Химические методы определения сахаров
Общее представление о веществах, обьединяемых под названием «сахара»
Пищевые продукты содержат главным образом дисахариды (сахароза, мальтоза, лактоза), моносахара (глюкоза, галактоза, фруктоза); из трисахаридов — в основном раффинозу. Для большинства продуктов нормируется суммарное содержание сахаров (общий сахар), а для некоторых веществ (карамель, патока и др.), кроме того, содержание редуцирующих сахаров, т. е. сахаров, способных легко окисляться. Все перечисленные выше сахара (за исключением сахарозы) обладают редуцирующей способностью. Общий сахар — это суммарное содержание сахарозы и восстанавливающих низкомолекулярных сахаров, выраженное в процентах сахарозы. В последние годы термин «сахара» применяют только по отношению к моносахаридам.
Молекулярная интерпретация химических — аналитически значимых — свойств сахаров
В природе моносахариды (монозы) распространены и имеют наибольшее значение пентозы общей формулы С5Н10О5 и гексозы общей формулы С6Н12О6, не могут гидролизоваться и превращаться в более простые углеводы. По химическому строению моносахариды представляют собой многоатомные спирты, имеющие альдегидную группу (альдегидоспирты, оксиальдегиды, альдозы — когда на конце углеродной цепи присутствует карбонильная группа) или кетонную группу (кетоспирты, оксикетоны, кетозы — когда карбонильная группа расположена в ином другом положении). Отсюда, глюкоза и фруктоза являются функциональными изомерами. Функциональные изомеры различаются и расположением гидроксильных групп, как это видно из сравнения структур глюкозы и галактозы. Такие пространственные изомеры называются диастереомерами. Они различаются физическими и химическими свойствами.


Для моносахаридов характерна оптическая изомерия (энантиомерия) (Э. Фишер). В их молекулах содержатся асимметрические (хиральные) атомы углерода (С*), находящиеся в 3-гибридизации и связанные с четырьмя различными атомами или их группами. Энантиомеры имеют идентичные физические и химические свойства. Число оптических стереоизомеров связано с числом асимметрических атомов углерода формулой N = 2n. ![]()
В общем случае молекула с "n" хиральными центрами имеет 2n стереоизомеров, которые представляют собой пары зеркальных антиподов.
В качестве обозначения противоположных конфигураций редуцирующих сахаров с одинаковыми названиями применяются буквы D и L, которые указывают принадлежность к двум рядам. Последний асимметрический атом углерода определяет принадлежность к стереохимическому ряду. Гидроксильная группа справа – D – ряд; слева – L – ряд. В природе одни моносахариды встречаются больше в Д-конфигурации, чем в L, другие наоборот (L-арабиноза часто встречается в растениях, тогда как D-арабиноза обнаружена только в некоторых видах бактерий).
Поскольку молекулы сахаров построены несимметрично, то для них не может быть оптически неактивных мезоформ. Экспериментальный факт, фиксируемый поляриметром, вращения поляризованного света вправо обозначается знаком (+); вращение влево — знаком (-). Символы знаков D(+) – и L(-) могут очень часто не совпадать.
Изображенные линейными формулами альдозы во многом не отражают физические и химические свойства моносахаридов. Такие структуры возможны в растворах, и то в незначительных количествах (тысячные доли процента). Так в УФ - и ИК-спектрах моносахаридов отсутствуют полосы поглощения, характеризующие карбонильную группу. В действительности, моносахариды с 5 и более атомами углерода обычно встречаются в водном растворе в циклических формах, в которых карбонильная группа образует ковалентную связь с атомом кислорода гидроксильных групп. А.А. Колли (русский химик-органик), предложил для всех моносахаридов циклические структуры.
В карбонильной группе связь между атомами углерода и кислорода осуществляется двумя парами электронов. Электронное облако связи смещено к кислороду как более электроотрицательному атому, в результате чего он приобретает частичный отрицательный .заряд (δ-). В то же время карбонильный углерод в результате оттягивания от него электронов приобретает частичный положительный заряд (δ +):

Это обусловливает большую реакционную способность органических соединений, содержащих карбонильную группу: с одной стороны, атом углерода приобретает электрофильные свойства и способен активно взаимодействовать с нуклеофильными реагентами, а атом кислорода приобретает нуклеофильные свойства и способен присоединять электрофильные реагенты и замещаться ими; с другой стороны, на атоме углерода связи С=О концевой карбонильной группы положительный заряд сильнее притягивает электрон от атома водорода альдегидной группы, последний становится более подвижным и легко вступает в какие-либо реакции, например, окисляется (редуцируется) при рН > 7.
Отсюда, появление пятого гидроксила, названного гликозидным, является следствием внутримолекулярной реакции между карбонильной группой и одним из гидроксилов сахара. Известно, что взаимодействие альдегидов (кетонов) со спиртами приводит к образованию полуацеталей (полукеталей):

На связь между устойчивостью цикла и его строением обратил внимание немецкий химик А. Байер. В своей теории он исходил из предположения, что все циклы являются плоскими, а за меру устойчивости цикла принял любое отклонение валентных углов от "нормального" угла 109° 28':

Такое отклонение создает в молекуле напряжение, которое, в свою очередь, понижает ее устойчивость. Расчет дал отклонение валентного угла от нормального для четырехчленного цикла +9°44', пятичленного 0°44', шестичленного -5° 16'.
Также позже было установлено, что пяти- и шестичленные циклы не находятся в одной плоскости, а принимают в пространстве определенную форму (конформацию: см. ниже — «кресло»: она устойчивее), что приводит к уменьшению углового напряжения, поэтому и к повышению устойчивости цикла.
Поэтому при образовании циклических структур сахаров-альдоз гидроксильная группа у предпоследнего (или пред-предпоследнего) реагирует с альдегидной группой, образуя пиранозный (или фуранозный) цикл, содержащий полуацетальную связь:

Сахара-кетозы также встречаются в форме α- и β-аномерных форм. В этих соединениях гидроксильная группа у предпоследнего (или последнего) реагирует с кетогруппой, образуя фуранозный (или пиранозный) цикл, содержащий полукетальную связь:

При образовании циклического полуацеталя сахаров появляется новый асимметрический атом углерода (аномерный центр (С-1)). Для указания его конфигурации используют обозначения a и b. α- и β-формы моноз превращаются друг в друга в водном растворе, этот процесс получил название мутаротации.
Возникновение циклических структур, существование которых предвидел Колли, обусловлено соответственно явлениями d- и g- оксициклотаутомерии.
Для D – ряда a - аномер имеет полуацетальный гидроксил внизу, b - аномер – вверху. Для L – ряда имеет место обратное отношение a - и b - аномеров.
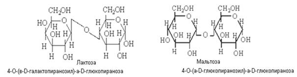
Низкомолекулярные олигосахариды включают в себя также вещества, именуемые «сахара». Это — дисахариды (биозы — сложные сахара общей формулы С12Н22О11) и трисахариды (триозы – сложные сахара общей формулы С18Н32О16).
По химической структуре они представляют собой гликозиды, образованные в результате отщепления молекулы воды от двух (биозы) или трёх (триозы) моносахаридов за счет гидроксилов по одному от каждого из них. При этом один из гидроксилов является гликозидным. Если моносахариды все являются способными окисляться (редуцироваться), то среди олигосахаров существуют невосстанавливающие. Если отщепление молекулы воды произошло за счет гликозидных гидроксилов всех молекул моносахаридов, то образуется невосстанавливающие низкомолекулярные олигосахариды. Такие сахара существуют только в циклических конфигурациях и не могут переходить в цепные карбонильные формы и, следовательно, не обладают восстановительными свойствами. В частности, водные растворы их не реагируют с реактивом Фелинга, не подвергаются мутаротации и пр.
Если отщепление воды произошло за счет гликозидного гидроксила только одного из моносахаридов и негликозидного гидроксила других моносахаридов, то образуется восстанавливающие низкомолекулярные олигосахариды, в котором один из циклов сохраняет гликозидный гидроксил, способный в водных растворах изомеризоваться, превращаясь в цепную карбонильную форму.
Невосстанавливающие олигосахариды

Восстанавливающие олигосахариды



Данным сахарам также присуща мутаротация, и они существуют в a- и b-формах. в циклических и альдегидной таутомерных формах, находящихся в динамическом равновесии:

Гликозидная связь («кислородный» мостик) в молекуле олигосахаров способна очень легко разрываться под действием атаки полярных молекул воды (гидролиз), это весьма важная преданалитическая реакция. Происходит реакция инверсии:

Спирты, содержащие в молекуле свыше трех гидроксильных групп, называют спиртами высшей атомности.
Сахарные спиртыили спирты-полиолы являются производными редуцирующих сахаров. По физическим свойствам спирты высшей атомности напоминают редуцирующие сахара — бесцветные, сладкие вещества, образующие сиропообразные растворы.
Химически эти вещества в отличие от сахаров всех видов монофункциональны — не имеют карбонильной группировки, а вместо нее находится группа -СН2ОН (у полиолов, образованных от альдегидоспиртов) или –СНОН (у полиолов, образованных от кетоспиртов).
Таким образом, пентозы образуют спирты-пентиты общей формулы С5Н7(ОН)5 и гексозы —спирты - гекситы общей формулы С6Н8(ОН)6.
Известными представителями спиртов пятиатомных является арабит и ксилит, а наиболее распространенными шестиатомными спиртами являются сорбит, дульцит (галактит) и инозит. Так и называют эти спирты по тривиальной номенклатуре: в названиях соответствующих редуцирующих сахаров заменяют суффикс -оза на -ит. К некоторым имеются также и технические названия. Например:

Хотя их чаще всего получают искусственно (реакцией гидрирования на катализаторе никеле) и используют как пищевые добавки-подсластители (ксилит, сорбит), отдельные виды плодов и овощей содержат некоторых сахарных спиртов довольно много. Так, сорбитом богаты ягоды рябины, сок вишен, слив, яблок. Галактит содержится в различных растениях (жасмине, морских водорослях) и в дрожжах и т.д.
В таких сахарах, а также в нередуцирующих олигосахаридах, первостепенное аналитическое значение имеет наличие гидроксильных групп. Не имея карбонильной группы, данные виды сахаров не способны проявлять вышеуказанных свойств редуцирующих сахаров. Атом кислорода в молекуле сахара наиболее электроотрицателен; к нему смещена электронная плотность всех атомов. Следовательно, атом водорода гидроксильной группы имеет большую подвижность, чем атомы водорода в радикале:
![]()

Поэтому в химических реакциях они могут отдавать протон, вступая в частности в реакцию замещения-алкилирования. Алкилированием называют реакции введения в молекулы органических веществ алкильных или сходных по строению радикалов R. При нуклеофильном введении R в молекулу спирта вместо атома водорода ОН-групп получают простые эфиры.
Пентитысодержат два асимметрических атома углерода — С-2и С-4, третий атом имеет одинаковые заместители СН (ОН)СН2ОН, известны 4 стереоизомера.
Гекситысодержат четыре асимметрических атома углерода, но число стереоизомеров меньше 16, и равно 10 благодаря особенностям строения молекулы. Благодаря наличию одинаковых заместителей у С-2 и С-3, и, соответственно, у С-5 и С-4 молекулы некоторых стереоизомеров имеют плоскость симметрии, находящуюся между атомами С-3 и С-4. Поэтому образовывать оптические стереоизомеры, отклоняя плоскость поляризованного света на поляриметре, могут только те представители, которые не имеют атрибутов симметрии.
Как и моносахариды, они образуют диастереоизомерные ряды (D-рибит и D-арабит).
Химические методы определения сахаров
Химические методы разнообразны, однако все они, как и большинство физико-химических, основаны на способности сахаров окисляться в щелочной среде, восстанавливая при этом другие химические вещества с образованием альдоновых кислот. Количество восстановленного другого вещества эквивалентно содержанию сахара в испытуемом растворе. Чаще применяют методы, основанные на окислении сахаров щелочным раствором окисного соединения меди с учетом количества восстановленной меди. Реже применяются методы, в которых используются другие окислители.
Определение восстанавливающих сахаров по методу Бертрана.
Метод Бертрана основан на способности альдегидной группы сахаров взаимодействовать с реактивом Фелинга и восстанавливать окись меди до закиси меди, выпадающей в виде осадка красного цвета:
СuSO4 + 2NaOH ¾¾® Cu(OH)2 + Na2SO4

Приведенная реакция не является стехиометрической. Поэтому при пересчете меди на сахар пользуются эмпирическими таблицами, которые составлены при строго определенных условиях протекания реакции.
Реактивы и материалы: а) Реактив Фелинга
20 см3 4 %-ного раствора CuSO4 + 20 см3 щелочного раствора сегнетовой соли {200 г сегнетовой соли растворяют в 500 см3 воды, 150 г едкого натра растворяют в 300 см3. Раствор щелочи осторожно приливают к раствору сегнетовой соли и доводят объем до 1 дм3}.
б) Раствор железоаммиачных квасцов
96 г квасцов растворяют в 500 см3 воды и осторожно по стенке приливают 200 г (108 см3) концентрированной серной кислоты. Объем доводят водой до 1 дм3.
в) 0,1 н. КМпО4
1. Перманганатный метод.
Ход работы:
1.Приготовление вытяжки. Из средней пробы продукта берут навеску, величина которой зависит от предполагаемого содержания сахаров в материале. При исследовании фруктов или ягод навеска составляет 15—50 г мезги (материала, измельченного на терке или мясорубке), варенья, повидла, джема — 7—8 г. При исследовании продуктов, содержащих крахмал (например, клубней картофеля, незрелых яблок и груш), водную вытяжку не нагревают на водяной бане, а сахара извлекают холодной водой в течение 1 ч, часто взбалтывая колбу.
Навеску количественно переносят в мерную колбу на 250 мл, смывая ее дистиллированной водой. Объем навески и воды в колбе не должен превышать 130—150 мл. Колбу встряхивают, затем определяют реакцию содержимого (с помощью нейтральной лакмусовой бумаги или универсального индикатора). При исследовании фруктов и ягод реакция вытяжки обычно бывает кислой, поэтому ее доводят до нейтральной (рН = 7) осторожным добавлением 15%-кого раствора углекислого ратрня (под контролем лакмуса или универсального индикатора), после чего колбу нагревают в течение 15—20 мин, на горячей водяной бане (80°С), часто встряхивая для перемешивания содержимого.
Колбу охлаждают и к вытяжке добавляют 7—15 мл раствора уксуснокислого свинца, взбалтывают и ставят на 5-10 мин. (для осаждения белков, пигментов, дубильных веществ, также обладающих восстанавливающими свойствами). Появление прозрачного слоя жидкости над осадком свидетельствует о полноте осаждения. Если полнота осаждения не была достигнута, в колбу добавляют (каплями) еще 1—5 мл раствора уксуснокислого свинца и взбалтывают. Для осаждения избытка уксуснокислого свинца в колбу приливают 18—20 мл насыщенного раствора двузамещенного фосфорнокислого натрия, взбалтывают и оставляют на 10—12 мин. для отстаивания. Проверяют полноту осаждения свинца, для чего по стенке колбы осторожно приливают 1-—2 капли раствора фосфорнокислого натрия. Если в прозрачном слое жидкости над осадком уже не образуется мути, считают, что полнота осаждения достигнута. Колбу доливают до метки водой, взбалтывают и содержимое ее фильтруют через бумажный складчатый фильтр. В фильтрате (его называют фильтрат А) определяют содержание редуцирующих сахаров. Надо так подобрать навеску продукта и разведение, чтобы концентрация сахаров в сахарном растворе составляла 100 мг.
Быстрого осаждения белковых, красящих и дубильных веществ (так называемых, органических несахаров) можно достигнуть обработкой вытяжки основным азотнокислым свинцом. К 100 мл вытяжки прибавляют 3—4 мл раствора едкого натра, взбалтывают и добавляют 4—6 мл раствора азотнокислого свинца. Осветление раствора происходит в течение 5—7 мин. Для освобождения от избытка свинца к вытяжке, нагретой до температуры 60° С, приливают 3—4 мл насыщенного раствора сернокислого натрия и нагревают на водяной бане при той же температуре 10 мин.
2. Проведение анализа: 20 см3 фильтрата А помещают в коническую колбу на 100 см3 и добавляют 20 см3 реактива Фелинга I и 20 см3 реактива Фелинга II. Содержимое колбы перемешивают и кипятят точно 3 минуты, время замечают с момента появления первых пузырьков. Горячую жидкость из колбы сливают на фильтрующий слой через воронку Бюхнера в колбу Бунзена при слабом отсасывании, стараясь осадок закиси меди не переносить на фильтр. Затем осадок в колбе промывают теплой водой и перерастворяют с помощью железоаммонийных квасцов (10...15см3), при этом часть сернокислого окисного железа квасцов восстанавливается в закисное:
Cu20 + Fe2(NH4)2(SO4)4 + H2SO4 = 2CuSO4 + 2FeSO4 + (NH4)2SO4 + H2O.
Далее воронку Бюхнера с фильтрующим слоем переносят в чистую колбу Бунзена и содержимое колбы небольшими порциями сливают на фильтр. Осадок на фильтре размешивают стеклянной палочкой до полного растворения. Осадок на фильтре не должен находиться на воздухе во избежание его окисления. Колбу и фильтр промывают теплой дистиллированной водой два раза. Фильтрат сразу титруют 0,1 н раствором перманганата калия до появления розовой окраски (от последней капли), снова окисляющего закисное железо в окисное
2KMnO4 + 10FeSO4 + 8H2SO4 = K2SO4 + 2MnSO4 + 5Fe2 (SO4)3 + 8H2O.
Титр перманганата калия устанавливают по меди, что дает возможность сразу пересчитать количество пошедшего на титрование перманганата калия на эквивалентное количество меди (1 см3 0,1 н. КМпО4 соответствует 6,36 мг меди). Количество сахара, соответствующее данному количеству меди, находят по эмпирическим таблицам.
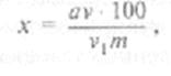
Количество сахара в процентах вычисляют по формуле:

где а — количество сахара в пробе (объем v,); v — объем вытяжки, полученный из навески; vx — проба вытяжки (в см3), взятая на определение; т — масса навески материала, мг.
Перманганатный метод считается арбитражным. Существует также ускоренный—йодометрический — метод.
2.Иодометрический метод (по Шорлю). Фильтрат А кипятят с жидкостью Фелинга (см. выше). Так как жидкость Фелинга берется в избытке, то часть меди окажется невосстановленной и останется в окисной форме. Чтобы определить избыточное количество окисной меди, в охлажденную после кипячения жидкость добавляют раствор йодистого калия и серной кислоты. Происходит реакция
2 CuSO4 + 4 КJ = Cu2J2 + 2 K2SO4 + I2.
Выделившийся молекулярный иод оттитровывают раствором тиосульфата натрия:
2Na2S2O3 + I2 = Na2S4O6 + 2NaI
Для определения количества двухвалентной меди, восстановленной сахаром, проводят контрольный опыт, в котором вместо исследуемого раствора берут дистиллированную воду. По результату контрольного опыта определяют количество тиосульфата натрия, эквивалентное всей двухвалентной меди, участвующей в опыте. По разности объемов раствора тиосульфата натрия, пошедшего на титрование иода после взаимодействия с KI со всей двухвалентной медью (контрольный опыт) и той, что осталась после взаимодействия с редуцирующими сахарами, судят о количестве восстановленной сахаром двухвалентной меди. Данный метод отличается простотой, высокой точностью определения и возможностью определять содержание сахара в довольно широких пределах (от 0,3 до 88,2 мг в 30 мл раствора).
Реактивы и материалы:Хлеб, нож, разделочная доска, дистиллированная вода, 15%-ный раствор ZnSO4, 4%-ный раствор NaOH, 20%-ный раствор НС1, 10%-ный раствор NaOH, индикатор метиленовый красный, 6,925%-ный раствор CuSO4, щелочной раствор сегнетовой соли, KJ, 25%-ный раствор серной кислоты, 0,1 н. раствор Na2S2O3, 1%-ный раствор растворимого крахмала, мерные колбы вместимостью 100, 200, 250 см3, конические колбы вместимостью 200—300 см3, воронки, цилиндры вместимостью 10 см3, бюретки, водяная баня, термометры, титровальная установка, фарфоровая чашечка вместимостью 20 см3, фильтровальная бумага.
Ход работы:
Проведение анализа: Вконическую колбу вместимостью 50 см3 вносят пипеткой 3 см3 фильтрата А, добавляют пипеткой или бюреткой точно 1 см3 6,925%-го раствора сульфата меди (II) и 1 см3 щелочного раствора сегнетовой соли, в течение 2 мин доводят смесь до кипения, кипятят ровно 2 мин, быстро охлаждают до комнатной температуры, прибавляют 1 см3 30 %-ного иодида калия, 1см3 25%-ной серной кислоты и сразу же титруют 0,1 н. раствором тиосульфата натрия до светло-желтого окрашивания. Затем добавляют 3—4 капли 1%-го раствора растворимого крахмала (индикатор) и продолжают титрование до исчезновения синей окраски.
Проведение холостого или контрольного опыта: Аналогично проводят контрольный опыт, в котором вместо 3 см3 исследуемого раствора берут то же количество дистиллированной воды.
Разность между величинами, полученными в контрольном опыте и при определении сахара в исследуемом растворе, умноженная на поправку к титру тиосульфата натрия, показывает количество восстановленной меди, выраженное в см3 точно 0,1 н. раствора тиосульфата натрия. Для пересчета количества 0,1 н. раствора тиосульфата натрия, соответствующего количеству восстановленной меди, на сахар (мг сахарозы) пользуются следующими коэффициентами, установленными экспериментальным путем: глюкоза — 3,3; фруктоза — 3,7; сахароза — 3,4; мальтоза — 5,4.
Наиболее точные показатели получаются в том случае, если разность результатов титрования 0,1 н. раствором тиосульфата натрия в контрольном и основном опытах находится в пределах 0,7—1,2 см3. При использовании вытяжек с более высоким содержанием сахара для определения берут 1 см3 вытяжки и добавляют 2 см3 дистиллированной воды.
3.Определение редуцирующих сахаров (по Лэну и Эй-Нону). В фильтрате А содержатся редуцирующие сахара (глюкоза, фруктоза и другие монозы, а также дисахариды, обладающие восстанавливающими свойствами,— мальтоза, лактоза и др.). Хотя сахароза тоже переходит в фильтрат, но для количественного определения ее необходимо подвергнуть инверсии. Метод определения редуцирующих сахаров основан на титровании реактива Фелинга фильтратом А в присутствии метиленовой сини. Сахара, оставшиеся в небольшом избытке после восстановления окиси меди в закись, реагируют с метиленовой синью, восстанавливая ее в лейкосоединение:

Могут наблюдаться случаи, когда от прибавления метиленовой сини раствор в колбе не посинеет. Это свидетельствует о высокой концентрации редуцирующих сахаров в фильтрате А, и тогда надо его разбавить в два-три раза. Содержание сахаров в испытуемом растворе должно составлять примерно 0,1—0,25%.
Ход работы :
1.Определение титра реактива Фелинга. Титр реактива Фелинга определяют по химически чистой сахарозе. Для установки титра реактива можно также пользоваться сахаром-рафинадом, который предварительно выдерживают в эксикаторе над хлористым кальцием в течение 4—5 суток. На аналитических весах (с точностью до 0,0001 г) отвешивают 0,55 г сахарозы. Навеску переносят в мерную колбу на 250 мл и растворяют в 75 мл теплой воды. К раствору прибавляют 4 мл концентрированной соляной кислоты и производят инверсию сахарозы (в отдельной порции фильтрата А условия инверсии подобраны так, что гидролизуется только одна сахароза). Все последующие операции описаны выше (см. «Определение сахарозы»). Определяют содержание редуцирующих сахаров в растворе. Титр реактива Фелинга (по инвертиому сахару) рассчитывают по формуле
Т = 1,053 ∙ Вгк
Где к — навеска сахарозы, г; В — объем раствора инвертного сахара, израсходованный на титрование 10 мл реактива Фелинга; г — объем раствора инвертного сахара в мерной колос (250 мл); 1,053 —коэффициент перевода сахарозы в инвертный сахар;
2.Проведение анализа:
2.1. Содержание редуцирующих сахаров. В бюретку емкостью 50 мл (со стеклянным краном) наливают фильтрат А, В коническую колбу специальными пипетками вносят по 5 мл растворов Фелинга I и II и вливают из бюретки 15—20 мл фильтрата А. Колбу ставят на электрическую плитку и нагревают (на асбестовой сетке) так, чтобы довести до кипения за 2 мин., после чего прибавляют 4—5 капель раствора метиленовой сини и кипятят точно 2 мин. Продолжая кипячение жидкости, ее титруют из бюретки фильтратом А до исчезновения синего окрашивания и появления оранжевого осадка закиси меди. Титровать надо быстро, чтобы в сумме жидкость кипела не более 3 мин. На дотитровывание следует расходовать не более 2—3 мл фильтрата А. Если при этом расходуется более 3 мл фильтрата А, рекомендуется повторить определение, прибавив в колбу не 15, а уже 20 мл испытуемого раствора. Первое титрование является ориентировочным. Приблизительно установив, сколько миллилитров фильтрата А расходуется на титрование 10 мл реактива Фелинга, проводят два-три точных определения. Содержание редуцирующих сахаров вычисляют по формуле:
Xi = кТ
где Т — титр реактива Фелинга (по инвертному сахару)-; к — навеска растительного материала в объеме испытуемого раствора, израсходованном на титрование 10 мл реактива Фелинга (суммируют количество миллилитров фильтрата А, прибавленных в колбу в самом начале определения и затем затраченных иа дотитровывание) .
2.2. Содержание сахарозы. В мерную колбу на 100 мл вносят 50 мл фильтрата А, добавляют 5 мл концентрированной соляной кислоты (пл. 1,188) и нагревают, часто взбалтывая, в течение 8 мин. на водяной бане, следя за тем, чтобы жидкость в колбе имела температуру 68—70° С (шарик термометра опущен в колбу). Затем колбу быстро охлаждают (под краном) до 20° С. Охлажденную жидкость нейтрализуют углекислым натрием или 15— 20%-ным раствором едкого натра, контролируя этот процесс лакмусовой бумажкой, опущенной в колбу. Нейтрализованную жидкость доводят водой до метки и в случае необходимости фильтруют. Получают фильтрат Б— инвертный сахар — смесь равных частей глюкозы и фруктозы, освободившихся в результате гидролитического расщепления сахарозы. Содержание редуцирующих сахаров в фильтрате определяют по методу, описанному выше. Содержание сахарозы (в процентах) рассчитывают по формуле
Хг = (В - А) 0,95,
где В — содержание редуцирующих сахаров после инверсии; А — то же до инверсии (в процентах); 0,95 — коэффициент перевода инвертного сахара в сахарозу.
Суммарное содержание сахаров (в процентах) Х в испытуемом растительном материале рассчитывают по формуле
Х = Xi —1+ Хг —2
где Хi и Хг— содержание соответственно редуцирующих сахаров и сахарозы.
4.Метод горячего титрования. Ускоренный метод, основан на способности редуцирующих сахаров восстанавливать в щелочном растворе окисную медь в закисную. Массовую долю сахара определяют путем титрования медно-щелочного раствора фильтратом А.
Материалы и оборудование: титровальная установка, колбы на 50 мл, реактив Фелинга, электроплитка. Ход работы:
1.Проведение анализа: В бюретку вместимостью 10 см3 наливают исследуемый раствор. В две плоскодонные колбы вместимостью 50 см3 отмеряют пипеткой по 5 см3 раствора Фелинга I и раствора Фелинга II. Одну из колб помещают на нагретую электроплитку, доводят медно-щелочной раствор в колбе до кипения и титруют из бюретки фильтратом А со скоростью (4±1) капель в секунду до перехода синей окраски медно-щелочного раствора в желтую. Израсходованный на титрование объем в см3 стандартного раствора сахарозы отмечают по бюретке.
2.Контрольное титрование. Вторую колбу с медно-щелочным раствором помещают на нагретую электроплитку, раствор в колбе доводят до кипения и сливают в него из бюретки (85±5)% израсходованного на предварительное титрование объема исследуемого раствора, следя за тем, чтобы кипение в колбе не прекращалось. При этом синяя окраска медно-щелочного раствора изменяется на светло-фиолетовую. Дотитрование медно-щелочного раствора исследуемым раствором проводят со скоростью 1 капля в секунду до появления желтой окраски. Массовую долю сахара в исследуемом изделии (М) в пересчете на сухое вещество вычисляют по формуле:
TV1 ∙100 ∙ 2 100 M= ---------------------- ∙ ------------- mV2 ∙ 1000 100 - W
где Т — титр медно-щелочного раствора по сахарозе; V1 — вместимость мерной колбы, взятой для приготовления водной вытяжки, см3; m — масса навески исследуемого изделия, г; V2 — объем исследуемого раствора, израсходованный на титрование, мл; W— массовая доля влаги в исследуемом материале (ГОСТ 21094); 1000 — перевод мг сахарозы в г; 2 — двойное разведение вытяжки при проведении гидролиза сахарозы.
Физико-химические методы определения сахаров
В настоящее время находят широкое применение физико-химические методы определения сахаров. При этом сахара, путем химических реакций, превращают в какое-то вещество, замеряя затем физические характеристики (цвет, адсорбируемость и пр.) Эти методы быстрые, менее трудоемкие, а в некоторых случаях точнее химических.
Количественное определение сахаров в продуктах растительного происхождения с помощью хроматографии на бумаге (по О. А. Павлюшиной)
Количественное определение сахаров с применением хроматографии на бумаге включает в себя следующие основные операции:
фиксацию растительного материала > экстракцию сахаров и очистку вытяжки от белков и других примесей > распределительную хроматографию сахаров на бумаге > элюацию сахаров с бумаги > определение их содержания в элюатах
Реактивы и материалы: а) Хроматографическая бумага Ленинградская «быстрая» № 1; *Filtrak* FN-4; ватман М 1 и 2; б) этанол, 96%-ный и 80%-ный; в) уксуснокислый свинец (СН3СОО)2РЬ ∙ 3Н2О, 10%-ный раствор; г) сернокислый натрий, насыщенный раствор; д) смесь н-бутанола, пиридина и воды в соотношении 6:4:3 (по объему), или смесь н-бутанола, уксусной кислоты и воды в соотношении 4:1:5 (по объему). (Еслисмеси растворителей разделяются на два слоя, то берут верхний;) е) проявители на кетозы: 1 — резорцинфосфат.
0,2 г резорцина растворяют в 100 мл 96%-ноге этанола. Перед проявлением хроматограммы смешивают 10 объемзв спиртового раствора резорцина с одним объемом ортофосфорной кислоты Н3РО4 (плотность 1,75—1,82);
2— N-хлормочевина.
5 г мочевины растворяют в 100 мл 96%-ного спирта и добавляют 20 мл 2 н раствора соляной кислоты;
ж) проявители на альдозы: 1 — анилинфталат
1,66 г фталевой кислоты и 0,93 г перегнанного анилина растворяют в 100 мл этилового спирта, насыщенного водой;
2 — анилиноксалат:
0,93 г перегнанного анилина растворяют в 50 мл 96%-ного этанола, после чего смешивают с равным объемом 0,2 М раствора щавелевой кислоты в этаноле (можно также брать водный 0,2 М раствор щавелевой кислоты);
и) глюкоза, фруктоза, сахароза и другие сахара, 2%~ные растворы; к) другие реактивы для количественного определения сахаров по антроновому методу.
Ход работы: Навеску свежего растительного материала (10—-30 г) заливают (для фиксации) десятикратным объемом кипящего 96%-ного этанола, нагревают 2—3 мин., добавляя небольшое количество углекислого кальция или натрия в порошке для нейтрализации кислот (под контролем лакмуса или универсального индикатора). Зафиксированная навеска (в колбе или склянке с притертой пробкой) может храниться в течение нескольких месяцев (в темном и прохладном месте). Фиксация спиртом является и началом экстракции сахаров, которые частично переходят в раствор. Сахара экстрагируют горячим (70—80 ºС) 80%-ным этанолом 3 раза по 30 мин. Перед началом экстракции рекомендуется дополнительно растереть материал в ступке. Спирт, который служил для фиксации навески, объединяют со спиртовыми вытяжками. После каждой экстракции охлажденную спиртовую вытяжку центрифугируют. Объединенные спиртовые вытяжки сгущают в вакууме до объема 3 мл. Если материал богат хлорофиллом и каротиноидами, то сгущенную вытяжку несколько раз взбалтывают с петролейным эфиром. Эфирный раствор пигментов сливают, а остатки растворителя удаляют на водяной бане при 50—60°. Сгущенную вытяжку количественно переводят в мерную колбу на 5 или 10 мл. Для осаждения белков и других примесей прибавляют по каплям раствор уксуснокислого свинца. Проверив полноту осаждения, раствор в колбе доводят до метки, затем фильтруют или, еще лучше, центрифугируют. Для осаждения избытки свинца, не пошедшего в реакцию, добавляют одну каплю насыщенного раствора сернокислого натрия и снова центрифугируют или фильтруют. Нарезают полосы хроматографической бумаги длиной 50—55 см и шириной 13—19 см или другого размера (в зависимости от диаметра хроматографической камеры). Бумагу разлиновывают графитовым карандашом, оставляя с одной стороны листа одну, а с другой — две контрольные полосы шириной 2— 2,5 см. Низ хроматограммы вырезают зубцами, что способствует равномерному скапыванию растворителя и предотвращает наблюдающийся иногда перекос пятен. Затем на линию старта отдельными пятнами по одному на основной части хроматограммы и на каждой из контрольных полос наносят с помощью микропипетки или капилляра определенный точный объем испытуемого раствора (например, по 0,01; 0,02 или 0,03 мл в пятно). Количество экстракта, наносимого в пятно, должно соответствовать примерно 30—50 мг сырого веса исследуемого материала в том случае, если в нем содержится 5—7 мг глюкозы, фруктозы и сахарозы на 1 г сырого веса ткани. Для установления оптимальной концентрации сахаров, вносимых в пятно, ставят отдельно две контрольные хроматограммы с нанесением различных объемов опытного экстракта (0,01—0,04 мл в пятно). На те же полосы наносят также и метчики — растворы сахаров (по 0,004 мл 2%-ных растворов). После нанесения растворов на бумагу приступают к разделению сахаров в соответствующей смеси растворителей (н-бутанол — пиридин — вода, 6:4:3; н-бутанол — уксусная кислота — вода, 4:1:5). Хроматография нисходящая. Продолжительность разделения 2—3 суток. После разделения хроматограммы высушивают в токе воздуха (в вытяжном шкафу) до полного удаления следов растворителя. Следующей задачей является определение положения пятен на основной части хроматограммы, так как сахара элюируют из непроявленной части бумаги. Для этого от основной хроматограммы отрезают контрольные полосы (а), (б) и (в) и опрыскивают две из них, например (а) и (б), проявителями на кетозы — резорцинфосфатом (реакцией Ф.Ф. Селиванова):

или раствором N-хлормочевины:

а (в) — проявителем на альдозы — анилинфталатом (анилиноксалатом):

Полосу, опр