Дедуктивные умозаключения
Контрольна робота
З курсу „Логіка”
Завдання
Теоретичне питання: Дедуктивні умовиводи
Задачі:
1. Чи правильно визначені відношення між поняттями:
А - фінансист;
В - державний службовець;
С – спортсмен;
Д – студент?
2. Дайте реальне та номінальне визначення поняттям: Конституція, валюта, вулиця.
3. Визначте вид судження, терміни і їх розподіленість за допомогою “логічного квадрату”, утворіть інші судження, звернувши увагу на їх істинність:
Деякі приміщення потребують ремонту в цьому році.
4. Наведіть приклади судження, яке відповідає наведеній формулі. Складіть для нього таблицю істинності: (В Ú С) → А
5. Проаналізуйте з погляду дотримання формально-логічних законів наведені міркування:
Свідок А.: Фірма Н. не мала солідних ділових партнерів. Внаслідок цього вона не отримувала великих прибутків.
Свідок Б. Фірма С. має великий досвід роботи і солідний авторитет. Два роки тому вона підписала договір про співробітництво з фірмою Н., що принесло їм солідні прибутки.
6. Зробіть методом перетворення, обернення і протиставлення предиката безпосередні умовиводи з такого засновку:
Жоден із туристів нашої групи не знав німецької мови.
7. Наведіть приклад деструктивної дилеми. Доведіть її правильність.
8. Побудуйте доказ тези методом доведення до абсурду:
Організація потребує фінансової допомоги.
9. Яка форма мислення виражена у міркуванні:
Зима. Вечоріє. Вночі, напевно, піде сніг?
Дедуктивные умозаключения
Выводы из сложных суждений. Другие виды дедуктивных выводов
Умозаключения строятся не только из простых, но и из сложных суждений. Широко используются умозаключения, посылками которых являются условные и разделительные суждения, выступающие в разных сочетаниях друг с другом или с категорическими суждениями. К ним относятся чисто условное, условно-категорическое, разделительно- категорическое и условно-разделительное умозаключения.
Особенность этих умозаключений состоит в том, что выведение заключения из посылок определяется не отношениями между терминами, как в категорическом силлогизме, а характером логической связи между суждениями. Поэтому при анализе посылок их субъектно-предикатная структура не учитывается.
Видами дедуктивных умозаключений являются также сокращенные, сложные и сложносокращенные силлогизмы.
Чисто условное и условно-категорическое умозаключения
Чисто условное умозаключение
Чисто условным называется умозаключение, обе посылки которого являются условными суждениями
Например:
Если изобретение создано совместным творческим трудом нескольких граждан (а), все они признаются соавторами изобретения (b)
Если они признаются соавторами изобретения (b), то порядок пользования правами на изобретение, созданное в соавторстве, определяется соглашением между соавторами (с).
Если изобретение создано совместным творческим трудом нескольких граждан (а), та порядок пользования правами на изобретение, созданное в соавторстве, определяется соглашением между соавторами (с).
В приведенном примере обе посылки — условные суждения, причем следствие первой посылки является основанием второй (b), из которого, в свою очередь, вытекает некоторое следствие (с). Общая часть двух посылок (b) позволяет связать основание первой (а) и следствие второй (с). Поэтому заключение также выражается в форме условного суждения.
Схема чисто условного умозаключения:
![]()
Вывод в чисто условном умозаключении основывается на правиле: следствие следствия есть следствие основания.
Умозаключение, в котором заключение получается из двух условных посылок, относится к простым. Однако заключение может следовать из большего числа посылок, которые образуют цепь условных суждений. Такие умозаключения называются сложными.
Условно-категорическое умозаключение
Условно-категорическим называется умозаключение, в котором одна из посылок — условное, а другая посылка и заключение — категорические суждения.
Рассмотрим пример:

Первая посылка — условное суждение, выражающее связь основания (а) и следствия (b). Вторая посылка — категорическое суждение, в котором утверждается истинность основания (а): иск предъявлен недееспособным лицом. Признав истинность основания, мы признаем истинность следствия (b): суд оставляет иск без рассмотрения.
Это умозаключение представляет собой одну из разновидностей условно-категорического силлогизма — утверждающий модус (modus ponens), в котором посылка, выраженная категорическим суждением, утверждает истинность основания, а заключение утверждает истинность следствия; рассуждение направлено от утверждения основания к утверждению следствия.
Утверждающий модус дает достоверные выводы. Он имеет схему:

Другим модусом, дающим достоверные заключения, является отрицающий модус (modus tollens), в котором посылка, выраженная категорическим суждением, отрицает истинность следствия, а заключение отрицает истинность основания. Рассуждение направлено от отрицания следствия к отрицанию основания. Например:

Нетрудно установить, что возможны еще две разновидности условно-категорического силлогизма.
(3) Посылка, выраженная категорическим суждением, отрицает истинность основания, заключение отрицает истинность следствия. Рассуждение направлено от отрицания основания к отрицанию следствия, т.е.:
![]()
Однако заключение по данному модусу не будет достоверным. Так, если в приведенном примере основание условной посылки отрицается (неверно, что иск предъявлен недееспособным лицом), нельзя с достоверностью отрицать истинность следствия (неверно, что суд оставляет иск без рассмотрения). Суд может оставить иск без рассмотрения и по другим обстоятельствам, например в результате истечения срока исковой давности.
(4) Посылка, выраженная категорическим суждением, утверждает истинность следствия, заключение утверждает истинность основания. Рассуждение направлено от утверждения следствия к утверждению основания, т.е.:

Заключение по данному модусу также не будет достоверным. Утверждение следствия (суд оставляет иск без рассмотрения) не влечет с необходимостью истинность основания: суд может оставить иск без рассмотрения не только в результате недееспособности истца, но и по другим причинам.
Итак, из четырех модусов условно-категорического умозаключения, исчерпывающих все возможные комбинации посылок, достоверные заключения дают два: утверждающий (modus ponens) (1) и отрицающий (modus tollens) (2). Они выражают законь! логики и называются правильными модусами условно-категорического умозаключения. Эти модусы подчиняются правилу: утверждение основания ведет к утверждению следствия и отрицание следствия — к отрицанию основания. Два других модуса (3 и 4) достоверных заключений не дают. Они называются неправильными модусами и подчиняются правилу: отрицание основания не ведет с необходимостью к отрицанию следствия и утверждение следствия не ведет с необходимостью к утверждению основания.
Необходимость вывода по утверждающему и отрицающему модусам можно показать в помощью таблиц истинности.
Утверждающий модус (рис.1).

Рис. 1
Истинность импликации (столбик 3) зависит от истинности антецедента (основания) (1) и консеквента (следствия) (2). Импликация считается ложной тогда и только тогда, когда антецедент истинен, а консеквент ложен (2-я строка таблицы). Во всех остальных случаях импликация истинна. Истинность или ложность конъюнкции (4-й столбик) также зависит от составляющих ее членов (3 и 1).

Конъюнкция истинна тогда и только тогда, когда истинны оба ее члена (1-я строка таблицы).
Теперь установим истинность импликации (5-й столбик таблицы — утверждающий модус). Так как импликация антецедента (4) и консеквента (2) не содержит случая, когда антецедент истинен, а консеквент ложен, то импликация всегда истинна. Следовательно, высказывание ((р→q)
р)→q является логическим законом. Отрицающий модус (рис. 2).
В столбиках 1 и 3, 2 и 4 показано, что если одно высказывание ложно, то его отрицание истинно. Импликация р и q (1 и 2) ложна только в одном случае (2-я строка таблицы) — столбик 5. Конъюнкция (столбик 6) высказываний (p → q) и ˉ|q (5 и 4) истинна только в одном случае (4-я строка таблицы). Импликация ((p→q)
ˉ|q) и ˉ|р (6 и 3) всегда истинна, так как не содержит случая, когда антецедент истинен, а консеквент ложен. Следовательно, высказывание ((p→q)
ˉ|q)→ˉ|p является логическим законом.

Рис. 2
С помощью таблиц истинности можно показать недостоверность выводов по неправильным модусам.
При анализе условно-категорического умозаключения нужно иметь в виду, что основание и следствие большей посылки может быть как утвердительным, так и отрицательным суждением: p→q; ˉ|p→q; p→ˉ|q; ˉ|p→ˉ|q. Например:

Следствие условной посылки — отрицательное суждение, категорическая посылка (утвердительное суждение) утверждает истинность основания, заключение (отрицательное суждение) утверждает истинность следствия.
В символической записи:
![]()
Возможны и другие разновидности модусов.
Иногда в рассуждениях используются условно-категорические умозаключения с выделяющим условным (эквивалентным) суждением (если, и только если а, то b).
В символической записи: p
q, где
— знак эквивалентности. В таких умозаключениях достоверные заключения получаются по всем четырем модусам:
![]()
Рассмотрим для примера выделяющее условное суждение: «Если лицо виновно в совершении преступления, то оно подлежит уголовной ответственности». Нетрудно установить, что достоверное заключение получается по любому из приведенных модусов.
Разделительно-категорическое умозаключение
Разделительно-категорическим называется умозаключение, в котором одна из посылок — разделительное, а другая посылка и заключение — категорические суждения.
Простые суждения, из которых состоит разделительное (дизъюнктивное) суждение, называются членами дизъюнкции или дизъюнктами. Например, разделительное суждение «Облигации могут быть предъявительскими или именными» состоит из двух суждений — дизъюнктов: «Облигации могут быть предъявительскими» и «Облигации могут быть именными», соединенных логическим союзом «или».
Утверждая один член дизъюнкции, мы с необходимостью должны отрицать другой, и отрицая один из них — утверждать другой. В соответствии с этим различают два модуса разделительно-категорического умозаключения: утверждающе-отрицающий и отрицающе-утверждающий.

Схема утверждающе-отрицающего модуса:

В утверждающе-отрицающем модусе (modus ponendo tollens) меньшая посылка — категорическое суждение — утверждает один член дизъюнкции, заключение — также категорическое суждение — отрицает другой ее член. Например:

Заключение по этому модусу всегда достоверно, если соблюдается правило: большая посылка должна быть исключающе-разделительным суждением, или суждением строгой дизъюнкции. Если это правило не соблюдается, достоверного заключения получить нельзя. В самом деле, из посылок «Кражу совершил К или Л» и «Кража совершена К» заключение «Л кражу не совершал» с необходимостью не следует. Возможно, что Л также причастен к совершению кражи, является соучастником К.
В отрицающе-утверждающем модусе (modus tollendo ponens) меньшая посылка отрицает один дизъюнкт, заключение утверждает другой. Например:

Схема отрицающе-утверждающего модуса:

В символической записи:
![]()
где < ... > — символ закрытой дизъюнкции.
Утвердительный вывод получен посредством отрицания: отрицая один дизъюнкт, мы утверждаем другой.
Заключение по этому модусу всегда достоверно, если соблюдается правило: в большей посылке должны быть перечислены все возможные суждения — дизъюнкты, иначе говоря, большая посылка должна быть полным (закрытым) дизъюнктивным высказыванием. Применяя неполное (открытое) дизъюнктивное высказывание, достоверного заключения получить нельзя. Например:

Однако это заключение может оказаться ложным, так как в большей посылке учтены не все возможные виды сде-Лб1: посылка представляет собой неполное, или открытое, дизъюнктивное высказывание (сделка может быть и односторонней, для совершения которой достаточно изъявления воли одного лица — выдача доверенности, составление завещания, отказ от наследства и т.п.).
Разделительная посылка может включать не два, а три и больше членов дизъюнкции. Например, в процессе расследования причин пожара на складе следователь предположил, что пожар мог возникнуть либо вследствие неосторожного обращения с огнем (р), либо в результате самовоспламенения хранящихся на складе материалов (q), либо в результате поджога (r). В ходе расследования было установлено, что пожар возник вследствие неосторожного обращения с огнем (р). В этом случае все другие дизъюнкты отрицаются. Умозаключение принимает форму утверждающе-отрицающего модуса и строится по схеме:

Возможен и другой ход рассуждения. Допустим, предположения о том, что пожар возник вследствие неосторожного обращения с огнем или в результате самовоспламенения хранящихся на складе материалов не подтвердилось. В этом случае умозаключение примет форму отрицающе-утверждающего модуса и будет построено по схеме:

Заключение будет истинным, если в условной посылке учтены все возможные случаи.
Разделительно-категорическое умозаключение находит широкое применение в судебно-следственной практике, особенно при построении и проверке следственных версий.
Условно-разделительное умозаключение
Умозаключение, в мотором одна посылка условное, а другая — разделительное суждение, называется условно-разделительным или лемматическим.
Разделительное суждение может содержать две, три и большее число альтернатив, поэтому лемматические умозаключения делятся на дилеммы (две альтернативы), трилеммы (три альтернативы) и т. д.
Рассмотрим на примере дилеммы структуру и виды условно-разделительного умозаключения. Различают два вида дилемм: конструктивную (созидательную) и деструктивную (разрушительную), каждая из которых делится на простую и сложную.
В простой конструктивной дилемме условная посылка содержит два основания, из которых вытекает одно и то же следствие. Разделительная посылка утверждает оба возможных основания, заключение утверждает следствие. Рассуждение направлено от утверждения истинности оснований к утверждению истинности следствия.
Схема простой конструктивной дилеммы:
![]()

Пример:
Если обвиняемый виновен в заведомо незаконном аресте (а), то он подлежит уголовной ответственности за преступление против правосудия (с); если он виновен в заведомо незаконном задержании (b), то он также подлежит уголовной ответственности за преступление против правосудия (с). Обвиняемый виновен или в заведомо незаконном аресте (а), или в заведомо незаконном задержании (b)
Обвиняемый подлежит уголовной ответственности за преступление против правосудия (с)
В сложной конструктивной дилемме условная посылка содержит два основания и два следствия. Разделительная посылка утверждает оба возможных следствия. Рассуждение направлено от утверждения истинности оснований к утверждению истинности следствий.
Схема сложной конструктивной дилеммы:
![]()
![]()
![]()

Пример:
Если сберегательный сертификат является предъявительским "с (а), то он передается другому лицу путем вручения (b); если он является именным (с), то передается в порядке, установленном для уступки требований (d). Но сберегательный сертификат может быть предъявительским (а) или именным (с)
Сберегательный сертификат передается другому лицу путем вручения (b) или в порядке, установленном для уступки требований(d)
В простой деструктивной дилемме условная посылка содержит одно основание, из которого вытекает два возможных следствия. Разделительная посылка отрицает оба следствия, заключение отрицает основание. Рассуждение направлено от отрицания истинности следствий к отрицанию истинности основания.
Схема простой деструктивной дилеммы:
![]()

Пример:
Если Н — подозреваемый (а), значит, он или задержан по подозрению в совершении преступления (b), или является лицом, к которому применена мера пресечения до предъявления обвинения (с)
Н не был задержан по подозрению в совершении преступления (не -b) или он не является лицом, к которому применена мера пресечения до предъявления обвинения (не - с).
Н не является подозреваемым (не - а) в сложной деструктивной дилемме условная посылка содержит два основания и два следствия. Разделительная посылка отрицает оба следствия, заключение отрицает оба основания. Рассуждение направлено от отрицания истинности следствий к отрицанию истинности оснований.
Схема сложной деструктивной дилеммы:



Пример:
Если предприятие является арендным (а), то оно осуществлю предпринимательскую деятельность на основе взятого им в аренду имущественного комплекса (b); если оно является коллективным (с), то осуществляет такую деятельность на основе находящегося в его собственности имущества (d) Данное предприятие не осуществляет свою деятельность ни на основе взятого в аренду имущественного комплекса (не - b), ни на основе находящегося в его собственности имущества (не - d). Данное предприятие не арендное (не - а) или не коллективное (не - с)
Сокращенный силлогизм (энтимема)
Силлогизм, в котором выражены все его части — обе посылки и заключение, называется полным. Такие силлогизмы были рассмотрены в предыдущих разделах. Однако на практике чаще используются силлогизмы, в которых одна из посылок или заключение явно не выражаются, а подразумеваются.
Силлогизм с пропущенной посылкой или заключением называется сокращенным силлогизмом, или энтимемой.
Широко используются энтимемы простого категорического силлогизма, особенно выводы по первой фигуре. Например: «Николаев — студент, поэтому он обязан сдавать экзамены». Здесь пропущена большая посылка: «Все студенты обязаны сдавать экзамены». Она представляет собой общеизвестное положение, формулировать которое необязательно.
Полный силлогизм строится по 1-й фигуре:

Пропущенной может быть не только большая, но и меньшая посылка, а также заключение: «Все студенты обязаны сдавать экзамены, а Николаев — студент» или: «Все студенты обязаны сдавать экзамены, значит, и Николаев обязан сдавать экзамены». Пропущенные части силлогизма подразумеваются.
В зависимости от того, какая часть силлогизма пропущена, различают три вида энтимемы: с пропущенной большей посылкой, с пропущенной меньшей посылкой и с пропущенным заключением.
Умозаключение в форме энтимемы может быть построено и по 2-й фигуре; по 3-й фигуре оно строится редко.
Форму энтимемы принимают также умозаключения, посылками которых являются условные и разделительные суждения.
Рассмотрим наиболее распространенные виды энтимем.
Условно-категорический силлогизм с пропущенной большей посылкой: «Уголовное дело не может быть возбуждено, так как событие преступления не имело места».
Здесь пропущена большая посылка — условное суждение «Если событие преступления не имело места, то уголовное дело не может быть возбуждено». Она содержит известное положение Уголовно-процессуального кодекса, которое подразумевается.
Разделительно-категорический силлогизм с опущенной большей посылкой: «По данному делу не может быть вынесен оправдательный приговор, он должен быть обвинительным».
Большая посылка — разделительное суждение «По данному делу может быть вынесен либо оправдательный, либо обвинительный приговор» — не формулируется.
Разделительно-категорический силлогизм с опущенным заключением: «Смерть произошла либо в результате убийства, либо в результате самоубийства, либо в результате несчастного случая, либо в силу естественных причин. Смерть произошла в результате несчастного случая».
Заключение, отрицающее все другие альтернативы, обычно не формулируется.
Использование сокращенных силлогизмов обусловлено тем, что пропущенная посылка или заключение либо содержит известное положение, которое не нуждается в устном или письменном выражении, либо в контексте выраженных частей умозаключения она легко подразумевается. Именно поэтому рассуждение протекает, как правило, в форме энтимем. Но, поскольку в энтимеме выражены не все части умозаключения, скрывающуюся в ней ошибку обнаружить труднее, чем в полном умозаключении. Поэтому для проверки правильности рассуждения следует найти пропущенные части умозаключения и восстановить энтимему в полный силлогизм.
Сложные и сложносокращенные силлогизмы
В процессе рассуждения простые силлогизмы выступают в логической связи друг с другом, образуя цепь силлогизмов, в которой заключение предшествующего силлогизма становится посылкой последующего. Предшествующий силлогизм называется просиллогизмом, последующий — эписиллогизмом
Соединение простых силлогизмов, в котором заключение предшествующего силлогизма (просиллогизма) становится посылкой последующего (эписиллогизма) называется сложным силлогизмом, или полисиллогизмом.
Различают прогрессивный и регрессивный полисиллогизмы. В прогрессивном полисиллогизме заключение просиллогизма становится большей посылкой эписиллогизма. Например:

В регрессивном полисиллогизме заключение просиллогизма становится меньшей посылкой эписиллогизма. Например:
![]()

Оба приведенных примера представляют собой соединение двух простых категорических силлогизмов, построенных по модусу ААА 1-й фигуры. Однако полисиллогизм может быть соединением большего числа простых силлогизмов, простроенных по разным модусам разных фигур. Цепь силлогизмов может включить в себя как прогрессивную, так и регрессивную связь.
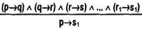
Сложными могут быть чисто условные силлогизмы, которые имеют схему:
![]()
![]()
В символической записи:

Из схемы видно, что, как и в простом чисто условном умозаключении, заключение представляет собой импликативную связь основания первой посылки со следствием последней.
В процессе рассуждения полисиллогизм принимает обычно сокращенную форму; некоторые из его посылок опускаются. Полисиллогизм, в котором пропущены некоторые посылки, называется соритом. Различают два вида соритов:
1. Прогрессивный полисиллогизм с пропущенными большими посылками эписиллогизмов. Например:


К сложносокращенным силлогизмам относится также эпихейрема. Эпихейремой называется сложносокращенный силлогизм, обе посылки которого являются энтимемами.
Например:
![]()

Развернем посылки эпихейремы в полные силлогизмы. Для этого восстановим в полный силлогизм сначала 1-ю энтимему:

Как видим, первую посылку эпихейремы составляют заключение и меньшая посылка силлогизма. Теперь восстановим 2-ю энтимему.

Вторую посылку эпихейремы также составляют заключение и меньшая посылка силлогизма.
Заключение эпихейремы получено из заключений 1-го и 2-го силлогизмов:

Развертывание эпихейремы в полисиллогизм позволяет проверить правильность рассуждения, избегать логических ошибок, которые могут остаться незамеченными в эпихейреме.
Понятие о логике высказываний
Современная символическая логика для анализа дедуктивных рассуждений строит особые логические системы; одна из них называется логикой высказываний или пропозициональной логикой, другая — логикой предикатов. Рассмотрим кратко принципы построения логики высказываний.
Логика высказываний — это логическая система, которая анализирует процессы рассуждения, основанные на характере связей между простыми суждениями, но без учета их внутренней структуры.
Язык логики высказываний включает: алфавит, определение правильно построенных выражений, интерпретацию.
Алфавит логики высказываний состоит из следующих символов.
Символы для высказываний: р, q, r,... (пропозициональные переменные).
Символы для логических связок:

(3) Технические знаки (,) — скобки.
Допустимые в логике высказываний выражения, называемые правильно построенными формулами или сокращенно ППФ, вводятся следующим определением:
1. Всякая пропозициональная переменная — р, q, r, ... является ППФ.
2. Если А и В — ППФ (А и В — символы метаязыка, выражающие любые формулы), то выражения — А
В, A
В, А→В, А
В, ˉ|А также являются ППФ.
Все другие выражения, помимо предусмотренных п. 1 и 2, не являются ППФ языка логики высказываний.
Логика высказываний может строиться табличным методом или как исчисление, т. е. как система, позволяющая получать из одних формул другие.
Табличное построение предполагает семантические определения пропозициональных связок в виде матриц, показывающих зависимость истинного значения сложных формул от значений их составляющих простых формул. Если А и В простые формулы, то истинное значение построенных с помощью логических связок сложных формул может быть представлено матричным способом — в виде таблицы.
Среди правильно построенных формул в зависимости от их истинностного значения различают тождественно истинные, тождественно ложные и выполнимые формулы.
Тождественно истинными называют формулы, принимающие значения истины при любых — истинных или ложных — значениях составляющих их пропозициональных переменных. Такие формулы представляют собой законы логики.
Тождественно ложными называют формулы, принимающие значение лжи при любых — истинных или ложных — значениях пропозициональных переменных.
Выполнимыми называют формулы, которые могут принимать значения истины или лжи в зависимости от наборов значений составляющих их пропозициональных переменных.
Табличное построение предполагает определение логических отношений между формулами. Существенное значение для анализа рассуждений имеет отношение логического следования (символ├), которое определяется следующим образом. Из Ai,..., An как посылок логически следует В как заключение, если при истинности каждого Ai, ..., Ап истинным является и В. В языке-объекте отношение следования адекватно выражается импликацией. Значит, если A1,..., Аn ,├ В, то формула, представляющая собой импликацию вида (A1 ^ А2 ^ ... ^ Аn) → В, должна быть тождественно истинной.
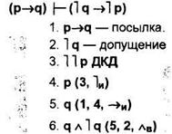
Табличное построение логики высказываний позволяет определять логические отношения между высказывания и проверять правильность умозаключений, используя приведенный выше критерий. В качестве примера предлагаем провести табличным способом проверку правильности рассуждения формы (p→q) ├ (ˉ|q→ˉ|p). Заменив знак логического следования между посылкой и заключением на импликацию и построив таблицу для полученной формулы, видим, что она является тождественно истинной. Значит, рассуждение является правильным.
Если в рассуждении содержится более трех переменных, то строить полную таблицу для проверки его правильности затруднительно и тогда используют сокращенный метод проверки, рассуждая от противного. Поскольку при правильном рассуждении формула вида (A1 ^ ... ^ Аn) → В должна быть тождественно истинной, посмотрим, не может ли она при каком-то наборе значений переменных оказаться ложной. Предположим, что может. Если из этого предположения получим какое-нибудь противоречие, то предположение неверно (и проверяемое рассуждение правильно), а если из этого предположения не получим противоречия, то увидим набор значений переменных, при котором формула ложна, т. е. тот набор, который опровергает проверяемое рассуждение.
Логика высказываний как исчисление — это прежде всего так называемая система натурального вывода (СНВ). Аппаратом в ней служат правила вывода, каждое из которых является какой-нибудь элементарной формой умозаключения. Переходя по этим правилам от посылок или некоторых допущений к новым формулам, постепенно доходят до заключения. Вывод из посылок осуществлен, если удалось элиминировать все сделанные допущения. Таким образом, под выводом формулы В (заключения) из формул A1 – An (посылок) имеется в виду последовательность формул, каждая из которых является либо посылкой, либо допущением, либо получается по правилам вывода из предыдущих и последняя формула этой последовательности есть формула В, а все допущения при этом элиминированы.
Правила СНВ позволяют оперировать со всеми связками, имеющимися в алфавите языка. Они делятся на правила введения (в) и правила исключения (и) связок.


Кроме этих прямых правил получения новых строк вывода, в СНВ приняты непрямые правила, определяющие стратегию построения вывода. Например, если нужно вывести из посылок формулу вида импликации (Х1→(X2 →... (Xn-1→Xn))), то после выписывания посылок выписываются в качестве допущений все антецеденты заключения, начиная с антецедента главного знака импликации, т. е. Х1,X2, X3...,Xn-1. Если при этом удастся вывести Xn, то по непрямому правилу
![]()
собираем последовательно формулы: (Xn-1→Xn)
(при этом исключается допущение Xn-1), (Xn-2→(Xn-1→Xn)(Xn-2 исключается из числа допущений) и т. д., пока ни получим требуемое заключение
X1→(Xn-2→…(Xn-1→Xn).
Это правило построения прямого вывода.
Приведем пример вывода с применением этого правила:
((р
q)→r)├ (р→ (q├ r))

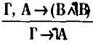
Другое непрямое правило используется для построения косвенного вывода, при котором допущением является отрицание В или отрицание последнего консеквента х„. Это правило имеет вид
![]()
и говорит о том, что если из каких-то формул (r) и допущения (А) получено противоречие (В
ˉ|В), то из этих формул следует ˉ|А. Таким образом, если строится косвенный вывод формулы вида (X1→(X2→... (X n-1→X n)...), то после посылок выписываются формулы:


Затем по правилам вывода получаем следствия из всех имеющихся посылок и допущений до тех пор, пока ни получим две противоречащие друг другу формулы (В и ˉ|В), что свидетельствует о несовместимости допущения косвенного доказательства с другими допущениями и посылками. Отсюда делается вывод о его ложности. Тогда в вывод вписывается строка ˉ|ˉ|Xn и тем самым допущение косвенного доказательства исключается. Например, осуществим косвенный вывод:


![]()


Косвенный вывод считается законченным, если в ходе вывода получена какая-то формула и ее отрицание, т. е. противоречие. Таким образом, если строится косвенный вывод формулы вида X1→(X2→...Xn), то построчно выписывают все антецеденты от X1 до Xn-1 в качестве допущений; в последней строчке выписывают отрицание последнего консеквента — ˉ|Xn как допущение косвенного вывода. По правилам вывода получаем различные следствия из всех имеющихся посылок и допущений. Получение двух противоречащих следствий говорит о ложности допущения косвенного вывода. На этом основании ДКД отрицается, т. е. получаем двойное отрицание. Снятие двойного отрицания дает формулу X n.
Основными логическими свойствами системы натурального вывода являются ее непротиворечивость и полнота.
Непротиворечивость означает, что из истинных посылок могут получаться только истинные следствия и если формула выводима из пустого множества посылок, то она тождественно истинна. Это исключает возможность вывести из пустого множества посылок какую-либо формулу (А) и ее отрицание (ˉ|А). Полнота системы означает, что дедуктивных ее средств достаточно, чтобы вывести из пустого множества посылок любую тождественно истинную формулу.
Логика предикатов является более общей логической системой и включает логику высказываний как свою часть. Она располагает более эффективными логическими средствами для анализа рассуждений в естественном языке.
Задачі
1. Чи правильно визначені відношення між поняттями:

А - фінансист;
В - державний службовець;
С – спортсмен;
Д – студент?
Відповідь:
Поняття А, В, С і Д є порівнянні поняття, тому що спільне в них визначення особи, яка займається трудовою діяльністю, є родовою ознакою.
Із них сумісними поняттями є А і В (загальна видова ознака – наявність обов`язкової вищої освіти), С і Д (загальна видова ознака – надання права одночасно вчитись та професійно займатись спортом).
Поняття А і В несумісні з поняттям С, тому що для фінансиста заняття професійним спортом означає не заняття фінансами (прикладів суміщення в практиці не має), для державного службовця іншою професійною діяльністю (крім навчання і науково-педагогічної діяльності) заборонено законом.
Поняття А і В несумісні з поняттям Д, тому що поставлене питання розглядається в контексті однієї по кількості вищої освіти, тобто наявність вищої освіти виключає можливість навчання.
Таким чином, кола А і В не повинні пересікатись з колами С і Д.
Розглянемо сумісні поняття А і В.
В наведеному завдання між цими загальними поняттями існує відношення перехрещення, тому що їх видові ознаки не заперечують одна одну (наприклад, співробітник фінансового управління міністерства є одночасно і фінансистом, і державним службовцем).
Поняття А і В пересікаються правильно.
Розглянемо сумісні поняття С і Д.
Відношень тотожності тут не маємо, що очевидно, відношень підпорядкованості теж не маємо, тому що поняття студент розглядається по відношенню до понять А, В і С, а не окремого поняття С (наприклад, студент інституту фізичної культури).
Між цими загальними поняттями існує відношення перехрещення з тих же причин, що і між поняттями А і В.
Розглянемо несумісні поняття.
Між несумісними поняттями А і С, а також В і С існують відношення супідрядності, тому що вино входять, як було сказано вище, до одного роду – професія.
М