Полимерные композиты на основе диальдегилцеллюлозы и полигуанилинметакрилата
Одним из интенсивно развивающихся направлений химии высокомолекулярных соединений является синтез новых полимеров и химическая модификация известных природных и синтетических полимеров, осуществляемые с целью получения веществ, обладающих биологической активностью. Большой интерес, в частности, представляет использование для таких синтезов полисахаридов. В настоящее время на их основе получены как нерастворимые, так и растворимые в воде биологически активные полимеры. Для синтеза нерастворимых в воде полимеров в целом ряде случаев целесообразно использовать доступный и дешевый природный волокнообразующий полисахарид - целлюлозу. В общей проблеме химической модификации целлюлозы синтез биологически активных целлюлозных материалов является одним из наиболее интересных и перспективных направлений.
Известно, что биологически активные полимеры должны удовлетворять ряду требований:
1) быть биосовместимыми, не обладать высокой токсичностью, не подавлять иммунную систему;
2) иметь небольшую скорость выведения и выводиться из организма после выполнения своей функции;
Все это накладывает определенные требования к их структуре, молекулярной массе и молекулярно-массовому распределению.
Хорошо известно, что соединения, содержащие в своем составе гуани-диновую группу, обладают широким спектром бактерицидного действия и используются в качестве лечебных препаратов и фунгицидов, поэтому присутствие в элементарном звене полимеров гуанидиновой группы должно придавать им высокую биоцидную активность
В связи с вышесказанным, объектами наших исследований стали процессы синтеза новых биоцидных нанокомпозитов на основе диальдегидцел-люлозы и полигуанидинметакрилата.
Целью настоящей работы является создание нового биоцидного би-матричного нанокомпозита на основе производного целлюлозы и катионного полиэлектролита - полигуанидинметакрилата. Исходя из поставленной цели, перед нами стояли следующие задачи:
- отработать методику окисления целлюлозы до диальдегидцеллюлозы;
- отработать методику синтеза винилсодержащего мономера на основе ме-такриловой кислоты и гуанидина;
- разработать оптимальную методику взаимодействия диальдегидцеллюлозы с гуанидинметакрилатом;
- осуществить синтез биматричного нанокомпозита;
- исследовать биоцидные свойства синтезированного нанокомпозита
Методы исследований. Для достижения поставленных задач мы использовали работы отечественных и зарубежных ученых. С целью получения достоверных и обоснованных данных нами использовались современные методы исследований, такие, как элементный анализ, ИК-спектроскопия, рент-геноструктурный анализ и др.
Научная новизна. Синтез мономеров и нанокомпозитов, содержащих гуанидиновые группы, обладающих биоцидными свойствами, является перспективным и новым направлением в полимерной химии и медицине.
Дипломная работа состоит из введения, литературного обзора, обсуждения результатов, экспериментальной части, выводов, списка цитируемой литературы.
Во введении определен объект исследований, сформулированы цель работы и основные задачи исследования.
В литературном обзоре приведен аналитический обзор литературы как отечественной, так и зарубежной, охватывающий вопросы синтеза биологически активных полимеров, строения и окисления целлюлозы, синтеза целлюлозных материалов, содержащих антимикробные вещества, способов получения и областей применения антимикробных целлюлозных волокнистых материалов
В экспериментальной части представлены методики окисления целлюлозы, синтеза мономера - гуанидинметакрилата, получения продукта взаимодействия диальдегидцеллюлозы с гуанидинметакрилатом, тчъдаа тазьуэджйъ тшшизят та методы ^следования свойств полученных веществ.
В обсуждении результатов приведены результаты проведенных исследований, подведены итоги проделанной работы.
Объем и структура работы. Квалификационная работа изложена на 60 страницах, содержит 5 таблиц, 6 рисунков, библиографических ссылок.
Автор считает своим долгом выразить благодарность профессору кафедры органической химии Мусаеву Юрию Исрафиловичу, доценту кафедры высокомолекулярных соединений Хашировой Светлане Юрьевне, сотрудникам спектральной лаборатории кафедры неорганической и физической химии за помощь в выполнении квалификационной работы.
1. Литературный обзор
1.1 Биоцидные свойства гуанидинсодержащих соединений
Хорошо известно, что соединения, содержащие в своем составе гуано-диновую группу, обладают широким спектром бактерицидного действия и используются в качестве лечебных препаратов и фунгицидов, поэтому присутствие в элементарном звене полимеров гуанидиновой группы должно придавать им высокую биоцидную активность. Следует отметить, что существующие в настоящее время гуанидинсодержащие полимеры получены методом поликонденсации и имеют незначительные молекулярные массы (ММ).
Получение гуанидинсодержащих полимеров методом радикальной полимеризации позволит снизить энергетические затраты, упростить методику синтеза и получать полимеры с широким набором молекулярной массы и физико-химических свойств. Поэтому изучение возможности получения новых гуанидинсодержащих полиэлектролитов методом радикальной полимеризации весьма актуально (1 - 5).
Поскольку гуанидиновые производные значительно эффективнее четвертичных аммониевых соединений, а также не инактивируются белками и биоразлагаемы, они находят широкое применение в качестве физиологически активных веществ: лекарств, антисептиков, пестицидов (6, 7).
Гуанидиновые соединения широко распространены в природе. К ним относятся: аминокислота аргинин, фолиевая кислота, многочисленные белки и нуклеиновые кислоты. Гуанидиновая группировка служит началом многих лекарственных веществ (сульгин, исмелин, фарингосепт) и антибиотиков (стрептомицин, бластицидин, мильдомицин). Производные гуанидина, например, алматины и хордатины (8) представлены и среди специфических веществ, с помощью которых растения защищаются от атаки микроорганизмов.
Первые данные о биоцидных свойствах гуанидиновых производных и полимеров на их основе были опубликованы в патентной литературе (9-14).
В указанных патентах описывается применение подобных соединений в качестве инсектицидов и отмечается, что соответствующие соединения особенно активны против грибковых заболеваний на фруктовых деревьях. В патенте (14) описаны специфические гуанидированные полиамины для применения против патогенных микроорганизмов.
К наиболее сильным из известных гуанидиновых антисептиков относятся «хлоргексидин» (1,6-бис-4,4-хлорфеноксибигуанидогексин) (7), низкомолекулярный полигексаметиленбигуанидин - «вантоцил» (15, 16) и «космо-цил» (17).
Так, например, хлоргексидин используется в качестве дезинфицирующего средства в виде солей (гидрохлорида, ацетата, глюконата) и широко рекомендуется за рубежом в виде растворов, мазей, присыпок как эффективное дезинфицирующее средство в хирургии для борьбы с внутрибольничными инфекциями, лечения кожных заболеваний и бытовых целей. Однако, следует отметить, что хлоргексидин, вантоцил и космоцил получают по сложной 4-х стадийной технологической схеме, кроме того при их синтезе исходным сырьем служит хлорциан, поэтому технологический процесс дорог и опасен.
В нашей стране был разработан процесс производства полимерного гуанидинового антисептика - полигексаметиленгуанидингидрохлорида (ПГМГ) («метацид», «полисепт») (18, 10), исходя из гексаметилендиамина и гидрохлорида гуанидина:

В дальнейшем было предложено объединить в одном процессе синтез гуанидингидрохлорида и получение из него ПГМГ (20).
Так как три аминогруппы гуанидингидрохлорида имеют различную реакционную способность, то молекулярную массу и структуру «полисепта» удается регулировать, изменяя условия реакции и содержание гексаметилендиамина в исходной смеси (21). Так, при сравнительно низких температурах для процесса поликонденсации (120-130°С) в реакцию с гексаметилендиами-ном вступают преимущественно две аминогруппы гуанидингидрохлорида, образуя хорошо растворимый линейный олигомер с ММ=1,7-12,5х10 . При увеличении количества гексаметилендиамина в реакционной смеси сверх одного моля на 1 моль гуанидингидрохлорида и повышении температуры до 180-20О°С в реакцию может вступать третья аминогруппа и образуется разветвленный полимер, который имеет ММ 20-43x103.
Различные соли ПГМГ (фосфат, глюконат, дегидроцет, сорбат, фторид, сульфат, нитрат, силикат, ацетат, стеарат, олеат, фумарат, сукцинат, адипи-нат, себацинат) были получены при действии различных кислот или их солей на основание или карбонат ПГМГ (22). Среди указанных полимерных солей наибольшее практическое значение помимо «полисепта» имеют фосфат «фо-гуцид» и глюконат. По сравнению с «полисептом», фогуцид менее токсичен и коррозионноактивен.
Поликонденсационные полимеры: «полисепт» и «фогуцид» рекомендованы Минздравом в качестве дезинфицирующего средства в лечебных учреждениях и роддомах (23), а также в ветеринарии (24).
По данным, указанным в работе (25), растворы «полисепта» в концентрации 0,1-0,05% вызывают гибель грамположительных и грамотрицатель-ных микроорганизмов: коринебактерий дифтерии (с. Duphtheretiae), золотистого стафилококка (St.aureus), а также St.aibus и St. faekalis, брюшнотифозной палочки (S.typhi), шигелл Зонне и Флекснера (Shigella Sonnae, Flexneri), кишечной палочки (E.Coli), сальмонелл Бреслау и Гертнера (Salmonella th.murum), вульгарного протея (Proteus Vulgarus), синегнойной палочки (Ps.aeruginosa) в течение 5-25 минут.
Перспективным является применение гуанидин содержащих полимеров для лечения заболеваний вирусной этиологии. Разработанные и применяемые в настоящее время противовирусные препараты проявляют свое защитное действие путем инактивации вирусов во внешней среде, предохранения восприимчивых тканей и клеток от адсорбции на них вирусных частиц, преду преждения миграции нового поколения вирусных частиц из инфицированных клеток и нарушения синтеза вирусов в восприимчивых клетках. Интерес к применению синтетических полимеров для вирусологических целей возник после того, как была установлена возможность ингибировании действия ферментов, размножения бактерий и развития опухолей под влиянием некоторых биологических и синтетических полимеров. По данным института Вирусологии им. Д.И. Ивановского АМН, защитным противовирусным эффектом обладают полимеры, содержащие гуанидиновую группировку, в частности, «полисепт» и «фогуцид». В результате проведенных исследований было установлено, что эти вещества обладают сильным вирулицидным действием по отношению к вирусам герпеса простого, вируса СПИДА, вируса гепатита А, вируса тропической лихорадки: при 15-20 мин экспозиции 2% раствора препарата с вирусосодержащими жидкостями (при комнатной температуре) инфекционный титр вирусов снижается в 1000 и более раз.
Механизм защитного противовирусного действия синтетических полимеров, возможно, связан с блокадой ими поверхностных рецепторов клеток (26).
По сравнению с другими катионными полиэлектролитами использование гуанидинсодержащих биоцидных полимеров имеет еще одно положительное преимущество.
При использовании синтетических биоцидных полимеров следует учитывать их биодеградируемость в живом организме. В случае использования небиодеградируемых синтетических полимеров существенное значение имеет их молекулярная масса, поскольку полимеры с молекулярной массой выше 50000 не могут выводиться через почки, а накапливаются в почечных канальцах, вызывая выраженные токсические эффекты. В этом отношении биоцидный эффект гуанидиновых соединений физиологичен, и в живом организме имеются ферментные системы, способные вызывать деградацию этих соединений, предотвращая их кумуляцию (28).
1.2 Биологически активные полимеры
Известно, что биологически активные полимеры должны удовлетворять ряду требований:
1) хорошо растворяться в воде и солевых растворах;
2) быть биосовместимыми, не обладать высокой токсичностью, не подавлять иммунную систему;
3) иметь небольшую скорость выведения и выводиться из организма после выполнения своей функции;
Все это накладывает определенные требования к их структуре, молекулярной массе и молекулярно - массовому распределению (ММР).
Чаще всего синтетические биологически активные полимеры представляют собой гибрид синтетического полимера-носителя с биологически активным веществом, Биологическая активность таких гибридных систем определяется в основном свойствами присоединенного к полимеру-носителю вещества.
Одним из способов получения водорастворимых биологически активных полимеров является синтез гидрофильных мономеров на основе гидрофобных биологически активных веществ (БАВ) и ионогенных ненасыщенных карбоновых кислот (акриловой, метакриловой и т.п.)
Метакриловая и акриловая кислота и их производные характеризуются значительной реакционной способностью в реакциях радикальной гомо- и сополимеризации. Производные метакриловой кислоты, содержащие химически активные функциональные группы, представляют собой перспективный ряд мономеров. Соответствующие им полимеры могут сохранять потенциал активности, являясь удобными носителями биологически активных веществ. Потребность в них применительно к самым разнообразным отраслям, начиная от техники и кончая медициной, естественно стимулирует и, несомненно, оправдывает необходимость изучения особенностей протекания процессов синтеза и механизма образования этого класса полимерных соединений (28, 29).
1.3 Строение целлюлозы
Целлюлоза - важнейший представитель полисахаридов, одного из классов природных полимеров, макромолекулы которых построены из элементарных звеньев (остатков) различных моносахаридов, соединенных между собой ацетальной (гликозидной) связью. Макромолекула целлюлозы состоит из остатков D-глюкозы - моносахарида, углеродный скелет молекулы которого содержит шесть атомов углерода. При этом элементарное звено имеет структуру шестичленного кислородсодержащего гетероцикла, а в образовании гликозидной связи между элементарными звеньями наряду с альдегидной группой, расположенной у первого углеродного атома одного элементарного звена, принимает участие гидроксильная группа у четвертого углеродного атома соседнего звена.
Важной характеристикой строения макромолекулярной цепи полисахаридов является не только направление гликозидной связи, но и ее конфигурация. Гликозидная связь в макромолекуле целлюлозы имеет (3-конфигурацию (обозначение, принятое для связи, имеющей противоположную пространственную ориентацию по сравнению с конфигурацией асимметрического углеродного атома С-5 в молекуле глюкозы). Гликозидные связи сравнительно легко подвергаются расщеплению под действием воды в присутствии кислотных катализаторов (процесс гидролиза). Это обстоятельство обусловливает относительную неустойчивость целлюлозы к действию водных растворов кислот. В то же время в условиях щелочного гидролиза гликозидные связи целлюлозы достаточно стабильны. Однако эта стабильность характерна лишь для систем, в которых отсутствует молекулярный кислород. Наличие же кислорода приводит к изменению механизма реакции - переходу от чистого гидролиза к значительно более сложному процессу, включающему последовательно протекающие реакции окисления и гидролиза (30).
Возможность получения разнообразных производных целлюлозы определяется в первую очередь ее функциональным составом. С этой точки зрения целлюлозу можно рассматривать как полимерный полиатомный спирт, в элементарных звеньях макромолекул которого содержатся три гидроксильные группы: первичная - у шестого атома углерода и две вторичные -у второго и третьего атомов углерода. Элементарное звено макромолекулы целлюлозы находится в энергетически наиболее выгодной конформации кресла С1, в которой гидроксильные и гидроксиметильная группы расположены экваториально (то есть располагаются приблизительно в плоскости, образуемой вторым, третьим и пятым атомами углерода и атомом кислорода пиранозного цикла) и благодаря такому положению обладают высокой реакционной способностью в различных химических реакциях. Именно индивидуальные свойства гидроксильных групп позволяют в результате их химических превращений осуществить синтез простых и сложных эфиров целлюлозы, продуктов ее окисления.
Особое внимание уделяется целлюлозе как представителю класса природных высокомолекулярных соединений, поскольку имеется возможность ее воспроизводства в природных условиях в процессе фотосинтеза, а также разнообразие свойств и, соответственно, областей применения многочисленных производных целлюлозы. За последние десятилетия появилась большая группа материалов, при получении которых были реализованы различные подходы модификации целлюлозы: термические превращения, синтез привитых сополимеров, образование пространственной структуры. Все это позволило создать углеродные и другие сорбционно-активные материалы, материалы медицинского назначения с пролонгированным эффектом действия лекарственных препаратов, волокна-биокатализаторы, содержащие иммобилизованные ферменты, повысить эластические характеристики текстильных материалов из целлюлозных волокон. На более отдаленную перспективу целлюлозу можно рассматривать как источник экологически чистого возобновляемого сырья для создания новых технологических процессов получения мономеров для синтетических полимеров (33).
1.4 Окисление целлюлозы
Действие окислителей на целлюлозу имеет место во многих производственных процессах, основанных на переработке целлюлозы или целлюлозосо-держащих растительных материалов.
Процесс окисления целлюлозы представляет большой научный интерес, так как путем избирательного окисления отдельных спиртовых групп удаётся ввести в макромолекулу целлюлозы новые функциональные группы - карбонильные (альдегидные и кетоновые) или карбоксильные - и получить препарат окисленной целлюлозы, обладающей новыми свойствами.
В качестве окислителей целлюлозы могут быть применены реагенты, окисляющие первичные или вторичные спиртовые группы, либо приводящие к образованию перекисных соединений.
Продукты, которые получаются при действии окислителей на целлюлозу, и которые в результате частичного окисления гидроксильных групп отличаются по химическому составу от исходной целлюлозы, носят название оксицеллюлоз. В большинстве случаев процесс частичного окисления спиртовых групп сопровождается понижением степени полимеризации целлюлозы. Известен, однако, ряд методов получения оксицеллюлоз, при которых деструкции целлюлозы не происходит. В отличие от условий образования про-
дуктов гидролиза целлюлозы процесс окисления целлюлозы не сопровождается обязательным снижением степени полимеризации целлюлозы. Процесс окисления целлюлозы протекает в несколько стадий. В начальной стадии происходит частичное окисление спиртовых групп целлюлозы или, возможно, присоединение кислорода к гликозидному гидроксилу с образованием перекисных соединений. На дальнейших стадиях процесса окисления в большинстве случаев происходит деструкция макромолекул целлюлозы и при более интенсивном окислении - образование низкомолекулярные моно- и дикарбоновых оксикислот. При полном окислении целлюлозы образуются углекислый газ и вода.
![]()
Продукты окисления целлюлозы не являются химически физически однородными.
Неоднородность по величине макромолекул и по химическому составу оксицеллюлоз, получаемых при действии различных окислителей на целлюлозу, так же как неоднородность других производных целлюлозы, объясняется следующими факторами:
1) неодинаковой доступностью макромолекул или их звеньев, действию окислителей и, следовательно, различной скоростью их окисления;
2) избирательным действием некоторых окислителей на первичные или вторичные спиртовые группы целлюлозы;
3) различной степени деструкции макромолекул целлюлозы в процессе окисления.
Препараты, получаемые при окислении целлюлозы, являются химически неоднородными продуктами. Они отличаются по характеру функциональных групп, образующихся при окислении спиртовых групп целлюлозы. Кроме того, при окислении целлюлозы могут получаться вещества с различным положением образовавшихся функциональных групп в элементарных звеньях макромолекул окисленной целлюлозы, т.е. изомерные соединения. Поэтому продукты окисления целлюлозы, получаемые по разным методам, значительно различаются как по составу, так по свойствам (33, 34).
При действии окислителей на целлюлозу могут иметь место следующие реакции избирательного окисления отдельных групп:
I. Окисление первичных спиртовых групп элементарного звена до альдегидных групп:

II. Окисление первичных спиртовых групп до карбоксильных групп:
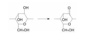
III. Окисление вторичных спиртовых групп элементарного звена (в положении 2 или 3) до кетогрупп, например


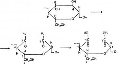
IV. Одновременное окисление вторичных спиртовых групп в положениях 2 и 3 до альдегидных групп, сопровождающееся разрывом пиранового цикла элементарного звена:

V. При комбинированном действии окислителей может произойти дальнейшее окисление альдегидных групп, образующихся при окислении вторичных спиртовых групп, до карбоксильных групп:

Кроме того, принципиально возможно присоединение кислорода к «кислородному мостику» между элементарными звеньями макромолекул целлюлозы или к амиленоксидному кольцу элементарного звена макромолекулы с образованием перекисей. Звенья перекиси затем распадаются и обуславливают разрыв глюкозной связи между звеньями или расщепление пиранового цикла. До настоящего времени удалось осуществить не все перечисленные схемы избирательного окисления различных спиртовых групп целлюлозы. В большинстве случаев при действии различных окислителей на целлюлозу происходит одновременное окисление как первичных, так и вторичных спиртовых групп с образованием в различном соотношении альдегидных, кетон-ных и карбоксильных групп, находящихся у различных атомов углерода элементарного звена макромолекулы.
В зависимости от условий проведения процесса, в частности от рН среды, в отдельных случаях удается изменять соотношение карбонильных и карбоксильных групп в макромолекулах окисленной целлюлозы. Регулировать соотношение между скоростью окисления первичных и вторичных спирто вых групп целлюлозы, что имеет большое значение для свойств получаемых продуктов, пользуясь окислителями, применяемыми в технике, пока не представляется возможным.
В последние годы разработаны методы избирательного окисления спиртовых групп молекул целлюлозы по схемам II, IV и V. Реакции избирательного окисления спиртовых групп по схеме II и III, т.е. окисление только первичных спиртовых групп до альдегидных групп или окисление только вторичных спиртовых групп до кетогрупп без разрыва пиранового кольца пока не осуществлены.
Окисление целлюлозы некоторыми типами окислителей (йодная кислота и ее соли, тетраацетат свинца, двуокись азота) может быть использовано для синтеза ряда производных целлюлозы, содержащих альдегидные или карбоксильные группы преимущественно у определенных углеродных атомов элементарного звена макромолекулы. Необходимо, однако, отметить, что в некоторых из образующихся при окислении соединений, например в продукте окисления целлюлозы йодной кислотой - диальдегидцеллюлозе и ее производных, пиранозный цикл, наличие которого является характерной особенностью химической структуры целлюлозы, разрушен в процессе окисления (35).
1.5 Избирательное окисление вторичных спиртовых групп йодной кислотой
Метод одновременного окисления обеих вторичных спиртовых групп целлюлозы, также как и других полисахаридов и моносахаридов, до альдегидных групп разработан в 1935- 1938 г. Гудсоном и Джаксоном. Для этой цели была использована реакция окисления целлюлозы йодной кислотой. При действии йодной кислоты на многоатомные спирты, в частности на мо-но- и полисахариды, происходит одновременное окисление в альдегидные группы двух соседних спиртовых групп (гликолевая группировка) с одновременным разрывом углерод - углеродных связей между ними. Для целлю лозы процесс окисления протекает с разрывом пиранового кольца и образованием диальдегидцеллюлозы. При последующем окислении образуется ди-карбоксилцеллюлоза.

Первичные спиртовые группы при действии йодной кислоты не окисляются. Продукт окисления целлюлозы йодной кислотой представляет собой полиполуацеталь эритрозы и глиоксаля. Он назван Роговиным диальдегид-целлюлозой и может быть отнесен к оксицеллюлозам только условно, поскольку один из основных признаков целлюлозы (наличие пиранового цикла) у этих соединений отсутствует.
Окисление в молекуле целлюлозы даже очень небольшого числа глико-левых групп до диальдегидных резко понижает устойчивость гликозидных связей к действию щелочей и даже горячей воды.
Интенсивной деструкцией препаратов диальдегидцеллюлозы в щелочной среде объясняется крайне низкая вязкость медноаммиачных растворов диальдегидцеллюлозы. Сравнительное исследование скорости кислотного гидролиза целлюлозы и диальдегидцеллюлозы (35, 36) позволило сделать вывод о том, что образование диальдегидных групп также значительно уменьшает устойчивость гликозидных связей к гидролизу. Аналогичные данные были получены для низкомолекулярных модельных соединений.
Хид (37) при метилировании диальдегидцеллюлозы со степенью окисления (среднее количество окисленных гликолевых групп на элементарное звено) до 0,93 0,5 М эфирным раствором диазометана, содержащим 25 г/л воды, получил продукт с содержанием метоксильных групп до 18,6% (степень замещение около 1,0). Неокисленная целлюлоза, подвергнутая метилированию в аналогичных условиях, содержит не более 6 % СНЗО - групп. Продукт метилирования диальдегидцеллюлозы не растворяется в медноам-миачном растворе; медное число меньше 1.
При взаимодействии диальдегидцеллюлозы (содержание альдегидных групп 18%) с газообразной двуокисью азота в присутствии Р2О5 (37) происходит полное превращение спиртовых и полуацетальных гидроксильных групп, а также гидратированных альдегидных групп в нитратные группы (для продукта взаимодействия вычислено: N 13,61%; найдено: N 12,78%, СНО 0,73%):
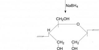
Восстановление альдегидных групп в диальдегидцеллюлозе до гидроксильных впервые было осуществлено Меллером (20, 30) действием водных растворов боргидрида натрия. Реакция восстановления протекает по схеме:


Линдберг и Тиндер использовали восстановление диальдегидцеллюлозы боргидридом натрия как количественный метод определения карбонильных групп в продуктах окисления целлюлозы. Детальное исследование условий восстановления было осуществлено Хидом. Как было показано в работе, восстановление альдегидных групп в гидроксильные повышает устойчивость гликозидной связи к действию щелочных реагентов (32, 35).
При восстановлении боргидридом натрия диальдегидцеллюлозы с высокой степенью окисления и последующем гидролизе был получен эритрит.
1.6 Синтез целлюлозных материалов, содержащих антимикробные вещества
Методы синтеза производных целлюлозы и получения модифицированных волокнистых материалов, содержащих химически связанные антимикробные вещества, разрабатываются на протяжении последних двадцати лет. Однако до настоящего времени окончательно не решен один из важнейших вопросов, возникающих при разработке этой проблемы - вопрос о том, при каких типах химической связи между антимикробным веществом и макромолекулой целлюлозы проявляется антимикробная активность материала, как влияет строение указанных полимеров на их химические и антимикробные свойства. Систематическое исследование этой проблемы имеет существенное теоретическое и большое практическое значение, так как только научно обоснованный подход позволит создать высокоактивные антимикробные волокнистые материалы, антимикробные свойства которых будут сохраняться на протяжении всего периода применения изготовленных из них изделий даже при очень жестких условиях эксплуатации и многократных мокрых обработках.
Вопрос о влиянии строения производных целлюлозы, содержащих химически связанные антимикробные вещества, на антибактериальные свойства этих полимеров был изучен в цикле работ, обобщенных в (38, 39). В этих работах были синтезированы производные целлюлозы (в виде волокнистых материалов), содержащие антимикробные вещества акридинового ряда, гало-генпроизводные фенола (ГПФ), галогены или ионы серебра, связанные с различными функциональными группами макромолекулы модифицированной целлюлозы разными типами химических связей (координационными, ионными, лабильными и стабильными ковалентными), и исследована их антимикробная активность в опытах in vitro (строение некоторых из указанных производных целлюлозы и данные об них антимикробной активности представлены в табл. 1- 3, стр. 31-33)(39).
Антибактериальная активность изучалась методом «инфицированного агара» (при этом определяли зоны задержки роста микроорганизмов вокруг образца ткани) и при капельном методе заражения образцов ткани микроорганизмами (при этом определяли степень снижения бактериальной обсеме-ненности образца ткани по сравнению с обычной не модифицированной целлюлозной тканью). На основании анализа результатов полученных в работах (38, 39), был сделан вывод, что антимикробной активностью обладают только те производные целлюлозы, в которых антимикробные вещества присоединены к полимеру ионной, лабильной ковалентной или координационной связью.
Полимеры с прочной ковалентной связью между производным целлюлозы и антимикробным веществом не обладают антибактериальной активностью. К таким материалам относятся простые эфиры целлюлозы, содержащие антимикробные вещества, присоединенные связью C-N, модифицированные целлюлозные материалы, в которых галогены присоединены к алифатическому или ароматическому остатку простого эфира целлюлозы связью С -галоген, а также соединения, полученные при взаимодействии 3 - хлор - 2-гидроксипропилового эфира целлюлозы с ГПФ (между антимикробным веществом и алкильным остатком производного целлюлозы образуется простая эфирная связь).
Проведенные исследования позволили обосновать и сформулировать представления о механизмах антимикробного действия волокнистых материалов содержащих химически связанные антимикробные вещества: антимикробная активность изученных волокнистых материалов, обусловлена тем, что антимикробное вещество, присоединенное химической связью к функциональной группе модифицированной целлюлозы, постепенно отщепляется от этой группы вследствие гидролиза связи, диффундирует из волокнистого материала и вступает во взаимодействие с микробной клеткой (38, 39).
В настоящее время описано получение большого числа производных целлюлозы и других волокнообразующих полимеров разного строения, содержащих различные антимикробные вещества, присоединенные ионной или координационной связью, которые обладали антимикробной активностью (37 - 44). Совершенно очевидно, что в этом случае антимикробная активность полимерных материалов может быть обусловлена гидролизом связи функциональная группа полимера - антимикробное вещество.
Возможность синтеза производных целлюлозы (а также и других волокнистых материалов), обладающих антимикробными свойствами, путем присоединения антимикробного препарата к полимерам поляризованной, сравнительно легко гидролизующейся альдиминовой связью C=N была показана в ряде работ, где к модифицированной целлюлозе, содержащей альдегидные группы, присоединяли антимикробные вещества, в молекуле которых имелись гидразидные группы, ароматические или алифатические аминогруппы (41, 47 - 49). В то же время в работе (50) показано, что диальдегидцеллюлоза, обработанная 5-нитрофурфурилиденгидразоном (между полимером и антимикробным веществом образуется связь C=N), не проявляла антимикробной активности (не давала зоны роста микроорганизмов при испытании по методу "инфицированного агара"), хотя обладала высокой устойчивостью к действию плесени. Авторы работы (50) объясняют этот неожиданный для них факт тем, что 5-нитрофурфурилиденгидразон нерастворим в воде.
По-видимому, выделившийся в результате гидролиза связи C=N 5-нитрофурфурилиденгидразон не диффундирует из волокнистого материала, и поэтому вокруг образца материала при определении антимикробной активности методом "инфицированного агара" нет зоны задержки роста микроорганизмов. В то же время присутствие на волокнистом материале антимикробного вещества защищает его от образования плесени.
В цикле исследований, обобщенных в работе (55), было показано, что антимикробными свойствами обладают подвергнутые бромированию, йодированию или роданированию сложные эфиры целлюлозы и непредельных алифатических кислот (метакриловой, сорбиновой, олеиновой), а также эфиры целлюлозы с фурановой и коричной кислотами. Антимикробная активность синтезированных сложных эфиров целлюлозы может быть обусловлена тем, что под влиянием атомов галогена или родановых группировок гидролитическая устойчивость сложноэфнршй связи снижается, и полимерный материал проявляет антимикробные свойства благодаря постепенному отщеплению остатков галогенированных или роданированных кислот.
Возможность придания целлюлозным волокнистым материалам антимикробных свойств при присоединении антимикробных веществ эфирной связью была подтверждена в последние годы в ряде pаботе. В работах (56-58) показано, что производные целлюлозы, синтезированные по схемам (2) и (3), (стр. 25) обладают антимикробными свойствами.
В настоящее время не выяснено окончательно, обладают ли антимикробной активностью производные целлюлозы, содержащие четвертичные аммониевые или фосфониевые группы, и для каких целей могут быть использованы такие материалы.
Известно, что растворимые в воде низкомолекулярные и полимерные четвертичные аммониевые соединения, осаждаясь снаружи на клеточную стенку микроорганизма, изменяют ее проницаемость, вызывая лизис клетки. Вероятно, что при контакте с указанным выше волокнистым материалом также происходит лизис микробных клеток.
Антимикробные свойства волокнистых материалов, содержащих химически присоединенные антимикробные вещества, как было показано выше, зависят от устойчивости к гидролизу связи полимер - антимикробное вещество. Однако в рассмотренных выше работах эта зависимость была исследована только качественно, и практически полностью отсутствуют количественные характеристики устойчивости к гидролизу связей между антимикробными веществами и функциональными группами модифицированной целлюлозы, а также данные о зависимости антибактериальных свойств волокнистых материалов от количества десорбирующихся с целлюлозных волокон антимикробных веществ.
Анализ приведенных выше литературных данных показывает, что в последние годы синтезировано большое число производных целлюлозы, содержащих разные антимикробные вещества, присоединенные различными типами химических связей. В настоящее время происходит процесс накопления экспериментальных данных о влиянии строения нерастворимых в воде производных целлюлозы, содержащих химически связанные антимикробные вещества, и характера связи между молекулой антимикробного вещества и макромолекулой полимера на антимикробные свойства волокнистого материала. Установлено, что антимикробная активность волокнистых материалов, содержащих антимикробные вещества, присоединенные ионной или координационной связью, обусловлена отделением ан