Показатели качества элементарных звеньев
Министерство образования и науки Российской Федерации
Отчет
по лабораторной работе № 1
«Показатели качества элементарных звеньев»
Вариант-2
Преподаватель
Студент гр.
Екатеринбург, 2008
2. Апериодическое звено (Инерционное звено)
3. Реальное дифференцирующее звено
6. Неустойчивое звено первого порядка
7. Неустойчивое звено второго порядка
8. Интегро-диффиренцирующее звено
Установочные данные:
| K | 1; 6 |
| T | 0,5; 5 |
| ξ | 1,1 |
| 0,6 | |
| 0,1 | |
| 0 | |
| -0,1 |

Вычисление показателей качества:
Безынерционное звено
Уравнение динамики -> ![]()
Передаточная функция W(s) -> ![]()
a) k=1

Рис.1.а. Безынерционное звено (при k=1)
Значение показателей качества:
Время регулирования:
![]()
![]()
0
Перерегулирование:
![]()
0
Время нарастания (tн – время достижения в первый раз установившегося значения): 0
Количество колебаний N за время регулирования tр:0
Статическая точность, установившаяся ошибка: 0
б) k=6

Рис.1.b. Безынерционное звено (при k=6)
Значение показателей качества:
Время регулирования:
![]()
![]()
0
Перерегулирование:
![]()
0
Время нарастания (tн – время достижения в первый раз установившегося значения): 0
Количество колебаний N за время регулирования tр: 0
Статическая точность, установившаяся ошибка: 5
Апериодическое звено (Инерционное звено)
Уравнение динамики -> ![]()
Передаточная функция W(s) -> ![]()
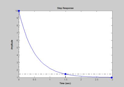
a) k=1, T=0.5

Рис.2.а. Апериодическое звено (при k=1, T=0.5)
Значение показателей качества:
Время регулирования:
![]()
![]()
1.5
Перерегулирование:
![]()
0
Время нарастания tн – время достижения в первый раз установившегося значения: 1.5
Количество колебаний N за время регулирования tр: 0
Статическая точность, установившаяся ошибка: 0.5
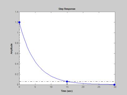
б) k=6, T=5

Рис.2.b. Апериодическое звено (при k=6, T=5)
Значение показателей качества:
Время регулирования:
![]()
![]()
15
Перерегулирование:
![]()
0
Время нарастания tн – время достижения в первый раз установившегося значения: 15
Количество колебаний N за время регулирования tр: 0
Статическая точность, установившаяся ошибка: 5
с) k=6, T=0.5

Рис.2.с. Апериодическое звено (при k=6, T=0.5)
Значение показателей качества:
Время регулирования:
![]()
![]()
1.5
Перерегулирование:
![]()
0
Время нарастания tн – время достижения в первый раз установившегося значения: 1.5
Количество колебаний N за время регулирования tр: 0
Статическая точность, установившаяся ошибка: 5
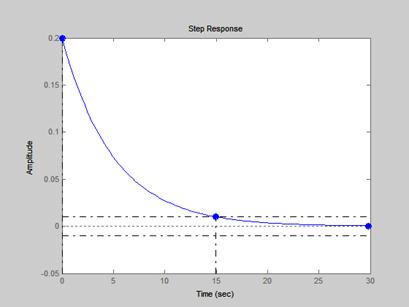
d) k=1, T=5

Рис.2.d. Апериодическое звено (при k=6, T=0.5)
Значение показателей качества:
Время регулирования:
![]()
![]()
15
Перерегулирование:
![]()
0
Время нарастания tн – время достижения в первый раз установившегося значения: 15
Количество колебаний N за время регулирования tр: 0
Статическая точность, установившаяся ошибка: 0
3 .Реальное дифференцирующее звено
Уравнение динамики -> ![]()
Передаточная функция W(s) -> ![]()
a) k=1, T=0.5

Рис.3.a. Реально дифференцирующее звено (при k=1, T=0.5)
Значение показателей качества:
Время регулирования:
![]()
![]()
1.5
Перерегулирование:
![]()
lnf
Время нарастания tн – время достижения в первый раз установившегося значения: 1.5
Количество колебаний N за время регулирования tр: 0
Статическая точность, установившаяся ошибка: -1
b) k=1, T=5

Рис.3.b. Реально дифференцирующее звено (при k=1, T=5)
Значение показателей качества:
Время регулирования:
![]()
![]()
1.5
Перерегулирование:
![]()
-7.21e+017
Время нарастания tн – время достижения в первый раз установившегося значения: 15
Количество колебаний N за время регулирования tр: 0
Статическая точность, установившаяся ошибка: (-2.78e-017)-1
c) k=6, T=0.5

Рис.3.c. Реально дифференцирующее звено (при k=6, T=0.5)
Значение показателей качества:
Время регулирования:
![]()
![]()
1.5
Перерегулирование:
![]()
lnf
Время нарастания tн – время достижения в первый раз установившегося значения: 1.5
Количество колебаний N за время регулирования tр: 0
Статическая точность, установившаяся ошибка: -1
d) k=6, T=5

Рис.3.d. Реально дифференцирующее звено (при k=6, T=5)
Значение показателей качества:
Время регулирования:
![]()
![]()
15
Перерегулирование:
![]()
lnf
Время нарастания tн – время достижения в первый раз установившегося значения: 15
Количество колебаний N за время регулирования tр: 0
Статическая точность, установившаяся ошибка: -1
Уравнение динамики -> ![]()
Передаточная функция W(s) -> ![]()
a) k=1, T=0.5, ![]()
Значение показателей качества
Время регулирования:
![]()
![]()
2.75

Рис.4.a. Колебательное звено (при k=1, T=0.5
)
Перерегулирование:
![]()
0
Время нарастания tн – время достижения в первый раз установившегося значения: 2.75
Количество колебаний N за время регулирования tр: 0
Статическая точность, установившаяся ошибка: 0
b) k=1, T=0.5, ![]()
Значение показателей качества
Время регулирования:
![]()
![]()
2.61

Рис.4.b. Колебательное звено (при k=1, T=0.5,
)
Перерегулирование:
![]()
9.47
Время нарастания tн – время достижения в первый раз установившегося значения: 1.27
Количество колебаний N за время регулирования tр: 0
Статическая точность, установившаяся ошибка: 0
c) k=1, T=0.5, ![]()
Значение показателей качества
Время регулирования:
![]()
![]()
14.5

Рис.4.c. Колебательное звено (при k=1, T=0.5,
)
Перерегулирование:
![]()
72.9
Время нарастания tн – время достижения в первый раз установившегося значения: 0.81
Количество колебаний N за время регулирования tр: 4
Статическая точность, установившаяся ошибка: 0
d) k=1, T=0.5, ![]()
Значение показателей качества
Время регулирования:
![]()
>25
Перерегулирование:
![]()
100

Рис.4.d. Колебательное звено (при k=1, T=0.5,
)
Время нарастания tн – время достижения в первый раз установившегося значения: 0.761
Количество колебаний N за время регулирования tр:
Установившийся режим не наступает
Статическая точность, установившаяся ошибка: 0
e) k=1, T=0.5, ![]()
Значение показателей качества
Время регулирования:
![]()
>12

Рис.4.e. Колебательное звено (при k=1, T=0.5,
)
Перерегулирование:
![]()
912
Время нарастания tн – время достижения в первый раз установившегося значения: 0.717
Количество колебаний N за время регулирования tр:
Установившийся режим не наступает
Статическая точность, установившаяся ошибка: 0
f) k=1, T=5, ![]()
Значение показателей качества
Время регулирования:
![]()
![]()
27.5

Рис.4.f. Колебательное звено (при k=1, T=5,
)
Перерегулирование:
![]()
0
Время нарастания tн – время достижения в первый раз установившегося значения: 27.5
Количество колебаний N за время регулирования tр: 0
Статическая точность, установившаяся ошибка: 0
g) k=1, T=5, ![]()
Значение показателей качества
Время регулирования:
![]()
![]()
26.1

Рис.4.g. Колебательное звено (при k=1, T=5,
)
Перерегулирование:
![]()
9.47
Время нарастания tн – время достижения в первый раз установившегося значения: 12.7
Количество колебаний N за время регулирования tр: 0
Статическая точность, установившаяся ошибка: 0
h) k=1, T=5, ![]()
Значение показателей качества
Время регулирования:
![]()
![]()
145
Перерегулирование:
![]()
72.9

Рис.4.h. Колебательное звено (при k=1, T=5,
)
Время нарастания tн – время достижения в первый раз установившегося значения: 8.1
Количество колебаний N за время регулирования tр: 4
Статическая точность, установившаяся ошибка: 0
i) k=1, T=5, ![]()
Значение показателей качества
Время регулирования:
![]()
>70

Рис.4.h. Колебательное звено (при k=1, T=5,
)
Перерегулирование:
![]()
100
Время нарастания tн – время достижения в первый раз установившегося значения: 7.6
Количество колебаний N за время регулирования tр:
Установившийся режим не наступает
Статическая точность, установившаяся ошибка: 0
j) k=1, T=5, ![]()
Значение показателей качества
Время регулирования:
![]()
>120

Рис.4.j. Колебательное звено (при k=1, T=5,
)
Перерегулирование:
![]()
912
Время нарастания tн – время достижения в первый раз установившегося значения: 7.17
Количество колебаний N за время регулирования tр: Установившийся режим не наступает
Статическая точность, установившаяся ошибка: 0
k) k=6, T=0.5, ![]()
Значение показателей качества
Время регулирования:
![]()
![]()
2.75

Рис.4.k. Колебательное звено (при k=6, T=0.5,
)
Перерегулирование:
![]()
0
Время нарастания tн – время достижения в первый раз установившегося значения: 2.75
Количество колебаний N за время регулирования tр: 0
Статическая точность, установившаяся ошибка: 5
l) k=6, T=0.5, ![]()
Значение показателей качества
Время регулирования:
![]()
![]()
2.61
Перерегулирование:
![]()
9.47
Время нарастания tн – время достижения в первый раз установившегося значения: 1.27
Количество колебаний N за время регулирования tр:0
Статическая точность, установившаяся ошибка: 5

Рис.4.l. Колебательное звено (при k=6, T=0.5,
)
m) k=6, T=0.5, ![]()

Рис.4.m. Колебательное звено (при k=6, T=0.5,
)
Значение показателей качества
Время регулирования:
![]()
![]()
14.5
Перерегулирование:
![]()
72.9
Время нарастания tн – время достижения в первый раз установившегося значения: 0.81
Количество колебаний N за время регулирования tр: 4
Статическая точность, установившаяся ошибка: 5
n) k=6, T=0.5, ![]()

Рис.4.n. Колебательное звено (при k=6, T=0.5,
)
Значение показателей качества
Время регулирования:
![]()
>25
Перерегулирование:
![]()
100
Время нарастания tн – время достижения в первый раз установившегося значения: 0.761
Количество колебаний N за время регулирования tр:
Установившийся режим не наступает
Статическая точность, установившаяся ошибка: 5
o) k=6, T=0.5, ![]()

Рис.4.o. Колебательное звено (при k=6, T=0.5,
)
Значение показателей качества
Время регулирования:
![]()
>12
Перерегулирование:
![]()
912
Время нарастания tн – время достижения в первый раз установившегося значения: 0.717
Количество колебаний N за время регулирования tр:
Установившийся режим не наступает
Статическая точность, установившаяся ошибка: 5
p) k=6, T=5, ![]()

Рис.4.p. Колебательное звено (при k=6, T=5,
)
Значение показателей качества
Время регулирования:
![]()
![]()
27.5
Перерегулирование:
![]()
0
Время нарастания tн – время достижения в первый раз установившегося значения: 27.5
Количество колебаний N за время регулирования tр: 0
Статическая точность, установившаяся ошибка: 5
q) k=6, T=5, ![]()

Рис.4.q. Колебательное звено (при k=6, T=5,
)
Значение показателей качества
Время регулирования:
![]()
![]()
26.1
Перерегулирование:
![]()
9.47
Время нарастания tн – время достижения в первый раз установившегося значения: 12.7
Количество колебаний N за время регулирования tр: 0
Статическая точность, установившаяся ошибка: 5
r) k=6, T=5, ![]()

Рис.4.r. Колебательное звено (при k=6, T=5,
)
Значение показателей качества
Время регулирования:
![]()
![]()
145
Перерегулирование:
![]()
72.9
Время нарастания tн – время достижения в первый раз установившегося значения: 12.7
Количество колебаний N за время регулирования tр: 4
Статическая точность, установившаяся ошибка: 5
s) k=6, T=5, ![]()

Рис.4.s. Колебательное звено (при k=6, T=5,
)
Значение показателей качества
Время регулирования:
![]()
>70
Перерегулирование:
![]()
100
Время нарастания tн – время достижения в первый раз установившегося значения: 7.6
Количество колебаний N за время регулирования tр:
Установившийся режим не наступает
Статическая точность, установившаяся ошибка: 5
t) k=6, T=5, ![]()

Рис.4.t. Колебательное звено (при k=6, T=5,
)
Значение показателей качества
Время регулирования:
![]()
>120
Перерегулирование:
![]()
912
Время нарастания tн – время достижения в первый раз установившегося значения: 7.17
Количество колебаний N за время регулирования tр:
Установившийся режим не наступает
Статическая точность, установившаяся ошибка: 5
Уравнение динамики -> ![]()
Передаточная функция W(s) -> ![]()
a) k=1

Рис.5.a. Интегрирующее звено (при k=1)
Значение показателей качества:
Время регулирования:
![]()
![]()
0
Перерегулирование:
![]()
Lnf(unstable)
Время нарастания tн – время достижения в первый раз установившегося значения: 0
Количество колебаний N за время регулирования tр: 0
Статическая точность, установившаяся ошибка: 0
b) k=6

Рис.5.b. Интегрирующее звено (при k=6)
Значение показателей качества:
Время регулирования:
![]()
![]()
0
Перерегулирование:
![]()
Lnf(unstable)
Время нарастания tн – время достижения в первый раз установившегося значения: 0
Количество колебаний N за время регулирования tр:0
Статическая точность, установившаяся ошибка: 0
Неустойчивое звено первого порядка
Уравнение динамики -> ![]()
Передаточная функция W(s) -> ![]()
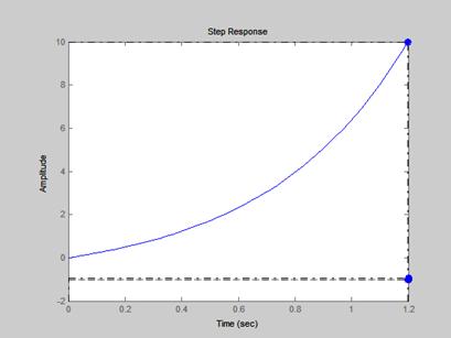
a) k=1, T=0.5

Рис.6.a. Неустойчивое звено первого порядка (при k=1, T=0.5)
Значение показателей качества:
Время регулирования:
![]()
>1.2
Перерегулирование:
![]()
-1.1e+003
Время нарастания tн – время достижения в первый раз установившегося значения: >1.2
Количество колебаний N за время регулирования tр: 0
Статическая точность, установившаяся ошибка: -2
b) k=1, T=5

Рис.6.b. Неустойчивое звено первого порядка (при k=1, T=5)
Значение показателей качества:
Время регулирования:
![]()
>12
Перерегулирование:
![]()
-1.1e+003
Время нарастания tн – время достижения в первый раз установившегося значения: >12
Количество колебаний N за время регулирования tр: 0
Статическая точность, установившаяся ошибка: -2
c) k=6, T=0.5

Рис.6.c. Неустойчивое звено первого порядка (при k=6, T=0.5)
Значение показателей качества:
Время регулирования:
![]()
>1.2
Перерегулирование:
![]()
-1.1e+003
Время нарастания tн – время достижения в первый раз установившегося значения: >1.2
Количество колебаний N за время регулирования tр: 0
Статическая точность, установившаяся ошибка: -7
d) k=6, T=5

Рис.6.d. Неустойчивое звено первого порядка (при k=6, T=5)
Значение показателей качества:
Время регулирования:
![]()
>12
Перерегулирование:
![]()
-1.1e+003
Время нарастания tн – время достижения в первый раз установившегося значения: >12
Количество колебаний N за время регулирования tр: 0
Статическая точность, установившаяся ошибка: -7
Неустойчивое звено второго порядка
Уравнение динамики -> ![]()
Передаточная функция W(s) -> ![]()
a) k=1, T=0.5, ![]()

Рис.7.a. Неустойчивое звено второго порядка (при k=1, T=0.5
)
Значение показателей качества
Время регулирования:
![]()
![]()
0.475
Перерегулирование:
![]()
368
Время нарастания tн – время достижения в первый раз установившегося значения: 0.475
Количество колебаний N за время регулирования tр: 0
Статическая точность, установившаяся ошибка: 0
b) k=1, T=0.5, ![]()

Рис.7.b. Неустойчивое звено второго порядка (при k=1, T=0.5,
)
Значение показателей качества
Время регулирования:
![]()
![]()
2.61
Перерегулирование:
![]()
1.05e+003
Время нарастания tн – время достижения в первый раз установившегося значения: 0.567
Количество колебаний N за время регулирования tр: 0
Статическая точность, установившаяся ошибка: 0
c) k=1, T=0.5, ![]()

Рис.7.c. Неустойчивое звено второго порядка (при k=1, T=0.5,
)
Значение показателей качества
Время регулирования:
![]()
>12
Перерегулирование:
![]()
912
Время нарастания tн – время достижения в первый раз установившегося значения: 0.717
Количество колебаний N за время регулирования tр:
Установившийся режим не наступает.
Статическая точность, установившаяся ошибка:0
d) k=1, T=0.5, ![]()

Рис.7.d. Неустойчивое звено второго порядка (при k=1, T=0.5,
)
Значение показателей качества
Время регулирования:
![]()
>25
Перерегулирование:
![]()
100
Время нарастания tн – время достижения в первый раз установившегося значения: 0.761
Количество колебаний N за время регулирования tр:
Установившийся режим не наступает.
Статическая точность, установившаяся ошибка: 0
e) k=1, T=0.5, ![]()

Рис.7.e. Неустойчивое звено второго порядка (при k=1, T=0.5,
)
Значение показателей качества
Время регулирования:
![]()
![]()
14.5
Перерегулирование:
![]()
72.9
Время нарастания tн – время достижения в первый раз установившегося значения: 0.81
Количество колебаний N за время регулирования tр: 4
Статическая точность, установившаяся ошибка: 0
f) k=1, T=5, ![]()

Рис.7.f. Неустойчивое звено второго порядка (при k=1, T=5,
)
Значение показателей качества
Время регулирования:
![]()
>8
Перерегулирование:
![]()
368
Время нарастания tн – время достижения в первый раз установившегося значения: 4.75
Количество колебаний N за время регулирования tр:
Установившийся режим не наступает.
Статическая точность, установившаяся ошибка: 0
g) k=1, T=5, ![]()

Рис.7.g. Неустойчивое звено второго порядка (при k=1, T=5,
)
Значение показателей качества
Время регулирования:
![]()
>20
Перерегулирование:
![]()
1.05e+003
Время нарастания tн – время достижения в первый раз установившегося значения: 5.67
Количество колебаний N за время регулирования tр:
Установившийся режим не наступает.
Статическая точность, установившаяся ошибка: 0
h) k=1, T=5, ![]()

Рис.7.h. Неустойчивое звено второго порядка (при k=1, T=5,
)
Значение показателей качества
Время регулирования:
![]()
>120
Перерегулирование:
![]()
912
Время нарастания tн – время достижения в первый раз установившегося значения: 7.17
Количество колебаний N за время регулирования tр:
Установившийся режим не наступает.
Статическая точность, установившаяся ошибка: 0
i) k=1, T=5, ![]()

Рис.7.i. Неустойчивое звено второго порядка (при k=1, T=5,
)
Значение показателей качества
Время регулирования:
![]()
>70
Перерегулирование:
![]()
100
Время нарастания tн – время достижения в первый раз установившегося значения: 7.6
Количество колебаний N за время регулирования tр:
Установившийся режим не наступает.
Статическая точность, установившаяся ошибка: 0
j) k=1, T=5, ![]()

Рис.7.j. Неустойчивое звено второго порядка (при k=1, T=5,
)
Значение показателей качества
Время регулирования:
![]()
![]()
145
Перерегулирование:
![]()
72.9
Время нарастания tн – время достижения в первый раз установившегося значения: 8.1
Количество колебаний N за время регулирования tр: 4
Статическая точность, установившаяся ошибка: 0
k) k=6, T=0.5, ![]()

Рис.7.k. Неустойчивое звено второго порядка (при k=6, T=0.5,
)
Значение показателей качества
Время регулирования:
![]()
>0.8
Перерегулирование:
![]()
368
Время нарастания tн – время достижения в первый раз установившегося значения: 0.475
Количество колебаний N за время регулирования tр:
Установившийся режим не наступает.
Статическая точность, установившаяся ошибка:5
l) k=6, T=0.5, ![]()

Рис.7.l. Неустойчивое звено второго порядка звено (при k=6, T=0.5,
)
Значение показателей качества
Время регулирования:
![]()
>2
Перерегулирование:
![]()
1.05e+003
Время нарастания tн – время достижения в первый раз установившегося значения: 0.567
Количество колебаний N за время регулирования tр:
Установившийся режим не наступает.
Статическая точность, установившаяся ошибка: 5
m) k=6, T=0.5, ![]()

Рис.7.m. Неустойчивое звено второго порядка (при k=6, T=0.5,
)
Значение показателей качества
Время регулирования:
![]()
>12
Перерегулирование:
![]()
912
Время нарастания tн – время достижения в первый раз установившегося значения: 0.717
Количество колебаний N за время регулирования tр:
Установившийся режим не наступает.
Статическая точность, установившаяся ошибка: 5
n) k=6, T=0.5, ![]()

Рис.7.n. Неустойчивое звено второго порядка (при k=6, T=0.5,
)
Значение показателей качества
Время регулирования:
![]()
>25
Перерегулирование:
![]()
100
Время нарастания tн – время достижения в первый раз установившегося значения: 0.761
Количество колебаний N за время регулирования tр:
Установившийся режим не наступает.
Статическая точность, установившаяся ошибка: 5
o) k=6, T=0.5, ![]()

Рис.7.o. Неустойчивое звено второго порядка (при k=6, T=0.5,
)
Значение показателей качества
Время регулирования:
![]()
![]()
14.5
Перерегулирование:
![]()
72.9
Время нарастания tн – время достижения в первый раз установившегося значения: 0.81
Количество колебаний N за время регулирования tр: 4
Статическая точность, установившаяся ошибка: 5
p) k=6, T=5, ![]()

Рис.7.p. Неустойчивое звено второго порядка (при k=6, T=5,
)
Значение показателей качества
Время регулирования:
![]()
>8
Перерегулирование:
![]()
368
Время нарастания tн – время достижения в первый раз установившегося значения: 4.75
Количество колебаний N за время регулирования tр:
Установившийся режим не наступает.
Статическая точность, установившаяся ошибка: 5
q) k=6, T=5, ![]()

Рис.7.q. Неустойчивое звено второго порядка (при k=6, T=5,
)
Значение показателей качества
Время регулирования:
![]()
>20
Перерегулирование:
![]()
1.05e+003
Время нарастания tн – время достижения в первый раз установившегося значения: 5.67
Количество колебаний N за время регулирования tр:
Установившийся режим не наступает.
Статическая точность, установившаяся ошибка: 5
r) k=6, T=5, ![]()

Рис.7.r. Неустойчивое звено второго порядка (при k=6, T=5,
)
Значение показателей качества
Время регулирования:
![]()
>120
Перерегулирование:
![]()
912
Время нарастания tн – время достижения в первый раз установившегося значения: 7.17
Количество колебаний N за время регулирования tр:
Установившийся режим не наступает.
Статическая точность, установившаяся ошибка: 5
s) k=6, T=5, ![]()

Рис.7.s. Неустойчивое звено второго порядка (при k=6, T=5,
)
Значение показателей качества
Время регулирования:
![]()
>70
Перерегулирование:
![]()
100
Время нарастания tн – время достижения в первый раз установившегося значения: 7.6
Количество колебаний N за время регулирования tр:
Установившийся режим не наступает.
Статическая точность, установившаяся ошибка: 5
t) k=6, T=5, ![]()

Рис.7.t. Неустойчивое звено второго порядка (при k=6, T=5,
)
Значение показателей качества
Время регулирования:
![]()
![]()
145
Перерегулирование:
![]()
72.9
Время нарастания tн – время достижения в первый раз установившегося значения: 8.1
Количество колебаний N за время регулирования tр: 4
Статическая точность, установившаяся ошибка: 5
Уравнение динамики -> ![]()
Передаточная функция W(s) -> ![]()
a) T1=0.5; T2=5; k=1

Рис.8.a. Неустойчивое звено второго порядка (при T1=0.5; T2=5; k=1)