Исследование биполярного транзистора
Тема: "Исследование биполярного транзистора"
Цель: Получение входных и выходных характеристик транзистора.
Приборы и элементы: Биполярный транзистор 2N3904, источник постоянной ЭДС, источник переменной ЭДС, амперметры, вольтметры, осциллограф, резисторы.
Ход работы:
1. Получение выходной характеристики транзистора в схеме с ОЭ.
а) В схеме (рис. 1) провели измерения тока коллектора IК для каждого значения ЕК и ЕБ и заполнили таблицу 1 в разделе «Результаты экспериментов». По данным таблицы построили график зависимости IК от Ек.
б) Построили схему, изображенную на рис. 2. Включили схему. Зарисовали осциллограмму выходной характеристики, соблюдая масштаб, в разделе «Результаты экспериментов». Повторили измерения для каждого значения ЕБ из таблицы 1. Осциллограммы выходных характеристик для разных токов базы зарисовали в разделе «Результаты экспериментов» на одном графике.

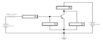
Рисунок 1. – Схема биполярного транзистора с ОЭ
в) По выходной характеристике нашли коэффициент передачи тока рас при изменении базового тока с 10 µА до 30 µА, Ек = 10 В. – Результат записали в раздел «Результаты экспериментов».
Таблица 1. – Результаты экспериментов
| Ek | |||||||
| Eb | Ib(mkA) | 0,1 | 0,5 | 1 | 5 | 10 | 20 |
| 1,66 | 9.245 | 0,783 | 1,604 | 1,622 | 1,673 | 1,749 | 1,901 |
| 2,68 | 19.23 | 1,656 | 3,453 | 3,469 | 3,595 | 3,753 | 4,069 |
| 3,68 | 29.11 | 2,479 | 5,209 | 5,233 | 5,422 | 5,657 | 6,129 |
| 4,68 | 39.02 | 3,269 | 6,903 | 6,934 | 7,182 | 7,493 | 8,115 |
| 5,7 | 49.15 | 4,042 | 8,656 | 8,606 | 8,914 | 9,29 | 10,07 |
Подобные работы: