Пространство товаров. Цены
Сегодня товаром называют всё, что можно продать(1). Часть современных товаров невозможно отнести к предметам: электроэнергия, информация, квоты, рабочая сила. Часть товаров никогда непосредственно не удовлетворяет человеческих потребностей и не используется в технологических процессах: ценные бумаги, деньги (особенно бумажные и электронные). Над частью товаров покупатели не получают полного права собственности: компьютерная программа, фонограмма, видеокассета. Сегодня самостоятельным товаром может выступать любое право на что-либо. При изготовлении вещи сразу же возникают различные права на эту вещь. В начале развития товарного обмена сама вещь была носителем всех прав, которые передавались вместе с передачей вещи и отдельно не вычленялись. Возможно, первым отделилось право пользования в виде аренды. Организационное, юридическое, техническое развитие общества позволило разделить некогда единое право собственности на большое число отдельных прав и независимо друг от друга передавать их от одного лица к другому. Сегодня вещь часто передается как приложение к приобретённому праву (полной собственности, пользования, прослушивания). Таким образом, товаром можно назвать передаваемое другому лицу право на что-либо, которое может сопровождаться передачей вещей.
Пространство товаров — множество всех возможных наборов благ (товаров), потенциально доступных потребителям – ключевое понятие мат. экономики, которое мы подробнее рассмотрим в данной курсовой.
1.Векторы
Вектором называется упорядоченный набор чисел. Так, (1, 3, 7) есть вектор. Обозначим его кратко P тогда Р = (1, 3, 7). Числа в векторе с учетом их расположения по номеру в наборе называются компонентами, вектора. Так, в векторе Р число 1 есть 1-я компонента, число 3 - 2-я, число 7 - 3-я компонента. Число компонент вектора называется его размерностью. Следовательно P - трехмерный вектор.
Пример 1. Пусть завод производит мужские, женские и детские велосипеды. Тогда объем его производства V за год можно записать как вектор (M, L, D), где М – объем производства за год мужских велосипедов, L – женских, D – детских. Например пусть объем производства в 1996 году был V96 = (1000, 800, 4000). Предположим, что план производства на 1997 год на 10% больше объема производства в 1996 году, тогда этот план есть вектор V97 = (1100, 880, 4400). Пусть торговая фирма «Велосипеды» покупает половину всей продукции завода, тогда в 1996 году она купила W = (500, 400, 2000). Предположим, что в стране всего 3 велосипедных завода, объемы производства которых в 1996 году были Q1 = (1000, 800, 4000), Q2 = (1000, 600, 2000), Q3 = (2000, 1600, 8000). Тогда все три завода произвели Q = (4000, 3000, 14000), т.е. 4000 мужских, 3000 женских, 14000 детских велосипедов. Можно также отметить, что Q3=2Q1, т.е. третий завод произвел в 2 раза больше велосипедов каждого вида, чем первый завод.
Приведенные выше векторы V96, V97, W, Q1, Q2, Q3 и т.д. – это примеры конкретных векторов. Произвольный трехмерный вектор можно обозначить (x1, x2, x3) или кратко X. В векторе Х компонента х1 есть первая компонента, х2 – вторая, х3 – третья. Произвольный четырехмерный вектор можно обозначить (х1, х2, х3, х4), и если n – какое-нибудь натуральное число, то (х1, … ,хn) обозначает произвольный n-мерный вектор.
Векторы бывают двух видов – векторы-строки и векторы-столбцы. Все вышеприведенные были векторы-строки. Векторы-строки записываются в виде упорядоченной строки, а векторы-столбцы в виде упорядоченного столбца (нумерации компонент вектора-столбца идет сверху). По типографским соображениям удобнее иметь дело с векторами-строками. Однако иногда необходимо использовать векторы-столбцы. Векторы широко используются во всех областях науки, в том числе в экономической. Многие обозначения при использовании векторов очень компактны, при этом не теряют в наглядности и содержательности.
Примечание 1. Вообще-то в математике понятие «вектор» многозначно. Уже в школе в курсе физики вектор понимался как направленный отрезок с фиксированным началом (точкой приложения силы). В геометрии иногда под вектором понимается преобразование плоскости или пространства специального вида (перемещение). В дальнейшем такое понимание вектора иногда будет использоваться.
Примечание 2. В математике понятие «вектор» может обозначать упорядоченный набор не только чисел, но и любых объектов, т.е. когда 1-я компонента вектора обозначает (или есть) элемент некоторого множества M1, 2-я компонента — элемент множества М2 и т.д. Это более общее понятие вектора.
В примере 1 мы уже умножали вектор на число. Действительно, Q3 = 2Q1,. В этом же примере мы сложили три вектора Q1 + Q2 + Q3 и получили их сумму Q. Действия с векторами очень естественны и весьма напоминают обычные действия с числами. Можно сказать, что действия с векторами являются естественным распространением действий над числами на более широкую область.
Любой вектор можно умножить на любое число. Для этого каждая компонента вектора умножается на это число и эти произведения образуют вектор-результат.
Умножим вектор U = (2, 3) на 3, Получим вектор (6, 9). Его естественно обозначить 3U.
Умножим вектор Q1 - (1000, 800, 4000) на 2. Получим вектор (2000, 1600, 8000), равный Q3. Итак, Q3 = 2Q1, что и послужило нам основанием сказать выше, что 3-й велосипедный завод произвел в 2 раза больше велосипедов, чем 1-й, (Иногда, впрочем, при умножении вектора содержательный смысл вектора-результата теряется. Например, при умножении вектора Q1, на 1/3 в векторе-результате 2-я компонента не целое число и ее нельзя трактовать как число велосипедов.)
Любые два вектора одной размерности можно сложить. Для этого складываются первые компоненты, затем вторые и т.д. Эти суммы образуют вектор-результат.
Сложим вектор Q1 = (1000, 800, 4000) и Q3 = (2000, 1600, 8000).
Получим вектор К = (3000, 2400, 12000). Проверьте, что К = 3Q1.
Однако векторы разной размерности складывать нельзя.
Операции умножения вектора на число и сложения векторов обладают следующими свойствами:
а) сложение векторов ассоциативно, т.е. (Х+ Y) + Z = Х + (Y+Z) — это свойство позволяет складывать любое конечное число векторов (так, в примере 1 была найдена сумма трех векторов Q1 + Q2 + Q3
б) сложение векторов распределительно по отношению к умножению на число, т.е. λ (Х + Y) = λ X+ λY.
Не будем описывать некоторые дальнейшие свойства операций над векторами, скажем лишь еще раз о сходстве операций над векторами с обычными операциями над числами.
Но есть и некоторые отличия операций над векторами от операций над числами. Так, для любых чисел а и b ≠ 0 можно узнать, «во сколько раз» a больше b, т.е. найти а/b. Но для двух векторов это сделать, в общем, нельзя. Например, для Е = (7, 1) и N = (1, 1) нет такого λ, чтобы Е = λN.
Два вектора называются равными, если они равны покомпонентно, т.е. если равны их первые компоненты, вторые и т.д. Итак, если Х =(x1, … , xn), Y =(y1, … , yn), то Х = Y если и только если хn = yn. Как видно из определения равенства, лишь для векторов одинаковой размерности можно говорить о равенстве или неравенстве этих векторов. Для векторов разной размерности говорить об их равенстве бессмысленно.
Описанные действия с векторами были иллюстрированы на примере векторов-строк. Действия с векторами-столбцами точно такие же, в результате получаются, конечно, также векторы-столбцы. Векторы-строки и векторы-столбцы одинаковой размерности связаны операцией транспонирования. Она превращает вектор-строку в вектор-столбец и, наоборот, вектор-столбец в вектор-строку. Эта операция обозначается верхним индексом т. Пусть U= (2, 3), тогда UT = (23). Легко понять, что операция транспонирования, осуществленная последовательно дважды, дает исходный вектор: (XT)T = X, каков бы ни был вектор X — строка или столбец.
Скалярное произведение векторов. Пусть Х =(x1, … , xn), Y =(y1, … , yn) — векторы одинаковой размерности, тогда число x1y1 + … + xnyn называется скалярным произведением векторов X и Y и обозначается X·Y. Приведем без доказательств (они очень просты) свойства скалярного произведения:
а) Х· = Y·X;
б) Х· (Y+ Z) = Х·У + Х·Z
в) Х· (λY) = λ (Х·Y) для любых векторов X, Y и любого числа λ.
2.Линейные пространства
Линейная зависимость и независимость векторов. Пусть Rn обозначает множество всех n-мерных векторов-строк. Заметим, что это не просто множество — Rn несет определенную структуру. Именно любой вектор Х∈ Rn можно умножить на любое число λX и результат — вектор λX есть снова элемент множества Rn. Сумма двух и даже любого конечного числа векторов из Rn снова есть элемент Rn. Кроме того, операции умножения вектора на число и сложения векторов связаны друг с другом определенными соотношениями (см. п. 2).
Во множестве Rn есть уникальный вектор 0 = (0, ..., 0). Его роль вполне аналогична роли числа 0 во множестве чисел. Так, 0·X = 0 и X + 0 = X для любого Х∈ Rn .
Вектор X, удовлетворяющий неравенству X > 0, называется неотрицательным. Неотрицательный вектор — это в точности тот, все компоненты которого неотрицательны. Вектор (2, 3) является неотрицательным, а вектор (-2, 4) — нет, ибо его 1-я компонента не является неотрицательным числом.
По всем этим причинам Rn называют n-мерным числовым (или арифметическим) линейным пространством. Слово «числовое» в названии линейного пространства подчеркивает, что элементами такого пространства являются векторы, компоненты которых есть числа.
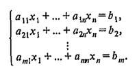
Вектор В = (b1, …, bm) называется линейной комбинацией векторов A = (a11, …, am1), …, An = (a1n, …, amn) той же размерности, если найдутся числа х1, ..., хn такие, что В = x1A1 + ... + хnАn. Следовательно, чтобы узнать это, надо решить систему из m линейных алгебраических уравнений (СЛАУ) с n неизвестными:

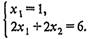
Узнаем, например, является ли вектор F = (1, 6) линейной комбинацией векторов H1 = (1, 2), H2 = (0, 2). Получаем совсем простую СЛАУ:
![]()
Ее решение: х1 = 1, х2 = 2. Следовательно, F = H1 + 2H2.
Система векторов называется линейно зависимой если какой-то вектор системы есть линейная комбинация остальных векторов системы, и линейно независимой в противном случае, т.е. когда никакой вектор системы не является линейной комбинацией остальных векторов системы.
Например, система из трех вышеприведенных векторов F1, H1, H2 линейно зависима, ибо F = H1 + 2H2
Пусть A— какая-нибудь система векторов, тогда ее подсистема ε называется базисом этой системы, если ε линейно независима, и любой вектор системы A есть линейная комбинация векторов из ε.
Пусть ε = (E1, …, En). Если B ∈ A, то B = λ1E1 +... + λnEn при некоторых λ1, …, λn
Линейная комбинация λ1E1 +... + λnEn называется разложением вектора В по векторам E1... En, а числа λ1, ..., λnназываются коэффициентами этого разложения.
Эти коэффициенты называются координатами вектора в базисе ε.
3. Пространство товаров, цены
Под товаром понимается некоторое благо или услуга, поступившие в продажу в определенное время и в определенном месте. Будем считать, что имеется n различных товаров, количество i-го товара обозначается хi тогда некоторый набор товаров обозначается X = = (x1,…, хn). Как известно, упорядоченный набор n чисел называется n-мерным вектором, так что X есть n-мерный вектор. Вообще-то набор товаров надо считать вектором-столбцом, но по соображениям экономии места будем изображать его вектором-строкой. Будем рассматривать, как правило, только неотрицательные количества товаров, так что хi ≥ 0 для любого i = 1, … ,n или Х≥ 0.
Множество всех наборов товаров называется пространством товаровС. Это множество называется пространством потому, что в нем можно сложить любые два набора и умножить любой набор товаров на любое неотрицательное число. Возможность умножения набора товаров на любое неотрицательное число отражает предположение о безграничной делимости и умножении товаров (т.е. товары устроены наподобие сахарного песка, а не авианосцев). Набор товаров можно трактовать, как корзину, в которой лежат эти товары в соответствующем количестве. Аналогично интерпретируются и операции с наборами товаров.
Решение потребителя о покупке определенного набора товаров математически - выбор конкретной точки в пространстве C.
Пример 2. Пространство товаров С представляет собой часть арифметического линейного пространства Rn — так называемый неотрицательный октант, С = {X ∈ Rn : X≥ 0}. Поэтому при работе с пространством товаров можно использовать структуру линейного пространства (соблюдая некоторые естественные ограничения). Так, для любого X Є С подмножество LX = {λX: 0 ≤ λ} называется лучом, проходящим через X; для любых двух точек X, Y любая точка αХ + βY ∈ С называется их линейной комбинацией, а множество (X, Y) = {αХ + βY: α, β ≥ 0, α + β = 1} называется отрезком, соединяющим X и Y. Подмножество W ≤ С является выпуклым, если вместе с любыми X,Y ∈ W весь соединяющий их отрезок лежит в W.
Предполагается, что каждый товар имеет цену. Все цены строго положительны. Пусть цена единицы i-го товара есть рi, тогда Р = (pi,…,рn) есть вектор-строка цен.
Для набора товаров X и вектора цен Р их скалярное произведение РХ = р1x1 + ... + рnxn есть число, называемое ценой набора X или его стоимостью, и будет обозначаться С(Х).

Пример 3. Отношение равной стоимости разбивает все пространство товаров на непересекающиеся классы (для случая двух товаров см. рис. 1). Пусть вектор цен есть (2, 3), тогда класс наборов стоимости 30 есть отрезок АВ, а стоимости 60 есть отрезок MN. Стрелка показывает направление увеличения стоимости наборов. В качестве этой стрелки можно взять вектор цен.
С обыденной точки зрения каждый товар должен быть желателен для участников экономики и должен обладать определенной потребительской полезностью. Это свойство товаров выражается в некоторой мере через цены на них.
Пусть вектор цен есть Р. Зафиксируем какую-нибудь денежную сумму Q и назовем ее доходом.
Множество наборов товаров стоимости не более Q при данных ценах Р называется бюджетным множеством В; множество наборов товаров стоимости ровно Q называется границей G этого бюджетного множества.
Бюджетное множество и его граница зависят от цен и дохода, так что точнее их было бы обозначать В(Р, Q) и G(P, Q).
Бюджетное множество и его границу можно определить так:
с помощью обычных неравенств и равенств —
В(Р, Q) = {(x1, ..., хn): х1 …, хn ≥ 0, p1x1 + ... + pnxn ≤Q)
G(P, Q) = {(x1, ..., хn): х1 …, хn ≥ 0, p1x1 + ... + pnxn = Q);
с помощью векторных неравенств и равенств —
В(Р, Q) = {Х:Х> О, РХ< 0 , G{P, Q) = {Х:Х> О, РХ= Q).
Для случая двух товаров см. рис. 1.
При Р = (2, 3) и Q = 30 бюджетное множество В(Р, Q) есть треугольник ОАВ, точка A имеет координату Q/p1 = 15, точка В — Q/p2 = 30. Отрезок АВ есть граница бюджетного множества, отрезок АВ перпендикулярен вектору цен. При увеличении Q граница бюджетного множества движется в направлении вектора цен. При изменении цен об изменении бюджетного множества можно судить по движению точек А(р1) = Q/p1, B(p2) = Q/p2.
Бюджетное множество выпукло, ограниченно и замкнуто.
Граница бюджетного множества также есть выпуклое, ограниченное и замкнутое множество.
4. Пространство товаров и система предпочтений
Одним из основных элементов — участников экономики — является домашнее хозяйство, определяемое как некоторая группа индивидуумов, выступающая как единое целое, распределяющая свой доход на покупку и потребление товаров и услуг. В общем, участник экономики, рассматриваемый с этой точки зрения, называется потребителем. Проблема рационального поведения потребителя заключается в решении вопроса о том, какие количества товаров или услуг он хочет и может приобрести при заданных ценах и его доходе.
Специально отметим, что существуют разные точки зрения на роль индивидов-потребителей. В неоклассической экономической теории эта роль является основной, определяющей. Вся остальная экономика вырастает из желаний и потребностей такого индивида.
Выше была сформулирована аксиома потребителя, полностью описывающая его поведение в вопросах потребления. Эта аксиома чрезвычайно упрощает анализ поведения потребителя.
Выбор потребителем некоторого набора товаров во многом зависит от его вкусов, желаний.
Запись y ≤ x означает, что потребитель предпочитает набор x набору y или не делает между ними различий, запись x ~ y – оба набора обладают одинаковой степенью предпочтения.
Потребуем выполнение следующих аксиом:
1) x ≥ x, для любого x (рефлексивность);
2) если x ≥ y, y ≥ z, то х ≥ z (транзитивность);
3) для любой пары x, y либо x ≥ y, либо y ≥ x, либо и то и другое.
Кроме аксиом 1 – 3 на отношение предпочтения накладывают ряд других ограничений, главными из которых являются непрерывность и ненасыщаемость.
Отношение предпочтения f называется непрерывным на множестве Х, если множество { (x,y) | x ≥ y } является открытым подмножеством декартова произведения X × X, т.е. если набор товаров x0 строго предпочтительнее набора y0, то при малом изменении каждого из этих наборов отношение строгого предпочтения сохраняется.
Точкой насыщения называется наиболее предпочтительный набор х ∈ Х, т.е. такой, что x ≥ y для всех х ∈ Х. Если Х не содержит точки насыщения, то говорят, что имеет место ненасыщаемости, то х > у (ненасыщаемость: больший набор всегда предпочтительнее меньшего).
На непрерывном множестве потребительских наборов можно задать числовую функцию u(x).
Функция u(x), определенная на множестве Х, называется функцией полезности, соответствующей отношению предпочтения f, если u(х) ≥ u(у) тогда и только тогда, когда x f y.
Для каждого потребителя такое представление многовариантно.
Математики называют отношение рефлексивным, если X < X для всякого X; симметричным, если X < Y влечет, что и Y < X; транзитивным, если X < Y и Y < Z влечет X < Z; совершенным (или полным), если для любых двух наборов X, Y либо X Аксиома. 1) Отношение слабого предпочтения рефлексивно, транзитивно и совершенно; 2) Отношение равноценности рефлексивно, симметрично и транзитивно; 3) Отношение предпочтения транзитивно; 4) Для любого X ∈ С множество предпочтительности РX= {Y:X < Y) выпукло; 5) Каждый товар желателен для индивида: если X ≤ Y, то и X ≤ Y, а если к тому же Х ≠ Y (т.е. хi Подчеркнем, что это именно аксиома, выражающая фундаментальные свойства системы предпочтений индивида, вообще говоря, живого человека. Что касается рефлексивности и совершенности, то они представляются вполне понятными. Ведь рефлексивность означает, что любой набор товаров равноценен сам себе. А совершенность означает, что индивид в состоянии сравнить по привлекательности любые два набора товаров. Пятое свойство также понятно и в разъяснениях не нуждается. Какой смысл в четвертом свойстве системы предпочтений? Выпуклость означает, что лучше иметь комбинацию товаров, пусть в меньших количествах, чем просто только какой-то один из этих товаров (лучше иметь немножко соли, сахара, кофе, хлеба, чем одну только соль, один сахар, кофе, хлеб, хотя бы и в большем количестве). Свойство транзитивности, которым обладают отношения предпочтения и слабого предпочтения, не совсем очевидно, не очень наглядно и не сразу осознается потребителем, но если ему объяснить, что получится, если его система предпочтений не транзитивна, то он согласится, что свойство транзитивности должно быть, и произведет необходимую переоценку привлекательности для него тех или иных наборов товаров. 5. Потребительская корзина Положение каждого потребителя с точки зрения наличия у него товаров, мы можем выразить с помощью потребительской корзины. В каждый данный момент времени потребителю доступно конечное число товаров, причем потребление некоторых из них должно быть не на нулевом уровне. N=3 Получаем аналог N-мерного пространства, его положительную часть. Любой точке этого пространства соответствует некий товарный набор. Все возможные товарные наборы, взятые вместе, образуют это пространство – пространство благ. Наша задача: для отдельно взятого потребителя научиться определять полезность каждого набора благ. В идеале, хорошо было бы иметь некоторую функцию, где вместо аргументов было бы количество благ. Подставляя в нее реальные значения, мы получили бы индекс полезности, с помощью которого могли бы сравнить любые наборы благ. Для большинства утверждений мы можем рассматривать товарное пространство на плоскости. Q1min, Q2min – минимально необходимый набор благ. B≥A; D≥B; D≥A; C≥A; D≥C; B ? С – основная проблема. Заключение Понятие пространства товара является важнейшим в курсе математической экономики и, как мы указали, означает множество наборов товаров. Набор товаров можно трактовать, как корзину, в которой лежат эти товары в соответствующем количестве. Неотделимо от этого понятия следует также понятие цены, означающей себестоимость товара + набавки. Цена устанавливается на каждый товар индивидуально и определяет спрос и предложение на товар. Из этих основополагающих понятий исходят и другие важные понятия математической экономики, такие как бюджетное множество, система предпочтений, функция полезности и т.д…, которые более подробно будут рассмотрены в других работах. Список использованной литературы 1. В. И. Малыхин «Математика в экономике». Издательство: Инфра-М 2000 2. «Математика в экономике. Основы экономического анализа.». УСЭИ, Челябинск 2001. Составители: Забейворота В.И., Иванова В.Н., Завьялов В.Г. 3. Колемаев В.А. «Математическая экономика». Издательство: Юнити , 1998. 4. Ланкастер К «Математическая экономика». М., 1979. 5. Лифшиц А.Я. «Введение в рыночную экономику», M. , 1991 6. «Введение в математический анализ .Учебное пособие по математике для студентов всех специальностей заочной формы обучения», ГТУ 2007. 7. Н. Н. Данилов «Курс математической экономики». Издательство: Высшая школа, 2006 г. 8. ru.wikipedia.org – Википедия свободная энциклопедия 9. http://mylearn.ru/kurs/29 - Математически модели в экономике 10. http://www.mathematica.ru
– индекс товаров.
– индекс потребителя.
– количество товаров вида j в системе (запас блага j в системе).
– количество товара вида j, находящегося в распоряжении потребителя под номером k.
– условие частной собственности (нет ничейных товаров).
– векторная величина; набор потребительских товаров у потребителя k.Некоторые значения могут быть равны 0 (нет товаров).
