Расчет коэффициента эластичности и показателей корреляции и детерминации
МИНИСТЕРСТВО СЕЛЬСКОГО ХОЗЯЙСТВА РОССИЙСКОЙ ФЕДЕРАЦИИ
Ульяновская государственная сельскохозяйственная академия
Кафедра «Статистика и анализ хозяйственной деятельности»
Контрольная работа
по Эконометрики
Выполнил: студент 2 курса
заочного отделения «Экономического факультета»
по специальности «Финансы и кредит»
с сокращенным сроком обучения
Антонов Леонид Владимирович
Ульяновск, 2009
Задача 1
По территориям Волго-Вятского, Центрально–Черноземного и Поволжского районов известны данные о потребительских расходах в расчете на душу населения, о средней заработной плате и выплатах социального характера (табл. 1).
Таблица 1
Район | Потребительские расходы в расчете на душу населения, руб., y | Средняя заработная плата и выплаты социального характера, руб., x |
| 1 | 408 | 524 |
| 2 | 249 | 371 |
| 3 | 253 | 453 |
| 4 | 580 | 1006 |
| 5 | 651 | 997 |
| 6 | 322 | 486 |
| 7 | 899 | 1989 |
| 8 | 330 | 595 |
| 9 | 446 | 1550 |
| 10 | 642 | 937 |
Задание:
1. Постройте поле корреляции и сформулируйте гипотезу о форме связи.
2. Рассчитайте параметры уравнений линейной парной регрессии.
3. Оцените тесноту связи с помощью показателей корреляции и детерминации.
4. Дайте с помощью среднего (общего) коэффициента эластичности сравнительную оценку силы связи факторов с результатом.
5. Оцените с помощью средней ошибки аппроксимации качество уравнений.
6. Оцените с помощью F- критерия Фишера статистическую надежность результатов регрессионного моделирования. По значениям характеристик, рассчитанных в пп.4,5 и данном пункте, выберите лучшее уравнение регрессии и дайте его обоснование.
7. Рассчитайте прогнозное значение результата, если прогнозное значение фактора увеличится на 7 % от его среднего уровня. Определите доверительный интервал прогноза для уровня значимости, а = 0,05.
8. Оцените полученные результаты, выводы оформите в аналитической записке.
Решение:
1. Постройте поле корреляции и сформулируйте гипотезу о форме связи.

2. Рассчитайте параметры уравнений линейной парной регрессии.
y | x | yx | x2 | y2 | ŷx | y-ŷx | Ai | |
1 | 408 | 524 | 213792 | 274576 | 166464 | 356,96 | 51,04 | 12,5 |
2 | 249 | 371 | 92379 | 137641 | 62001 | 306,47 | -57,47 | 23,1 |
3 | 253 | 453 | 114609 | 205209 | 64009 | 333,53 | -80,53 | 31,8 |
4 | 580 | 1006 | 583480 | 1012036 | 336400 | 516,02 | 63,98 | 11,0 |
5 | 651 | 997 | 649047 | 994009 | 423801 | 513,05 | 137,95 | 21,2 |
6 | 322 | 486 | 156492 | 236196 | 103684 | 344,42 | -22,42 | 7,0 |
7 | 899 | 1989 | 1788111 | 3956121 | 808201 | 840,41 | 58,59 | 6,5 |
8 | 330 | 595 | 196350 | 354025 | 108900 | 380,39 | -50,39 | 15,3 |
9 | 446 | 1550 | 691300 | 2402500 | 198916 | 695,54 | -249,54 | 56,0 |
10 | 642 | 937 | 601554 | 877969 | 412164 | 493,25 | 148,75 | 23,2 |
итого | 4780 | 8908 | 5087114 | 10450282 | 2684540 | 4780,04 | -0,04 | 207,5 |
среднее значение | 478 | 890,8 | 508711,4 | 1045028,20 | 268454 | x | x | 20,7 |
σ | 199,92 | 501,50 | x | x | x | x | x | x |
σ2 | 39970,00 | 251503,56 | x | x | x | x | x | x |
;
.
Получено уравнение регрессии:
.
С увеличением средняя заработная плата и выплаты социального характера на 1 руб., то потребительские расходы в расчете на душу населения возрастает в среднем на 0,33 руб.
3. Оцените тесноту связи с помощью показателей корреляции и детерминации.
Тесноту связи оценивают с помощью показателей корреляции и детерминации:
.
Коэффициент детерминации
Это означает, что 69% вариации потребительские расходы в расчете на душу населения объясняется вариацией факторов средняя заработная плата и выплаты социального характера.
4. Дайте с помощью среднего (общего) коэффициента эластичности сравнительную оценку силы связи факторов с результатом.
Коэффициент эластичности показывает, на сколько процентов измениться в среднем результат, если фактор изменится на 1%. Формула для расчета коэффициента эластичности имеет вид:
.

Таким образом, изменение средней заработной платы и выплат социального характера на 1 % приведет к увеличению потребительских расходов в расчете на душу населения на 0,615 %.
5. Оцените с помощью средней ошибки аппроксимации качество уравнений.
Качество уравнений оцените с помощью средней ошибки аппроксимации:
![]()
= 20,7%
Качество построенной модели оценивается как плохое, так как превышает 8 – 10 %.
6. Оцените с помощью F- критерия Фишера статистическую надежность результатов регрессионного моделирования. По значениям характеристик, рассчитанных в пп.4,5 и данном пункте, выберите лучшее уравнение регрессии и дайте его обоснование.
Оценим качество уравнения регрессии в целом с помощью
-критерия Фишера. Сосчитаем фактическое значение
- критерия:
.
Табличное значение (k1=1, k2=8
) Fтабл.=5,32. Так как
, то признается статистическая значимость уравнения в целом.
Для оценки статистической значимости коэффициентов регрессии и корреляции рассчитаем
- критерий Стьюдента и доверительные интервалы каждого из показателей. Рассчитаем случайные ошибки параметров линейной регрессии и коэффициента корреляции
:
,
,
.
Фактические значения
- статистик:
![]()
![]()
.
Табличное значение
- критерия Стьюдента при
и tтабл.=2,306. Так как
, ta < tтабл. и
.
Рассчитаем доверительные интервалы для параметров регрессии
и
:
и
. Получим, что и
.
7. Рассчитайте прогнозное значение результата, если прогнозное значение фактора увеличится на 7 % от его среднего уровня. Определите доверительный интервал прогноза для уровня значимости, а = 0,05.
Найдем прогнозное значение результативного фактора
при значении признака-фактора, составляющем 107% от среднего уровня
, т.е. найдем потребительские расходы в расчете на душу населения, если средняя заработная плата и выплаты социального характера составят 953,15 тыс. руб.
(тыс. руб.)
Значит, если средняя заработная плата и выплаты социального характера составят 953,15 тыс. руб., то потребительские расходы в расчете на душу населения будут 498,58 тыс. руб.
Найдем доверительный интервал прогноза. Ошибка прогноза
,
а доверительный интервал (
):
.
Т.е. прогноз является статистически не точным.
8. Оцените полученные результаты, выводы оформите в аналитической записке.
Из полученных результатов я вижу, что с увеличением средняя заработная плата и выплаты социального характера на 1 руб., то потребительские расходы в расчете на душу населения возрастает в среднем на 0,33 руб. При оценки тесноты связи с помощью показателя детерминации я выявил, что 69% вариации потребительские расходы в расчете на душу населения объясняется вариацией факторов средняя заработная плата и выплаты социального характера. С помощью коэффициент эластичности я определил, что изменение средней заработной платы и выплат социального характера на 1 % приведет к увеличению потребительских расходов в расчете на душу населения на 0,615 %. С увеличится на 7 %заработной платы и выплаты социального характера, потребительские расходы в расчете на душу населения будут равны 498,58 тыс. руб., но этот прогноз является статистически не точным.
Задача 8
По группе 10 заводов, производящих однородную продукцию, получено уравнение регрессии себестоимости единицы продукции у (тыс. руб.) от уровня технической оснащенности х (тыс. руб.):
у = 20 +
. Доля остаточной дисперсии в общей составила 0,19
Задание:
Определите:
а) коэффициент эластичности, предполагая, что стоимость активных производственных фондов составляет 200 тыс. руб.
б) индекс корреляции;
в) F- критерий Фишера. Сделайте выводы.
Решение:
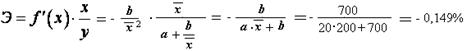
а) коэффициент эластичности, предполагая, что стоимость активных производственных фондов составляет 200 тыс. руб.
х = 200 тыс. руб.
.

Таким образом, изменение технической оснащенности на 1% приведет к снижению себестоимости единицы продукции на 0,149 %.
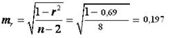
б) индекс корреляции:

Уравнение регрессии:

= 23,5/10 = 2,35 ![]()


![]()
Это означает, что 99,6 % вариации себестоимости единицы продукции объясняется вариацией уровня технической оснащенности на долю прочих факторов приходится лишь 0,40%.
в) F- критерий Фишера. Сделайте выводы.

Fтабл. = 4,46
Fтабл. < Fфакт; Этот результат можно объяснить сравнительно невысокой теснотой выявленной зависимости и небольшим числом наблюдений.
Задача 13
По заводам, выпускающим продукцию А, изучается зависимость потребления электроэнергии У (тыс. кВт. Ч) от производства продукции - Х1 (тыс.ед.) и уровня механизации труда – Х2 (%). Данные приведены в табл.4.2.
Задание
1. Постройте уравнение множественной регрессии в стандартизованном и натуральном масштабах.
2. Определите показатели частной и множественной корреляции.
3.Найдите частные коэффициенты эластичности и сравните их с Бэтта коэффициентами.
4. Рассчитайте общие и частные F – критерии Фишера.
| Признак | Среднее значение | Среднее квадратическое отклонение | Парный коэффициент корреляции | |
| Y | 1050 | 28 | ryx1 | 0.78 |
X1 | 425 | 44 | ryx2 | 0.44 |
X2 | 42.0 | 19 | rx1x2 | 0.39 |
Решение:
1. Постройте уравнение множественной регрессии в стандартизованном и натуральном масштабах.
Линейное уравнение множественной регрессии у от х1 и х2 имеет вид:
.
Для расчета его параметров применим метод стандартизации переменных, построим искомое уравнение в стандартизованном масштабе:
![]()
Расчет - коэффициентов выполним по формулам:


Т.е. уравнение будет выглядеть следующим образом:
.
Для построения уравнения в естественной форме рассчитаем 1 и 2,используя формулы для перехода от к .


Значение a определим из соотношения:
![]()
![]()
2. Определите показатели частной и множественной корреляции.
Линейные коэффициенты частной корреляции здесь рассчитываются по рекуррентной формуле:



Если сравнить значения коэффициентов парной и частной корреляции, то приходим к выводу, что из-за слабой межфакторной связи (rx1x2=0,39) коэффициенты парной и частной корреляции отличаются значительно.
Растет линейного коэффициента множественной корреляции выполним с использованием коэффициентов и
:
![]()
Зависимость у от х1 и х2 характеризуется как тесная, в которой 63 % вариации потребления электроэнергии определяется вариацией учетных в модели факторов: производства продукции и уровня механизации труда. Прочие факторы, не включенные в модель, составляют соответственно 37 % от общей вариации y.
3.Найдите частные коэффициенты эластичности и сравните их с Бэтта коэффициентами.
Для характеристики относительной силы влияния х1 и х2 на y рассчитаем средние коэффициенты эластичности:


С увеличением производства продукции на 1 % от его среднего потребления электроэнергии возрастает на 0,29 % от своего среднего уровня; при повышении среднего уровня механизации труда на 1 % среднее потребления электроэнергии увеличивается на 0,006% от своего среднего уровня. Очевидно, что сила влияния производства продукции на среднее потребление электроэнергии оказалась больше, чем сила влияния среднего уровня механизации труда.
4. Рассчитайте общие и частные F – критерии Фишера.
Общий F-критерий проверяет гипотезу H0 о статистической значимости уравнения регрессии и показателя тесноты связи (R2 = 0):

Fтабл. = 9,55
Сравнивая Fтабл. и Fфакт., приходим к выводу о необходимости не отклонять гипотезу H0 и признается статистическая незначимость, ненадежность уравнения регрессии.
Частные F-критерий – Fх1. и Fх2 оценивают статистическую значимость присутствия факторов х1 и х2 в уравнении множественной регрессии, оценивают целесообразность включения в уравнение одного фактора после другого фактора, т.е. Fх1 оценивает целесообразность включения в уравнение фактора х1 после того, как в него был включен фактор х2. Соответственно Fх2 указывает на целесообразность включения в модель фактора х2 после фактора х1.


Низкое значение Fх2 (меньше 1) свидетельствует о статистической незначимости прироста r2yx1за счет включения в модель фактора х2 после фактора х1. следовательно, подтверждается нулевая гипотеза H0 о нецелесообразности включения в модель фактора х2.
Задача 21
Модель денежного и товарного рынков:
Rt = a1 + b12Yt + b14Mt + e1, (функция денежного рынка);
Yt = a2 + b21Rt + b23It + b25Gt + e2 ( функция товарного рынка);
It = a3 + b31Rt+ e3 (функция инвестиций),
где R - процентные ставки;
Y - реальный ВВП;
M - денежная масса;
I - внутренние инвестиции;
G - реальные государственные расходы.
Решение:
Rt = a1 + b12Yt + b14Mt + e1,
Yt = a2 + b21Rt + b23It + b25Gt + e2
It = a3 + b31Rt + e3
Сt = Yt + It + Gt
Модель представляет собой систему одновременных уравнений. Проверим каждое ее уравнение на идентификацию.
Модель включает четыре эндогенные переменные (Rt, Yt, It, Сt) и две предопределенные переменные (
и
).
Проверим необходимое условие идентификации для каждого из уравнений модели.
Первое уравнение:
Rt = a1 + b12Yt + b14Mt + e1.
Это уравнение содержит две эндогенные переменные
и
и одну предопределенную переменную
. Таким образом,
,
т.е. выполняется условие
. Уравнение сверхидентифицируемо.
Второе уравнение:
Yt = a2 + b21Rt + b23It + b25Gt + e2.
Оно включает три эндогенные переменные Yt, It и Rt и одну предопределенную переменную Gt. Выполняется условие
.
Уравнение идентифицируемо.
Третье уравнение:
It = a3 + b31Rt+ e3.
Оно включает две эндогенные переменные Itи Rt. Выполняется условие
.
Уравнение идентифицируемо.
Четвертое уравнение:
Сt = Yt+ It+ Gt.
Оно представляет собой тождество, параметры которого известны. Необходимости в идентификации нет.
Проверим для каждого уравнения достаточное условие идентификации. Для этого составим матрицу коэффициентов при переменных модели.
|
| Rt |
|
|
| |
| I уравнение | 0 | 0 | –1 | b12 | b14 | 0 |
| II уравнение | 0 | b23 |
| –1 | 0 | b25 |
| III уравнение | 0 | –1 | b31 | 0 | 0 | 0 |
| Тождество | –1 | 1 | 0 | 1 | 0 | 1 |
В соответствии с достаточным условием идентификации ранг матрицы коэффициентов при переменных, не входящих в исследуемое уравнение, должен быть равен числу эндогенных переменных модели без одного.
Первое уравнение. Матрица коэффициентов при переменных, не входящих в уравнение, имеет вид
| Rt |
|
| |
| II уравнение | b23 |
| –1 | b25 |
| III уравнение | –1 | b31 | 0 | 0 |
| Тождество | 1 | 0 | 1 | 1 |
Ранг данной матрицы равен трем, так как определитель квадратной подматрицы
не равен нулю:
.
Достаточное условие идентификации для данного уравнения выполняется.
Второе уравнение. Матрица коэффициентов при переменных, не входящих в уравнение, имеет вид
|
| Rt |
|
|
| |
| I уравнение | 0 | 0 | –1 | b12 | b14 | 0 |
| III уравнение | 0 | -1 | b31 | 0 | 0 | 0 |
| Тождество | –1 | 1 | 0 | 1 | 0 | 1 |
Ранг данной матрицы равен трем, так как определитель квадратной подматрицы
не равен нулю:
.
Достаточное условие идентификации для данного уравнения выполняется.
Третье уравнение. Матрица коэффициентов при переменных, не входящих в уравнение, имеет вид
|
| Rt |
|
|
| |
| I уравнение | 0 | 0 | –1 | b12 | b14 | 0 |
| II уравнение | 0 | b23 |
| –1 | 0 | b25 |
| Тождество | -1 | 1 | 0 | 1 | 0 | 1 |
Ранг данной матрицы равен трем, так как определитель квадратной подматрицы
не равен нулю:

Достаточное условие идентификации для данного уравнения выполняется.
Таким образом, все уравнения модели сверхидентифицируемы. Приведенная форма модели в общем виде будет выглядеть следующим образом:
Rt = a1 + b11Yt + b13Mt + b15Gt + b16Gt + u1
Yt = a2 + b21Rt + b23It + b25Gt + b26Gt + u 2
It = a3 + b31Rt + b33It + b35Gt + b36Gt + u 3
Сt = a4 + b41Rt + b43It + b45Gt + b46Gt + u 4
Задача 26
Имеются данные об урожайности культур в хозяйствах области:
| Варианты | Показатели | Год |
| ||||||
| 1 | 2 | 3 | 4 | 5 | 6 | 7 | 8 | ||
| 4 | Урожайность картофеля, ц/га | 63 | 64 | 69 | 81 | 84 | 96 | 106 | 109 |
Задание:
1. Обоснуйте выбор типа уравнения тренда.
2. Рассчитайте параметры уравнения тренда.
3.Дайте прогноз урожайности культур на следующий год.
Решение:
1. Обоснуйте выбор типа уравнения тренда.

Построение аналитической функции для моделирования тенденции (тренда) временного ряда называют аналитическим выравнивание временного ряда. Для этого применяют следующие функции:
Ø линейная ![]()
Ø гипербола ![]()
Ø экспонента ![]()
Ø степенная функция ![]()
Ø парабола второго и более высоких порядков ![]()
Параметры трендов определяются обычными МНК, в качестве независимой переменной выступает время t=1,2,…,n, а в качестве зависимой переменной – фактические уровни временного ряда yt. Критерием отбора наилучшей формы тренда является наибольшее значение скорректированного коэффициента детерминации
.





Сравним значения R2 по разным уровням трендов:
Полиномиальный 6-й степени - R2= 0,994
Экспоненциальный - R2= 0,975
Линейный - R2= 0,970
Степенной - R2= 0,864
Логарифмический - R2= 0,829
Исходный данные лучше всего описывает полином 6-й степени. Следовательно, для расчета прогнозных значений следует использовать полиномиальное уравнение.
2. Рассчитайте параметры уравнения тренда.
![]()
y = - 0,012*531441 + 0,292*59049 – 2,573*6561 +10,34*729 – 17,17*81 + 9,936*9 + 62,25 =
= - 6377,292 + 17242,308 – 16881,453 + 7537,86 - 1390,77 + 89,424 + 62,25 = 282,327
3.Дайте прогноз урожайности культур на следующий год.
Урожайность картофеля, ц/га в 9-ом году приблизительно будет 282 ц/га.