Розв’язування економетричних задач
Лабораторна робота № 1
Тема. Застосування електронних таблиць EXCEL та пакетів прикладних програм для розв’язування економетричних задач
Мета роботи: ознайомитися з порядком застосування електоронних таблиць та пакетів прикладних програм у сатистичних та економетричних розрахунках.
Завдання
1. Ознайомитися з прийомами використання електронних таблиць EXCEL для економетричних розрахунків.
2. Ознайомитися з функціональними можливостями професійних пакетів прикладних програм статистичної обробки даних STATGRAFICS, SPSS.
Хід роботи
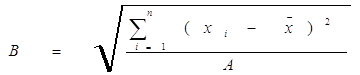
1. 1) Для ознайомлення з можливостями застосування електронних таблиць в економетричних розрахунках скласти в оболонці EXCEL розрахункову табл. 1.1. Занести вихідні дані – ряди даних для змінних X, Y. Розрахувати значення граф 4 – 7, а також значення параметрів A, B за формулами:
,
![]()
.
Таблиця 1.1
Макет розрахункової таблиці для виконання завдання 1
| № спотереження |
|
|
|
|
|
|
| 1 | ||||||
| 2 | ||||||
| … | ||||||
| n | ||||||
| Сума | ||||||
| Середнє значення |
Подобные работы: