Анализ деловой активности предприятия на примере ООО "Лузалес"

1. Теоретические основы деловой активности и роль ее показателей в системе комплексного экономического анализа

1.1 Подходы к определению сущности деловой активности

1.2 Финансовые показатели деловой активности

1.2.1 Система показателей деловой активности и эффективности деятельности предприятия

1.2.2 Анализ оборачиваемости и эффективности использования основных средств

1.2.3 Анализ оборачиваемости и эффективности использования оборотных средств

2. Анализ деловой активности предприятия ООО «Лузалес»

2.1 Анализ структуры баланса

2.1.1 Анализ структуры и динамики пассива баланса

2.1.2 Анализ структуры и динамики актива баланса

2.2 Анализ состояния и эффективности использования основных средств предприятия

2.3 Анализ эффективности использования оборотных средств

2.4 Расчет показателей рентабельности и коэффициентов деловой активности

Заключение

Библиографический список

Приложения


Введение

Изменения в законодательных и нормативных актах, а также трансформация отчетности с учетом международных стандартов в соответствии с Концепцией развития бухгалтерского учета и отчетности на среднесрочную перспективу, определили круг актуальных проблем для исследований по совершенствованию информационной базы анализа показателей деловой активности и методологических вопросов анализа.

В мировой практике существует ряд примеров применения методики по оценке деловой активности предприятия, которые могут найти применение и в отечественной экономике.

Инвестирование отечественной экономики затруднено по причине отсутствия системы объективных показателей, позволяющих оценить как состояние экономики страны в целом, так и отдельных отраслей промышленности.

В формах отчетности, принятых в Российской Федерации, не предусматривается выделение показателей деловой активности, что не позволяет представить эффективность управления предприятием, отраслью, экономикой в целом. Это определяет наличие методологических проблем установления системы показателей деловой активности, ее объективной оценки, а также формирования достоверной и достаточной информационной базы.

Актуальность совершенствования анализа деловой активности и его информационной базы, недостаточная разработанность проблемы выбора и оптимальной методики расчета ее показателей обусловили выбор темы исследования и круг рассматриваемых вопросов.

Проблемы оценки деловой активности, совершенствования информационной базы анализа в составе бухгалтерской финансовой отчетности рассматриваются в трудах зарубежных ученых-экономистов, в частности таких как, Д.А. Аакер, Э. Дж. Долан, К.Д. Кэмпбелл, Р. Дж. „ Кэмпбелл, Л.А. Бернстайн и других. Разработке отдельных аспектов данной проблемы посвящены работы многих отечественных экономистов, таких как А.Д. Шеремет, М.И. Баканов, В.В. Ковалев, Г.В. Савицкая, Н.Н. Илышева, СВ. Панкова, О.В. Ефимова, Р.С. Сайфулин и другие.

Вместе с тем, проблема оценки деловой активности остается слабо разработанной, так как каждый из авторов предлагает различные методики расчета ее показателей, которые неполно отражают общую картину эффективности работы отдельно взятого предприятия. Из-за общей экономической нестабильности в стране практически затруднен долгосрочный прогноз показателей, характеризующих экономическую эффективность деятельности предприятий и отраслей, и он не делается даже на краткосрочную перспективу.

По мнению большинства экономистов (М.И. Баканова, А.Д. Шеремета, В.В. Ковалева, Р.С. Сайфулина и др.), содержание действующей бухгалтерской отчетности не в полной мере соответствует целям и задачам экономического анализа и требует определенных корректировок не только для целей анализа, но и для целей приближения к МСФО.

Цель курсовой работы проведение анализа деловой активности предприятия лесной отрасли (на примере ООО «Лузалес»)

Исходя из цели курсовой работы, автором поставлены и решены следующие задачи:

1. Рассмотреть теоретические основы деловой активности и роль ее показателей в системе комплексного экономического анализа,

2. провести анализ деловой активности предприятия ООО «Лузалес»

Предметом исследования в данной работе являются методология анализа деловой активности и финансового состояния и их информационная база.

Объектом исследования является предприятие лесопромышленной отрасли Республики Коми ООО «Лузалес».

Общество с ограниченной ответственностью «Лузалес» создано в январе 1999 года с уставным фондом 8,5 тысячи рублей и зарегистрировано Постановлением администрации Прилузского района № 12 от 13 января 1999 года. Учередителями ООО «Лузалес» являются два физических лица. Семенюк Николай Тереньтьевич – 60% уставного капитала, Николаев Иван Андреевич – 40% уставного капитала. Место нахождения предприятия Республика Коми, г.Сыктывкар, м.Човью., почтовый адрес Республика Коми, Прилузский район, с.Объячево, ул. Советская, д1.

ООО «Лузалес» было создано для организации лесозаготовок и переработки древесины с целью получения прибыли.

Основными видами деятельности предприятия являются:

1. Лесозаготовительные работы (заготовка, вывозка и раскряжевка древесины)

2. Производственная и коммерческая деятельность с целью производства и сбыта лесопродукции потребителям (ООО «Сыктывкарский фанерный завод», ЗАО «Леском»; ОАО СЛПК «Монди Бизнес Пейпа», ОАО «ЛПК Сыктывкарский ЛДК». Пиломатериалы также экспортируются в Венгрию и Литву.);

3. Оказание транспортных и транспортно-экспедиционных услуг;

4. Маркетинговые исследования в области лесозаготовок;

5. Первичная переработка лесопродукции.

ООО «Лузалес» в настоящее время занимается лесозаготовкой и переработкой древесины, поставкой сортиментов для перерабатывающих предприятий Республики Коми. Предприятие работает на сегодняшний день по Скандинавской технологии, обеспечивающей сохранность подроста.

Структура управления ООО «Лузалес» является линейно-функциональной и направлена, прежде всего, на установление четких взаимосвязей между отдельными подразделениями фирмы, распределение между ними прав, обязанностей и ответственности. Она определяет также состав предприятия и систему подчинения в общей иерархии управления предприятием. (Приложение 1).

Основные технико-экономические показатели работы предприятия за исследуемый период представлены а приложении 2.

Курсовая работа состоит из введения, двух разделов, заключения, библиографического списка и приложений.

В процессе исследования использовались законодательные и нормативные акты Российской Федерации, приказы и письма Минфина РФ, данные Государственного Комитета по статистике РФ, международные стандарты бухгалтерского учета и отчетности. Так же были использованы специальные литературно-справочные источники: экономические, финансовые справочники и учебники, Положения и инструкции Минфина.


1. Теоретические основы деловой активности и роль ее показателей в системе комплексного экономического анализа

1.1 Подходы к определению сущности деловой активности

Термин «деловая активность» пришел в отечественный экономический лексикон из мировой практики в связи с реформированием экономики и формированием рыночных отношений. В развитых странах, в частности США, деловая активность определяется на макро- и микроуровнях.

Для отечественной практики пока характерна противоречивая оценка деловой активности страны на макроуровне, а также отдельного хозяйственного субъекта, на микроуровне. Многие экономические энциклопедические словари, составленные различными коллективами авторов, либо вообще не дают определения деловой активности, либо недостаточно четко определяют это понятие.

Встречающиеся определения отражают деловую активность человека (предпринимателя) , или рассматривают деловую активность как категорию, конкретизирующую экономическую деятельность.

Авторы большого энциклопедического словаря дали следующее определение деловой активности: «Активность деловая — экономическая деятельность, конкретизированная в виде производства того или иного товара или оказания конкретной формы услуг. Положена в основу международной стандартной классификации отраслей хозяйства, экономических классификаторов Системы национальных счетов (СНС)». Очевидна упрощенная трактовка, не раскрывающая конечной цели и результата производства или оказания услуг как на макро, так и на микроуровнях.

Неоднозначно формулируют определение деловой активности Б.А. Райзберг, Л.Ш. Лозовский, Е.Б. Стародубцева - авторы современного экономического словаря: «Активность деловая: характеристика состояния предпринимательской деятельности в отрасли, фирме, стране; оценивается, в частности, индексом динамики курсов ценных бумаг». Более полно характеризует деловую активность на уровне предприятия В.В. Ковалев, отмечая, что «в широком смысле деловая активность означает весь спектр усилий, направленных на продвижение фирмы на рынках продукции, труда, капитала..., в более узком смысле - как текущая производственная и коммерческая деятельность предприятия». В этом подходе к определению деловой активности четко определены направления характеристики итогов, деятельности предприятия, что соответствует ее сущности на микроуровне. Разделяя в целом позицию В.В. Ковалева, считаем необходимым, отметить, что недостаточно охарактеризована деловая активность на уровне экономики государства в целом, не прослеживается связь с целевой установкой предпринимательства по эффективному использованию капитала на уровне предприятия.

Для более полного понимания сущности деловой активности и корректной формулировки ее определения, имеется необходимость в ее обосновании на основе взаимосвязей хозяйственных и финансовых процессов, выраженных в системе взаимосвязанных показателей. При этом использован комплексный подход к исследованию этих показателей, иначе невозможно установить роль деловой активности и ее проявление. Основой для проведения данного исследования послужила разработка схемы формирования и анализа основных групп показателей в системе комплексного экономического анализа А.Д. Шереметом. Учитывая неоднозначные предложения различных экономистов по формированию показателей деловой активности, важно выявить их место в представленной схеме и критически оценить их роль и участие в комплексной оценке итогов деятельности предприятия. Необходимость комплексного подхода правомерно обоснована А.Д. Шереметом и поддержана в экономической литературе многими авторами: В.В. Ковалевым и О.Н. Волковой, Г.В. Савицкой,Л.Е. Басовским и Е.Н. Басовской, Л.Т. Гиляровской, Н.П. Любушиным.

Имеется необходимость в обосновании взаимосвязи деловой активности и финансового состояния и включении их показателей в обобщающую оценку деловой активности, а также определение основных этапов анализа.

Большинство определений деловой активности на уровне предприятия сводится либо к односторонней характеристике показателей, либо направлений использования капитала, хотя и затрагиваются существенные элементы деловой активности.

Л.Е Басовский, Е.Н. Басовская отмечают циклы деловой активности и выражают их в показателях ВНП (валовой национальный продукт) и объема промышленного производства. Они отмечают, что «индексы ВНП и промышленного производства возрастают и убывают в соответствии с развитием цикла деловой активности и других более длительных циклов экономического развития. Однако сведение определения деловой активности к валовым показателям роста без оценки качества этого роста, которые проявляются в доходах и прибыли, не дает возможности полноценно охарактеризовать деловую активность, как на макро, так и на микро уровнях.

Л.В. Донцова и Н.А. Никифорова отмечают: «Деловая активность в финансовом аспекте проявляется, прежде всего, в скорости оборота средств. Анализ деловой активности заключается в исследовании уровней и динамики разнообразных финансовых коэффициентов — показателей оборачиваемости».

Скорость движения капитала, которая проявляется в показателях оборачиваемости, безусловно, является важнейшим критерием деловой активности. Однако завершающий это движение финансовый результат (эффект) в данном определении не нашел отражения.

В определениях других авторов, наоборот, отражается результат от управления и использования капитала, что звучит слишком обобщенно.

Так, С.М. Пястолов отмечает, что «оценка деловой активности предприятия сводится, в конечном счете, к определению эффективности управления капиталом, находящимся в распоряжении предприятия»

Близко к этому определению характеризует деловую активность Л.С. Прыкина: «Деловая активность предприятия обычно характеризуется интенсивностью использования инвестированного (внутреннего) капитала». Интенсификация использования капитала проявляется в изменении скорости его оборота, что дало основание многим экономистам упоминать в определении сущности деловой активности только оборачиваемость.

В частности, А.Д. Шеремет и Р.С Сайфулин отмечают, что коэффициенты деловой активности отражаются в оборачиваемости капитала, мобильных средств, дебиторской и кредиторской задолженности, собственном капитале, внеоборотных активах. Проводя общую параллель среди мнений различных авторов, следует отметить одинаковые подходы к тому, что деловая активность зависит от эффективного использования материальных, трудовых и финансовых ресурсов организации. Но тогда она должна включать, наряду с показателями эффективности использования основного капитала, показатели эффективности использования трудовых ресурсов, показатели, характеризующие финансовые результаты деятельности организации, а также прибыль на один рубль капитала, что отмечают далеко не все экономисты.

Таким образом, в деловой активности должна отражаться эффективность размещения капитала в различных видах активов. Если значительная его часть авансирована во внеоборотные активы, то времени на его высвобождение потребуется гораздо больше, чем при вложении средств в оборотные активы, которые имеют средний срок кругооборота до одного года. Следовательно, предприятия должны контролировать оптимальность соотношения оборотных и внеоборотных активов, чтобы не заморозить авансированные финансовые ресурсы на более длительный срок, чем это планировалось. В этом заключается одно из условий эффективного управления капиталом предприятия, отрасли, экономики в целом.

Выгодность размещения капитала предприятия определяется также тем, насколько прибыльно проведены операции. В частности, следует учитывать эффект в виде доходов, которые предприятия могут увеличить, предусмотрев штрафные санкции за нарушение условий договоров с покупателями, поставщиками, возмещение материального ущерба, вложив средства в ценные бумаги под высокие проценты. Таким образом, если предприятие имеет долгосрочную дебиторскую задолженность, то доход от такого вложения капитала должен быть не меньше, чем ставка рефинансирования Центробанка. Следовательно, данные вопросы важно рассматривать в качестве факторов деловой активности, влияющих на эффективность управленческих решений.

1.2. Финансовые показатели деловой активности

1.2.1 Система показателей деловой активности и эффективности деятельности предприятия

Для целей оценки управления деятельностью предприятия наука и практика выработали специальные инструменты, называемые экономическими показателями.

Экономические показатели — это микромодели экономических явлений. Отражая динамику и противоречия происходящих процессов, они подвержены изменениям и колебаниям и могут приближаться или отдаляться от своего главного предназначения — измерения и оценки сущности экономического явления. Поэтому аналитик должен знать для каждого экономического показателя: идет ли речь об эффективности деятельности или деловой активности предприятия.

В настоящее время наиболее полное и последовательное исследование экономической эффективности хозяйственной деятельности (раскрытие предмета анализа) дается в теории комплексного экономического анализа. Анализу эффективности посвящены все разделы текущего, перспективного и оперативного анализа. Оценивается достигнутая эффективность хозяйственной деятельности, выявляются факторы ее изменения, неиспользованные возможности и резервы повышения.

Эффективность хозяйственной деятельности измеряется одним из двух способов, отражающих результативность работы предприятия относительно либо величины авансированных ресурсов, либо величины их потребления (затрат) в процессе производства. Эти показатели характеризуют степень деловой активности предприятия:

(А) Эффективность авансированных ресурсов = Продукция / Авансированные ресурсы

(Б) Эффективность потребленных ресурсов = Продукция / Потребленные ресурсы (затраты)

Соотношение между динамикой продукции и динамикой ресурсов (затрат) определяет характер экономического роста. Экономический рост производства может быть достигнут как экстенсивным, так и интенсивным способом. Превышение темпов роста продукции над темпами роста ресурсов или затрат свидетельствует о преимущественно интенсивном экономическом росте.

Для оценки эффективности хозяйственной деятельности также используются показатели рентабельности — прибыльности или доходности его капитала, ресурсов или продукции.

Деловая активность предприятия в финансовом аспекте проявляется, прежде всего, в скорости оборота его средств. Рентабельность предприятия отражает степень прибыльности его деятельности. Анализ деловой активности и рентабельности заключается в исследовании уровней и динамики разнообразных финансовых коэффициентов оборачиваемости и рентабельности, которые являются относительными показателями финансовых результатов деятельности предприятия.

Общая схема формирования рассматриваемых показателей представлена в табл. 1.

В первой строке и первом столбце таблицы представлены возможные варианты соответственно числителя и знаменателя финансового коэффициента. На пересечениях второго и третьего столбцов и второй и третьей строк таблицы показаны три различных типа относительных показателей, получающихся при возможных сочетаниях числителя и знаменателя (исключение представляет пересечение второго столбца и второй строки, не дающее показателя). В обобщенном виде формулы финансовых коэффициентов, формируемых по данной схеме, выглядят следующим образом.

Таблица 1 ОБЩАЯ СХЕМА ФОРМИРОВАНИЯ ПОКАЗАТЕЛЕЙ

Знаменатель

Финансовый результат

финансового коэффициента

Выручка от реализации

Прибыль

Выручка от реализациихРентабельность продаж
Показатель средств предприятия или их источниковОборачиваемость средств предприятия или их источниковРентабельность средств предприятия или их источников

Оборачиваемость средств или их источников = Выручка от реализации / Средняя за период величина средств или их источников

Рентабельность продаж = Прибыль / Выручка от реализации

Рентабельность средств или их источников = Прибыль / Средняя за период величина средств или их источников

В данных формулах намеренно не конкретизирован показатель прибыли, поскольку в качестве него может быть взята прибыль от реализации продукции (работ, услуг) или балансовая прибыль, облагаемая налогом прибыль, чистая прибыль, остающаяся в распоряжении предприятия после уплаты налогов. Если рентабельность средств или их источников вычисляется на основе прибыли от реализации и тем самым достигается сопоставимость с рентабельностью продаж, то между рассматриваемыми финансовыми коэффициентами существует определенная взаимосвязь:

Рентабельность средств или их источников = Рентабельность продаж * Оборачиваемость средств или их источников

Эта формула показывает, что прибыльность средств предприятия или их источников обусловлена как ценообразовательной политикой предприятия и уровнем затрат на производство реализованной продукции (они комплексно отражаются в показателе рентабельности продаж), так и деловой, активностью предприятия, измеряемой оборачиваемостью средств или их источников. Формула указывает на пути повышения рентабельности средств или их источников (по сути дела, степени прибыльности использования капитала предприятия или его составных частей): при низкой прибыльности продаж необходимо стремиться к ускорению оборота капитала и его элементов и наоборот, определяемая теми или иными причинами низкая деловая активность предприятия может быть компенсирована только снижением затрат на производство продукции или ростом цен на продукцию, т. е. повышением рентабельности продаж.

В формулах не конкретизирован также показатель средней за период величины средств предприятия или их источников. В качестве данного показателя могут быть использованы итог баланса, величины мобильных средств, материальных мобильных средств, готовой продукции, дебиторской задолженности, кредиторской задолженности, основных средств и прочих внеоборотных активов, собственных средств, перманентного капитала и т.д.

Рассмотрим наиболее важные финансовые коэффициенты рентабельности и деловой активности, получаемые при различных вариантах знаменателя относительного показателя. Ниже приводятся вначале все формулы коэффициентов по аналитическому блоку, затем комментарии экономического смысла и динамики показателей.

Символом обозначен блок анализа рентабельности, символом — блок анализа деловой активности; символ означает комментарий к блоку анализа.

Коэффициенты рентабельности ()

1) Рентабельность продаж

, (1)

где — выручка от реализации продукции (работ, услуг);

— прибыль от реализации продукции (работ, услуг).

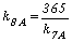
2) Рентабельность всего капитала фирмы

(2)

где — средний за период итог баланса-нетто,

в качестве могут выступать как балансовая прибыль (), так и прибыль от реализации ().

З) Рентабельность основных средств и прочих внеоборотных активов

(3)

где — средняя за период величина основных средств и прочих внеоборотных активов.

4) Рентабельность собственного капитала


(4)

где — средняя за период величина источников собственных средств предприятия по балансу

5) Рентабельность перманентного капитала

(5)

где — средняя за период величина долгосрочных кредитов и займов.

Комментарий по коэффициентам рентабельности.

1К)показывает, сколько прибыли приходится на единицу реализованной продукции. Рост является следствием роста цен при постоянных затратах на производство реализованной продукции (работ, услуг) или снижения затрат на производство при постоянных ценах. Уменьшение свидетельствует о снижении цен при постоянных затратах на производство или о росте затрат на производство при постоянных ценах, т. е. о снижении спроса на продукцию предприятия.

2К)показывает эффективность использования всего имущества предприятия. Снижение также свидетельствует о падающем спросе на продукцию фирмы и о перенакоплении активов.

ЗК)отражает эффективность использования основных средств и прочих внеоборотных активов, измеряемую величиной прибыли, приходящейся на единицу стоимости средств. Рост при снижении свидетельствует об избыточном увеличении мобильных средств, что может быть следствием образования излишних запасов товарно-материальных ценностей, затоваренности готовой продукцией в результате снижения спроса, чрезмерного роста дебиторской задолженности или денежных средств.

4К)показывает эффективность использования собственного капитала. Динамика оказывает влияние на уровень котировки акций на фондовых биржах.

5К)отражает эффективность использования капитала, вложенного в деятельность фирмы на длительный срок (как собственного, так и заемного).

Коэффициенты деловой активности (А)

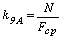
1А) Коэффициент общей оборачиваемости капитала

, (6)

где — выручка от реализации продукции (работ, услуг);

— средний за период итог баланса.

2А) Коэффициент оборачиваемости мобильных средств

, (7)

где — средняя за период величина запасов и затрат по балансу;

— средняя за период величина денежных средств, расчетов и прочих активов.

3А) Коэффициент оборачиваемости материальных оборотных средств


. (8)

4А) Коэффициент оборачиваемости готовой продукции

, (9)

где — средняя за период величина готовой продукции.

5А) Коэффициент оборачиваемости дебиторской задолженности

, (10)

где — средняя за период дебиторская задолженность.

6А) Средний срок оборота дебиторской задолженности

(11)

7А) Коэффициент оборачиваемости кредиторской задолженности

(12)

где — средняя за период кредиторская задолженность.

8А) Средний срок оборота кредиторской задолженности

. (13)


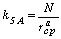
9А) Фондоотдача основных средств и прочих внеоборотных активов

, (14)

где — средняя за период величина основных средств и прочих внеоборотных активов по балансу.

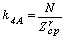
10А) Коэффициент оборачиваемости собственного капитала

(15)

где — средняя за период величина источников собственных средств предприятия по балансу.

Комментарий по коэффициентам деловой активности (АК)

1АК)отражает скорость оборота (в количестве оборотов за период) всего капитала предприятия. Рост означает ускорение кругооборота средств предприятия или инфляционный рост цен (в случае снижения или ).

2АК) показывает скорость оборота всех мобильных (как материальных, так и нематериальных) средств предприятия. Рост характеризуется положительно, если сочетается с ростом , и — отрицательно, если уменьшается.

ЗАК)отражает число оборотов запасов и затрат предприятия за анализируемый период. Снижение свидетельствует об относительном увеличении производственных запасов и незавершенного производства или о снижении спроса на готовую продукцию (в случае уменьшения ).

4АК)показывает скорость оборота готовой продукции. Рост означает увеличение спроса на продукцию предприятия, снижение — затоваривание готовой продукцией в связи со снижением спроса.

5АК)показывает расширение или снижение коммерческого кредита, предоставляемого предприятием. Если коэффициент рассчитывается по выручке от реализации, формируемой по мере оплаты счетов, рост означает сокращение продаж в кредит. Снижение в этом случае свидетельствует об увеличении объема предоставляемого кредита.

6АК)характеризует средний срок погашения дебиторской задолженности. Положительно оценивается снижение и наоборот.

7АК)(по аналогии с показывает расширение или снижение коммерческого кредита, предоставляемого предприятию. Рост означает увеличение скорости оплаты задолженности предприятия, снижение — рост покупок в кредит.

8АК)отражает средний срок возврата долгов предприятия (за исключением обязательств перед банками и по прочим займам).

9АК)характеризует эффективность использования основных средств и прочих внеоборотных активов, измеряемую величиной продаж, приходящейся на единицу стоимости средств.

10АК)показывает скорость оборота собственного капитала, что для акционерных обществ означает активность средств, которыми рискуют акционеры. Резкий рост отражает повышение уровня продаж, которое должно в значительной степени обеспечиваться кредитами и, следовательно, снижать долю собственников в общем капитале предприятия. Существенное снижение отражает тенденцию к бездействию части собственных средств. (11)


1.2.2 Анализ оборачиваемости и эффективности использования основных средств

В производственно-хозяйственной деятельности используются производственные фонды и фонды непроизводственного назначения. Авансированные для производственно-хозяйственной деятельности производственные фонды выступают в трех формах:

· производительной,

· денежной и

· товарной.

Задача фондов в трех формах одна — обеспечить непрерывность производства и воспроизводства, поэтому эти фонды и называются производственными. В отличие от непроизводственных фондов производительные фонды обслуживают сам процесс производства в материальных отраслях производства.

Проблема использования производственных фондов предприятий имеет две стороны. Первая связана с уменьшением массы потребленных в процессе производства средств производства; вторая — с уменьшением авансированных для производственно-хозяйственной деятельности фондов. Общая сумма потребленных производственных фондов за анализируемый период соответствует затратам средств труда (амортизация) и предметов труда на выпуск продукции. Авансированная сумма производственных фондов — это такая их сумма, которая обеспечивает одновременное пребывание производственных фондов во всех своих натуральных формах и на всех стадиях хозяйственной деятельности.

Проблема выпуска продукции с наименьшими затратами производственных фондов — проблема снижения себестоимости промышленной продукции. Показателями, отражающими снижение себестоимости продукции, являются:

· уровень рентабельности одного оборота производственных фондов (отношение прибыли к себестоимости);

· затраты на один рубль товарной или реализованной товарной продукции и

· прибыль на один рубль продукции.

Проблема выпуска и реализации определенной массы продукции с меньшим количеством закрепленных (авансированных) производственных фондов (или, что то же самое, выпуска наибольшего количества продукции с использованием определенной массы авансированных фондов) — вполне самостоятельная проблема экономики предприятий. Показателем, отражающим выпуск продукции с меньшим количеством фондов, является общая фондоотдача производственных фондов, или их оборачиваемость. Его исчисление можно производить либо по стоимости реализованной продукции, либо по себестоимости реализованной продукции. Обратным этому показателю является показатель общей фондоемкости продукции (коэффициент закрепления производственных фондов).

Воспроизводство и оборачиваемость основных производственных фондов — фактор, влияющий на уровень рентабельности и финансовое состояние предприятий. Для предприятий важно, сколько собственных средств вложено в основные фонды. В современных условиях увеличивается маневренность предприятий в отношении создания и использования средств труда, повышается роль кредита в формировании основных средств. Денежные средства от реализации ненужных средств труда пополняют фонд развития производства.

Таблица 2 ВЛИЯНИЕ ХОЗЯЙСТВЕННЫХ ОПЕРАЦИЙ С ОСНОВНЫМИ СРЕДСТВАМИ НА ФИНАНСОВОЕ СОСТОЯНИЕ И РЕЗУЛЬТАТЫ ДЕЯТЕЛЬНОСТИ ПРЕДПРИЯТИЯ

Содержание хозяйственной операцииВлияние на имущественное состояние и финансовые результаты деятельности предприятия
ПОСТУПЛЕНИЕ ОСНОВНЫХ СРЕДСТВ
Получено безвозмездно от физических лицУвеличивается размер собственного капитала предприятия за счет роста фондов специального назначения (за вычетом расходов по доставке). Это ведет к росту устойчивости финансового положения. С другой стороны, это ведет к повышению удельного веса амортизационных отчислений и
Актуально: