – враховує вартість всього обсягу продукції і послуг в національній економіці, незалежно від місцезнаходження національних підприємств (у своїй країні чи за кордоном)

7. Показники системи національних рахунків. Реальні та номінальні величини макроекономічних показників. Цінові індекси

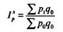
Макроекономічні показники системи національних рахунків. Система національних рахунків у відповідності з міжнародним стандартом включає ряд взаємопов'язаних між собою макроекономічних показників. На макрорівні об'єднує найважливіші економічні показники, визначає найбільш суттєві зв'язки між ними, і на цій основі здійснюються аналітичні розрахунки, які забезпечують зміни макроекономічних пропорцій, враховують вплив різних факторів на соціально-економічні процеси та визначають можливості управління ними. До макроекономічних показників відносяться: валовий сукупний продукт, національний доход, валовий національний продукт, валовий внутрішній продукт, чистий національний продукт, національний доход, особистий доход, використаний доход. До їх складових структуроутворюючих елементів входять: Матеріальні затрати; Амортизація; Непрямі податки (ПДВ, акцизний збір і т.д.); Нарахування на зарплату (соц. страх, Фонд Чорнобиля і т.д.); Прямі податки (податок на прибуток); Особисті податки громадян; Оплата праці; Рентні платежі; Прибуток; Трансфертні платежі і виплати населенню. Макроекономічні показники не враховують позаринкову діяльність – працю домогосподарок та інші роботи в домашньому господарстві, які задовольняють власні потреби; товари та послуги тіньової економіки, яка в сучасних умовах виробляє до 65% обсягу ВНП. Урядові трансфертні платежі – це державні виплати індивідам, які не обумовлюються безпосередньо їхньою участю в суспільному виробництві. До них належать допомога по безробіттю, пенсії ветеранам, допомога людям похилого віку та хворим. Реальні та номінальні величини. Цінові індекси. Номінальний ВВП – це обсяг виробництва, який вимірюється в поточних цінах, тобто в цінах, що існують на момент виробництва: де q. – обсяг виробництва ї'-го товару в поточному році; – ціна і-го товару в поточному році Рі. Таким чином, на величину номінального ВВП впливають два процеси: 1) динаміка обсягу виробництва 2) динаміка рівня цін. Реальний ВВП – це обсяг виробництва, який вимірюється в сталих (незмінних, базових) цінах, тобто на величину цього показника впливає лише зміна обсягів виробництва:де р0 – ціна г'-го товару в оазисному році. Враховуючи описане, реальний ВВП можна розрахувати шляхом коригування номінального ВВП на індекс цін Звідси випливає, що

Якщо величина індексу цін менша за одиницю (/ < 1), то відбувається коригування номінального ВВП у бік збільшення, яке називається гафлюванням. Якщо ж величина індексу цін більша за одиницю (/ >1), то відбувається дефлювання – коригування номінального ВВП у оік зменшення. Для здійснення названих коригувань використовують цінові індекси Ласпейреса, Пааше і Фішера (цінові дефлятори). Індекс Ласпейреса (або аґреґатний індекс цін) показує, як змінюються ціни за два періоди, що порівнюються, якщо структура виробленого ВВП залишається незмінною. Вагами в цьому випадку є товарна структура виробництва базисного періоду, а тому зміни у виробництві та споживанні, пов'язані з науково-технічним прогресом, не враховуються. Індекс має вигляд де – ціни відповідно в поточному і базисному періодах; q0 – обсяг виробництва в базисному періоді. Цей індекс дещо завищує темп зростання рівня цін, оскільки при його розрахунку нехтують тим фактом, що із зміною цін, безперечно, відбуваються зміни в структурі споживчих товарів. Індекс Ласпейреса, розрахований для фіксованого «кошика» споживчих товарів і послуг (qk), називають індексом споживчих цін Фіксований споживчий кошик складається приблизно із 300 найменувань товарів і послуг, які купуються типовим міським мешканцем. Індекс побудовано так, що ціна кошика у базисному періоді береться за 100%, а тому значення індексу вказує на те, на скільки відсотків змінилася ціна товарів – компонентів споживчого кошика у поточному періоді в порівнянні з попереднім. Індекс споживчих цін розраховується щомісячно, є оперативним і найпоширенішим показником рівня інфляції. Індекс Паагие частково усуває обмеженість індексу Ласпейреса, оскільки вагами в даному випадку є товарна структура виробництва поточного року. Індекс має вигляд: де – обсяг виробництва в поточному періоді. Індекс Пааше, розрахований для сукупності товарів і послуг, що входять до складу ВВП, називається дефлятором ВВП Оскільки на цей індекс впливають структурні зрушення, які компенсують підвищення цін на окремі товари, вважається, що дефлятор ВВП недооцінює зростання загального рівня цін. дефлятор ВВП не відображає зміну цін на імпортні товари, оскільки імпорт не входить до складу ВВП. Але до споживчого кошика входять імпортні товари, тому в індексі споживчих цін знаходить відображення зміна цін і на імпортні товари. Індекс Фішера, як середнє геометричне значення індексів Ласпейреса і Пааше, усуває їхню обмеженість.

8. ВВП та економічний добробут

Реальний ВВП на душу населення використовується на практиці як найобґрунтованіша характеристика економічного добробуту. Проте в такій ролі він має значні недоліки. По-перше, від величини ВВП варто було б відняти вартісну оцінку так званих негативных факторів (забруднення повітря і води, шум, перенаселення тощо), які пов'язані з його виробництвом і, зрозуміло, завищують рівень нашого матеріального добробуту. Скажімо, виробник забруднює річку, держава витрачає кошти на її очищення, що збільшує показник ВВП, проте вартість забруднення не вираховується. По-друге, до ВВП не внесена вартість неринкових операцій (робота домогосподарки; робота тесляра, який займається ремонтом власного будинку; праця вченого, який пише безкоштовно наукову статтю; безоплатна праця добровольців). Всі ці види діяльності є доцільними з точки зору економіки, проте, у відповідності із загальноприйнятою методологією, не враховуються при розрахунку ВВП. По-третє, у ВВП, на жаль, не відображається вартісна оцінка дозвілля (збільшення вільного часу, яким люди розпоряджаються) і не відображається повною мірою покращення (або ж погіршення) якості товарів, а це, безумовно, є одним із мірил економічного добробуту. Дуже важко ввести в розрахунки ВВП обсяг продукції, створений тіньовим сектором. Це призводить до заниження офіційного рівня ВВП. Наша мета – максимально «покращити» показник ВВП, з тим щоб він міг бути дійсно адекватною характеристикою економічного добробуту. Тому із офіційного обсягу ВВП потрібно: відрахувати вартість впливу на економіку негативних факторів; додати вартісну оцінку неринкових операцій; додати обсяг продукції, створений тіньовим сектором економіки; додати вартісну оцінку дозвілля та покращення якості товарів. Ці перетворення дають показник чистого економічного добробуту. Його вивели в 1972 році професори Вільям Нордгауз і Джеймс Тобін з Єльського університету. ЧЕД не підраховується на підставі тієї методики і тієї інформації, що наявна в нашому розпорядженні. Він головним чином нагадує про те, що показник ВВП не є досконалим мірилом економічного добробуту. Проте, як би там не було, але це найкращий макроекономічний показник, який ми маємо на сьогодні і яким користується весь світ.


9. Класична теорія макроекономічної рівноваги

Теорія макроекономіки як наука є теоретичною базою економічної політики держави. Але її практичне застосування ускладнюється тим, що вона представлена великою сукупністю конкуруючих між собою теоретичних доктрин. Кожна з них по-різному уявляє механізм функціонування економіки з ринковими відносинами, і в першу чергу, по-різному бачить співвідношення між ринком і державою, дає протилежні рекомендації стосовно ролі держави в стабілізації економіки. Зазначена обставина дезорієнтує управлінську практику щодо встановлення причин затяжної економічної кризи в Україні та породжує крайнощі в пошуках адекватних моделей її подолання: від шокової терапії до еволюційних перетворень; від класичного капіталізму до державного соціалізму, що викликає гострі політичні суперечки та велику соціальну напругу в суспільстві. Крім того, незважаючи на значну кількість макроекономічних теорій, всі вони зорієнтовані на розвинутий ринок і майже не торкаються перехідної економіки. У системі макроекономічних теорій можна виділити декілька основних: класична, кейнсіанська, монетаристська, теорія економіки пропозиції, теорія раціональних очікувань. Отже, щоб мати уявлення про роль держави як суб'єкта макроекономічного регулювання, слід розкрити концептуальні положення цих теорій. Найбільш видатними представниками класичної теорії є Адам Сміт, Давид Рікардо, Джеймс Мілль, Жан Батист Сей. В основі будь-якої макроекономічної теорії лежить питання про те, за допомогою яких механізмів в економіці забезпечується повна зайнятість, тобто повне використання наявних ресурсів. Згідно з класичною теорією механізм ринкового саморегулювання економіки складається з декількох елементів. Перший – ситуація, коли величина сукупних витрат буде недостатньою для виробництва потенційного ВВП, є малоймовірна. Якщо навіть сукупні витрати за будь-яких обставин зменшаться порівняно з потенційною величиною, то досить швидко такі важелі ринкового регулювання, як ціна і зарплата примусять економічних суб'єктів збільшити сукупні витрати до потенційної величини. Прихильники класичної теорії визнають дестабілізуючий вплив заощаджень на рівновагу між доходами і витратами. Проте, на їхню думку, дана обставина не вимагає державною втручання в економіку. Ринковий механізм здатний самостійно й досить швидко ліквідувати цей дисбаланс через взаємодію між товарним та грошовим ринками. У цьому полягає суть другого елемента класичної теорії про ринкове саморегулювання. Та частка доходів, яка спрямовується на заощадження, знову повертається на товарний ринок у вигляді інвестицій. Згідно з класичною теорією ця умова забезпечується грошовим ринком через коливання процентної ставки під впливом попиту і пропозиції на цьому ринку. Суб'єктами грошового ринку є, з одного боку, домогосподарства як власники заощаджених грошей, з іншого – підприємці, які пред'являють попит на ці гроші з метою інвестування економіки. Рівновага між величиною запропонованих грошей і попитом на них досягається процентною ставкою. Якщо запропонований обсяг заощаджених грошей перевищує попит на них з боку інвесторів або зменшується порівняно з ним, то процентна ставка знижується або піднімається і завдяки цьому урівноважує їх між собою. Це означає, що рівноважна процентна ставка вирівнює заощадження та інвестиції автоматично. За цих умов необхідність державного втручання в економіку не виникає. Оскільки падіння попиту на продукцію стає загальним, виробники під впливом конкуренції змушені знижувати ціни, щоб уникнути затоварювання. Отже, поява надмірних заощаджень викликає зниження цін, які збільшують реальну величину сукупних витрат і відновлюють сукупний попит на рівні повної зайнятості. Тому заощадження викликають зниження цін, а не зменшення обсягів виробництва і зайнятості. Зниження товарних цін за інших незмінних умов може зменшити прибутковість виробництва товарів, що може стримати виробників від бажання збільшувати пропозицію до потенційного рівня. Підсумовуючи, можна стверджувати, що згідно з класичною теорією механізм процентної ставки, гнучких товарних і ресурсних цін надає ринку здатність автоматично підтримувати повну зайнятість в економіці. За цих умов виключається необхідність втручання держави в економіку, тобто найбільш раціональною має бути політика державного невтручання.

10. Кейнсіанська теорія макроекономічної рівноваги

Кейнсіанська економічна теорія оспорює існування такого механізму саморегулювання. На основі емпіричних даних, отриманих в період Великої Депресії, Д. Кейнсу вдалось доказати, що повна зайнятість в нерегульованій економіці може виникнути тільки випадково. Рівновага попиту і пропозиції, як правило, неспівпадають з повною зайнятістю ресурсів. Однією із причин такого неспівпадання являється неспівпадання планів інвестицій і заощаджень, які являються різними економічними агентами по різним мотивам і визначаються різними факторами.

Мотиви заощаджень домашніх господарств: купівля дорогих товарів; забезпечення старості; страхування від непередбачених обставин (хвороба, нещасний випадок і т.д.); забезпечення дітей в майбутньому.

Мотиви інвестицій фірм: максимізація норми чистого прибутку; реальна ставка процента – плата за придбання грошового капіталу для інвестування – враховується при складанні планів інвестицій.

Згідно кейнсіанської економічної теорії не ставка процента, а величина доходу домашніх господарств являється основним фактором, визначаючим динаміку вживання і заощаджень. При цьому зберігається та частина доходу, яка залишається після здійснення всіх споживчих видатків. Вплив ставки процента грає відносно невелику роль по відношенню до впливу доходу на споживання і заощадження. В той же час, динаміка інвестицій визначається передусім динамікою процентних ставок, що знаходить відображення у відповідних функціях споживання, заощаджень і інвестицій.

Сукупні показники утворюються шляхом агрегування, тобто об'єднанням великої кількості одиничних показників в агрегати (сукупності). Зокрема, ціни на окремі товари і послуги в масштабах макроекономіки характеризуються як загальний рівень цін – як сукупна пропозиція, а суспільна потреба в товарах і послугах, представлена доходом нації, при даному рівні цін – як сукупний попит.

Саме сукупний попит є центральною ланкою макроекономічної кейнсіанської моделі (на відміну від класичної, де в центрі уваги була пропозиція).З ефективним попитом Кейнс пов'язував суть своєї теорії.

Сукупний попит знаходиться в оберненій залежності від рівня цін. Подібна залежність уже розглядалась в законі попиту (тема 1). Графічне зображення цієї залежності дано на рисунку, де АD – крива сукупного попиту.

На поведінку сукупного попиту впливають інші фактори: 1) ефект процентної ставки; 2) ефект багатства; 3) ефект імпортних закупівель.

Ефект процентної ставки полягає у тому, що із зростанням загального рівня цін зростає і процентна ставка, що веде до скорочення споживчих витрат та інвестицій. У свою чергу, це спричиняє зменшення сукупного попиту. Ефект багатства, або ефект матеріальних цінностей (касових залишків) проявляється у зменшенні фінансових активів домашніх господарств (банківських строкових рахунків та облігацій) при зростанні загального рівня цін. Ефект імпортних закупівель полягає у зменшенні сукупного попиту на вітчизняні товари, якщо ціни на них будуть вищі, ніж на зарубіжні.

Розглянуті фактори показують зміну сукупного попиту під впливом зміни цін. Але сукупний попит може змінюватись і під тиском інших, нецінових факторів. До них відносять: 1) зміну в споживчих витратах при зміні обсягу фонду споживання; 2) зміну в інвестиційних витратах при зміні обсягу фонду нагромадження; 3) зміну в державних витратах при зміні державних доходів; 4) зміну у вартості чистого експорту при зміні торгового балансу країни. Якщо усі ці зміни будуть відбуватись у бік зменшення, то крива сукупного попиту зміститься вліво (АD1 на рисунку); якщо усі вони діятимуть у бік збільшення, крива попиту зміститься вправо(АD2). Все це відбуватиметься незалежно від зміни рівня цін.

11. Модель простого і розширеного відтворення сукупного суспільного капіталу

У процесі розширеного відтворення різні частини суспільного продукту (ССП) виконують різні функції й тому виступають у різних формах.Та частина суспільного продукту, за рахунок якої відновлюються спожиті засоби виробництва, виступає як фонд заміщення (ФЗ). Після реалізації суспільного продукту вона повинна бути знову повернена у виробництво, щоб забезпечити початок нового виробничого циклу.

Частина суспільного продукту, яка надходить у споживання у вигляді оплати праці, доходів підприємців, різноманітних соціальних виплат, складає фонд споживання (ФС). Частина, яка йде на нагромадження (розширення виробництва), – це фонд нагромадження (ФН). Отже, функціональна структура суспільного продукту може бути представлена як сукупність трьох його функціональних форм: ССП = ФЗ + ФС + ФН. В умовах ринкової економіки суспільний продукт виступає як у вартісній, так і в натурально-речовій формах. Вартісна структура суспільного продукту – це сума вартості спожитого постійного капіталу (С), змінного капіталу (V) й додаткової вартості (т). Розгляд суспільного продукту за вартістю дає можливість з'ясувати, як в умовах ринкової економіки формується сукупний попит і в яких формах.

Хоча таблиця Кене була внутрішньо суперечливою: він, наприклад, виходив з того, що продуктивною є лише праця в землеробстві, що промисловий клас – «безплідний», тобто ніякого прибутку не створює, проте вона дала поштовх для серйозних досліджень процесу відтворення суспільного капіталу на макрорівні. Хоча спроба Кене проаналізувати відтворення всього суспільного капіталу розцінюється тепер як геніальна, сучасниками вона не була правильно оцінена й тому довгий час не отримувала подальшого розвитку. Лише через сто років К. Маркс, використовуючи економічну таблицю Кене як відправну модель, побудував свої схеми відтворення. Що вони собою являють? К. Маркс вперше поділив суспільне виробництво на два підрозділи, а суспільний продукт став розглядати як у вартісній, так і в натурально-речовій формах, що дало можливість визначити напрями формування сукупного попиту, а на цій основі встановити пропорції, необхідні для того, щоб суспільне виробництво повторювалось безперервно, нарощуючи свій потенціал, тобто, щоб ішов процес економічного зростання. При аналізі відтворення суспільного капіталу К. Маркс, як і Кене, застосовує ряд припущень (абстракцій). По-перше, капіталістичне виробництво розглядається в чистому вигляді. Це означає абстрагування від докапіталістичних форм виробництва й припущення, що все виробництво ведеться капіталістичним шляхом, а все суспільство складається лише з найманих робітників і підприємців. Хоча в дійсності чистого капіталізму не існує. По-друге, допускається, що всі товари продаються й купуються згідно з вартістю. Хоча в кожному конкретному випадку такий збіг практично неможливий. Таке припущення виправдане тим, що в кінцевому результаті відхилення цін від вартості взаємно врівноважується. По-третє, не беруться до уваги операції по зовнішній, торгівлі. Це стає можливим, оскільки країни не тільки вивозять товари, але і ввозять їх, що породжує певну рівновагу в суспільстві. Ці абстракції не тільки необхідні, але й науково виправдані. Вони дають можливість, не ускладнюючи процес дослідження, вирішити складну проблему реалізації суспільного продукту й на основі цього з'ясувати необхідні пропорції відтворення суспільного капіталу.

Які ж висновки випливають з проробленого К. Марксом аналізу відтворення суспільного капіталу? Вони наступні: 1 реалізація сукупного продукту на макрорівні в принципі можлива, отже, суспільне виробництво може розвиватися без економічних криз; 2) проте ця реалізація безперешкодно може проходити лише за певних умов, будь-яке порушення яких викличе деформацію процесу відтворення. Отже, головна проблема, яку намагалися розв'язати і Кене, і Маркс, була проблемою макроекономічної рівноваги, а також з'ясування умов, за яких вона існує. За своїм змістом поняття «економічна рівновага» – це такий стан економіки, при якому досягається стале врівноваження та взаємне збалансування структур, що протистоять одна одній (виробництво й споживання, попит і пропозиція).

12. Міжгалузевий баланс

Міжгалузевий баланс (у міжнародній практиці баланс затрати – випуск) дає найбільш повний вихідний статистичний матеріал для аналізу виробництва й розподілу суспільного продукту й для планування економічно обґрунтованих народногосподарських пропорцій. Застосування цього методу є особливо важливим для України з її розбалансованою економікою.

Статична модель «витрати-випуск» або модель міжгалузевого балансу (МГБ) є основою багатьох лінійних моделей виробничого сектора економіки. Вона базується на понятті «чиста галузь» (галузь):

1) галузь випускає лише один продукт;

2) кожен продукт випускається лише однією галуззю;

3) кожна галузь має єдину технологію;

4) не допускається заміщення ресурсів.

Припустимо, що весь виробничий сектор народного господарства (н/г) розбито на чистих галузей. В процесі виробництва кожна з галузей потребує, взагалі кажучи, продукцію вироблену, іншими галузями. Отже, виробляється продуктів. І нехай в масштабі н/г маємо балансовий звіт за підсумками певного періоду.

Умовою взаємно-однозначної відповідності МГБ-ів, які використовують різні показники (вимірники), є незмінне співвідношення масштабів цих показників за кожним видом продукції. Наприклад, якщо в одному МГБ (в натуральному виразі) електроенергія вимірюється в кіловат-годинах, а в іншому (у вартісному виразі) – в гривнях, то кожній гривні електроенергії завжди повинна відповідати одна й та ж кількість кіловат-годин, як би ця енергія не використовувалася.

13. Цикли ділової активності. Відхилення реального ВВП від потенційного рівня. Поняття, види та типи інфляції

Зростання і падіння обсягів національного виробництва, цін, процентних ставок і зайнятості складають діловий цикл, який є характерною рисою ринкової економіки. Економічний цикл (цикл ділової активності) – це періодичний підйом або спад реального ВВП на фоні загальної тенденції до зростання. Причинами циклічності можуть бути: – технічні нововведення (НТР); – політичні й випадкові події; – зміни в кредитно-грошовій політиці (коливання обсягів грошової маси); – нестача національних інвес

Подобные работы:

Актуально: