Бензимидазол, его производные, их свойства и синтез трихлорбензимидазола
Федеральное агентство по образованию
Государственное образовательное учреждение высшего профессионального образования
Самарский государственный технический университет
Кафедра: «Органическая химия»
“Бензимидазол, его производные, синтезы и свойства ”
Курсовая работа
Выполнил: студент
_________________
(подпись)
Руководитель:
_________________
(подпись)
Работа защищена
“___“ __________ 2008г.
Оценка _______
Зав. кафедрой: доцент, д. х. н.
_________________
(подпись)
Самара, 2008 г.
Содержание
1. Введение. 3
1.1. Свойства бензимидазолов. 3
1.2. Практическое применение. 4
1.3. Методика синтеза. 8
2. Литературный обзор. Бензимидазол, его производные, их синтезы и свойства 9
3. Выводы.. 40
Список литературы.. 41
1. Введение
1.1. Свойства бензимидазолов
Бензимидазол, мол. м. 118; бесцветные кристаллы, т. пл. 172°С; растворим в воде, спиртах, разбавленных кислотах и щелочах, трудно растворим – в неполярных растворителях. Молекулы ассоциированы благодаря водородной связи — NH...NH=. Положения 4 и 7, а также 5 и 6 равноценны вследствие равновесия между таутомерами I и II:

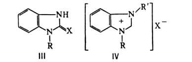
С ионами некоторых металлов (Ag, Co, Си и др.) бензимидазол образует в аммиачном р-ре соли. Бензимидазол устойчив к действию окислителей, но СrO3 в 80%-ной H2SO4 при 80°С окисляет его до имидазол-4,5-дикарбоновой к-ты. Сплавление с S превращает бензимидазол в бензимидазол-2-тион, 1-алкилбензимидазолы - в его 1-алкилзамещенные (формула III, X = S, R = А1К). Б. алкилируется алкилгалогенидами и диалкилсульфатами в присут. щелочей в положение 1. При алкилировании N-алкилбензимидазолов образуются соли 1,3-диалкилбензимидазолия (формула IV). Арилирование бензимидазола в положение 1 с помощью галогенаренов протекает обычно в жестких условиях. Действием ацилхлоридов и ангидридов кислот получают N-ацилпроизводные. Бензимидазол нитруется смесью HNO3 и H2SO4 в положение 5. При сульфировании образуется 5(6)-сульфокислота. Нуклеофильное замещение протекает в положении 2 лишь с N-производными Б. При нагревании с NaNH2 в диметиланилине образуются 2-аминопроизводные Б., при сплавлении с КОН-бензимидазолоны (ф-ла III, X = О). Металлирование (например, фенилнатрием) идет в положение 2.

При взаимодействии o-фенилендиамина с НСООН образуются бензимидазол, с RCOOH в присутствии НС1-2-алкилбензимидазолы, с АrСНО и ацетатом Сu(1)-2-арилбензимидазолы (реакция Вайденхагена). Сам бензимидазол не находит промышленного применения, однако его производные являются лекарственными средствами (например, дибазол), фунгицидами (например, беномил) и др.
1.2. Практическое применение
Гастроэнтерология – одна из наиболее динамично развивающихся областей медицины. Прогресс молекулярной патологиии и физиологии, стремительное развитие медицинской генетики, технологии диагностики и лечения, немыслимые без компьютерного обеспечения, о которых ранее можно было только мечтать, позволили выделить новые нозологические формы болезней органов пищеварения, уточнить патогенез гастроэнтерологических страданий, поднять на современный уровень диагностику и пересмотреть многие лечебные алгоритмы. Возможности терапевтического и хирургического лечения ряда заболеваний, приобретенные за последние десятилетия ушедшего века, чрезвычайно раширились, а их результаты впечатляют.
В свете этих достижений перспектива развития гастроэнтерологии на ближайшие 5–15 лет, представляется достаточно ясной.
Производные бензимидазола – ингибиторы протонной помпы париетальных клеток (омепразол, лансопразол, эзомепразол, пантопразол и рабепразол) – самый мощный класс антисекреторных препаратов, революционизировавших терапию гастро-эзофагеальной рефлюксной болезни, язвенной болезни двенадцатиперстной кишки и желудка, синдрома Золлингера–Эллисона. Бензимидазолы необратимо связываются с Н+–К+-АТФазой париетальных клеток (образуя ковалентную связь с сульфгидрильными группами энзима), и для восстановления секреции требуется синтез протонных помп de novo, что и определяет продолжительность антисекреторного эффекта. Бензимидазолы развивают свой антисекреторный эффект, достигая париэтальных клеток через кровоток и трансформируясь из неактивной формы в активную для связи с Н+–К+-АТФазой. Наиболее перспективным препаратом из этой группы является рабепразол, благодаря своей способности быстро трансформироваться в активную форму и насыщать все связи АТФазы.
В качестве средств, повышающих тонус и двигательную активность ЖКТ, перспективно применение агонистов серотониновых 5-НТ4-рецепторов. Препараты этой группы повышают тонус нижнего пищеводного сфинктера, предупреждая заброс содержимого желудка в пищевод, ускоряют опорожнение желудка и 12-перстной кишки, предупреждая стаз и дуодено-гастральный рефлюкс.
Принципиально новый класс лекарственных препаратов предварительно назван антагонистами кислотной помпы. Активно исследуются свойства производного имидазо-пиридина, которое за счет предотвращения переноса ионов К+ протонной помпой париетальных клеток обратимо ингибируют желудочную секрецию. Главное преимущество по сравнению с бензимидазолами – немедленное развитие эффекта, в связи с чем препарат может использоваться у больных при оказании им экстренной помощи и при необходимости скорейшего купирования симптоматики (например, язвенное кровотечении).
Разработанные препараты, непосредственно влияющие на финальный этап кислотной продукции – Н+,К+-АТФазу париетальных клеток, высоко эффективны, и механизм их действия практически не нуждается в совершенствовании. По мнению ряда экспертов, в ближайшие годы вряд ли удастся создать новые антисекреторные препараты, которые мБензимидазолы и пробензимидазолы как антгельминтики широко используются в ветеринарной медицине в связи с их незначительной токсичностью (их терапевтический индекс может быть равен 60, а у левамизола - 4). Производные бензимидазола эффективны в основном против нематод, и в меньшей степени против цестод и трематод. Они действуют как ингибиторы полимеризации тубулина, фиксируя бета-тубулин нематод или цестод. Помимо этого, считается, что механизм их действия связан с теми или иными нарушениями энергетического обмена, в частности, с разобщением цепочки окислительного фосфорилирования и с воздействием на фумаратредуктазу (Новик Т.С., Ястреб В.Б., 2000). Они также умерщвляют гельминтов, вызывая дезорганизацию большого количества скелетоформирующих клеток и клеток эпителия пищевода - у нематод (Ф.Бене, 1999). При неоднократном назначении бензимидазол и пробензимидазол активно действуют на цестод рода Taenia. В обычно применяемой терапевтической дозе они не производят никакого действия на ленточных червей рода Echinococcus и, как правило, не эффективны против Diрylidium caninum. Ларвицидное действие бензимидазола при аскаридозе (Toxocara canis или T. cati) основано на пенетрации препарата в ткани, что не поддается количественной оценке, и поэтому дозу препарата часто приходится завышать, по сравнению с рекомендуемой.
Что касается фенбендазола (новейший бензимидазол - содержится в таких препаратах, как каниквантел плюс, дирофен, панакур, празицид, фебтал), то его антгельминтное действие основано на ингибиции ферментной фумаратредуктазной системы паразитов, повреждении оболочки мышечной ткани и деполяризации нейромышечных ганглиев, что приводит к нарушению энергетического метаболизма, нервно-мышечной иннервации, параличу и в результате – к гибели гельминтов. Фенбендазол плохо всасывается в кишечнике, выводится в основном с фекалиями, в меньшей степени с мочой. Действие фенбендазола против нематод многократно усиливается в сочетании с пирантелом.
Фенбендазол, мебендазол, оксфендазол, оксибендазол, флюбендазол и фебантел (профенбендазол) активно действуют на аскарид и взрослых анкилостом в кишечнике. Оксибендазол обладает широким антигельминтным спектром действия против нематод и цестод. Механизм действия заключается в блокировке фумаратредуктазы и нарушении энергетического метаболизма у гельминта. Часть препарата всасывается, трансформируется в организме и выводится с мочой.
Механизм действия альбендазола основан на нарушении транспорта глюкозы и микротубулярной функции паразитов (трематоды, цестоды, нематоды) угнетении активности фумаратредуктазы и синтеза АТФ, повышении проницаемости клеточных мембран, что приводит к нарушению нервно-мышечной иннервации, параличу и гибели паразитов, в том числе при легочных гельминтозах могли бы конкурировать с уже имеющимися.
1.3. Методика синтеза
2-Трихлорметилбензимидазол. К 23 г (0,1 моль) охлажденного раствора моногидрохлорида о-фенилендиамина в 200 мл этанола медленно, по каплям добавляют 17,8 г (0,1 моль) трихлорацетимидата. После завершения экзотермичной реакции смесь оставляют при комнатной температуре на несколько часов. Растворитель отгоняют в вакууме, а твердый остаток кристаллизуют из уксусной кислоты. Выход продукта 9-5%; т. кип. >360°.
2. Литературный обзор. Бензимидазол, его производные, их синтезы и свойства
Данная работа посвящена изучению обладающих ценными свойствами бензимидазолов общей формулы

их таутомеров, их стереоизомеров, их смесей, их пролекарственных остатков, их производных, содержащих вместо карбоксигруппы отрицательно заряженную в физиологических условиях группу, их солей, прежде всего их физиологически приемлемых солей с неорганическими или органическими кислотами или основаниями.
Соединения приведенной выше общей формулы I, в которых Rc представляет собой цианогруппу, являются ценными промежуточными продуктами для получения других соединений общей формулы I, а соединения вышеприведенной общей формулы I, в которых Rс представляет собой одну из представленных ниже амидиновых групп, а также их таутомеры, их стереоизомеры, их смеси, их пролекарственные остатки, их производные, содержащие вместо карбоксигруппы отрицательно заряженную в физиологических условиях группу, и их соли, прежде всего их физиологически приемлемые соли с неорганическими или органическими кислотами, и их стереоизомеры обладают ценными фармакологическими свойствами, прежде всего антитромботическим действием.
Объектом настоящего изобретения в соответствии с этим являются новые соединения вышеприведенной общей формулы I, а также их получение, лекарственные средства, содержащие в своем составе фармакологически эффективные соединения, их получение и применение.
В вышеприведенной общей формуле Аr обозначает необязательно замещенную атомом фтора, хлора либо брома, трифторметильной, С1-С3алкильной либо С1-С3алкокси-группой фениленовую или нафтиленовую группу, или обозначает необязательно замещенную в углеродном скелете С1-С3 алкильной группой тиениленовую, тиазолиленовую, пиридиниленовую, пиримидиниленовую, пиразини-леновую или пиридазиниленовую группу,
А обозначает С1-С3алкиленовую группу,
В обозначает атом кислорода либо серы, метиленовую, карбонильную, сульфинильную или сульфонильную группу, необязательно замещенную С1-С3алкильной группой иминогруппу, в которой алкильный фрагмент может быть одно- либо двузамещенной карбокси-группой,
Ra обозначает R1-СО-С3-С5циклоалкильную группу, где
- R1 представляет собоС1-С3алкокси-, амино-, С1-С4алкиламино- либо ди(С1-С4алкил)аминогруппу, в которых соответственно алкильный фрагмент может быть замещен карбоксигруппой,
- 4-7-членную циклоалкиленимино- либо циклоалкенилениминогруппу, которые могут быть замещены одной или двумя С1-С3алкиль-ными группами, при этом один алкильный заместитель одновременно может быть замещен гидрокси-, С1-С3алкокси-, карбокси-, карбокси-С1-С3алкокси-, карбокси-С1-С3алкиламино-, N-(С1-С3алкил)-N-(карбокси-С1-С3алкил)амино-, карбокси-С1-С3алкиламинокарбонильной, N-(С1-С3алкил)-N-(карбокси-С1-С3алкил)амино-карбонильной, карбокси-С1-С3алкиламинокар-бониламино-, 1-(С1-С3алкил)-3-(карбокси-С1-С3 алкил)аминокарбониламино-, 3-(С1-С3алкил)-3-(карбокси-С1-С3алкил)аминокарбониламино-либо 1,3-ди(С1-С3алкил)-3-(карбокси-С1-С3ал-кил)аминокарбониламиногруппой,
- замещенную гидроксигруппой 4-7-членную циклоалкилениминогруппу,
- необязательно замещенную С1-С3 алкильной группой 5-7-членную циклоалкилени-миногруппу, с которой через два смежных атома углерода сконденсировано фенильное кольцо,
- морфолиновую, пиперазиновую, N-(С1-С3 алкил)пиперазиновую, пирролиновую, 3,4- дегидропиперидиновую или пиррол-1-ильную группу, или обозначает R2-СХ-С3-С5циклоалкильную группу, где R2 представляет собой необязательно замещенную С1-С3алкильной группой фенильную, нафтильную либо моноциклическую 5- или 6-членную гетероарильную группу, при этом 6-членная гетероарильная группа содержит один, два или три атома азота, а 5-членная гетероарильная группа содержит необязательно замещенную С1-С3алкильной группой иминогруппу, один атом кислорода либо серы или необязательно замещенную С1-С3алкильной группой иминогруппу и один атом кислорода либо серы или один либо два атома азота и упомянутый выше алкильный заместитель может быть замещен карбокси-, карбокси-С1-С3алкокси-, кар-бокси-С1-С3алкиламино- либо N-(С1-С3алкил) карбокси-С1-С3алкиламиногруппой, и Х представляет собой атом кислорода, С1-С3алкилимино-, С1-С3алкоксиимино-, С1-С3алкилгидразиновую, ди(С1-С3алкил)гидразино-вую, С2-С4алканоилгидразиновую, N-(С1-С3ал-кил)-С2-С4алканоилгидразиновую или С1-С3ал-килиденовую группу, каждая из которых соответственно в алкильном или алканоильном фрагменте либо в алкильном и алканоильном фрагментах может быть замещена карбокси-группой, или обозначает замещенную имидазольной либо имидазолоновой группой С1-С3 алкильную или С3-С5циклоалкильную группу, где имидазольное кольцо может быть замещено фенильной либо карбоксигруппой и одной или двумя С1-С3алкильными группами либо одной, двумя или тремя С1-С3алкильными группами, при этом заместители могут быть идентичными или разными и один из выше названных алкильных заместителей одновременно может быть замещен карбоксигруппой или в положении 2 либо 3 амино-, С2-С4алкано-иламино-, С1-С3алкиламино-, N-(С2-С4алкано-ил)-С1-С3алкиламино- либо ди(С1-С3алкил) аминогруппой, а имидазолоновое кольцо может быть замещено С1-С3алкильной группой, при этом алкильный заместитель может быть замещен карбоксигруппой или в положении 2 либо 3 амино-, С2-С4алканоиламино-, С1-С3алкила-мино-, N-(С2-С4алканоил)-С1-С3алкиламино- либо ди(С1-С3алкил)аминогруппой, и дополнительно с вышеуказанными имидазольным и имидазолоновым кольцами через два смежных атома углерода может быть сконденсировано фенильное либо пиридиновое кольцо, или обозначает имидазолидин-2,4-дион-5-ильную группу, которая может быть замещена одной или двумя С1-С3алкильными группами, при этом одновременно один алкильный заместитель может быть замещен карбоксигруппой, или обозначает С1-С4алкильную группу, замещенную -С1-С3алкил-Y1-С1-С3алкильной, НООС-С1-С3алкил-Y1-С1-С3алкильной, тетразо-лил-С1-С3алкил-Y2-, R3NR4- или R3NR4-С1-С3алкильной группой и необязательно замещенной С1-С3алкильной группой изоксазолидинилкарбонильной группой, пирролинокарбонильной, 3,4-дегидропиперидинокарбонильной, пирролил-1-илкарбонильной, карбокси-, аминокарбониль-ной, С1-С3алкиламинокарбонильной, ди(С1-С3 алкил)аминокарбонильной или 4-7-членной циклоалкилениминокарбонильной группой, при этом в вышеназванных группах циклоалкиле-ниминовый фрагмент замещен одной либо двумя С1-С3алкильными группами и одновременно в каждой из указанных выше С1-С3алкил-аминокарбонильных, ди(С1-С3алкил)амино-карбонильных или циклоалкилениминокарбо-нильных групп один алкильный фрагмент или алкильный заместитель может быть соответственно замещен карбоксигруппой, а остальные атомы водорода С1-С4алкильной группы могут быть полностью либо частично заменены на атомы фтора, где R3 представляет собой атом водорода или необязательно замещенную карбоксигруппой С1-С3алкильную группу, а R4 представляет собой атом водорода, С1-С3алкил-Y1-С1-С3алкил-Y2-, карбокси-С1-С3ал-кил-Y1-С1-С3алкил-Y2-, С1-С3алкил-Y2- или кар-бокси-С1-С3алкил-Y2-группу или R3 и R4 вместе с расположенным между ними атомом азота представляют собой необязательно замещенную карбокси-, С1-С3алкиль-ной либо карбокси-С1-С3алкильной группой 4-7-членную циклоалкилениминогруппу, при этом Y1 представляет собой углерод-углеродную связь, атом кислорода, сульфениль-ную, сульфинильную, сульфонильную, -NH-, -NH-CO-или -NH-CO-NH-группу, а Y2 представляет собой углерод-азотную связь или карбонильную, сульфонильную, ими-но- либо -NH-CO-группу, причем карбонильная группа в составе -NH-CO-группы соединена с атомом азота R3NR4-группы, а каждая из указанных при расшифровке значений остатков Y1 и Y2 иминогрупп дополнительно может быть замещена соответственно С1-С3алкильной либо карбокси-С1-С3алкильной группой, или обозначает замещенную R5NR6-группой С1-С3алкильную или С3-С5циклоал-кильную группу, где R5 представляет собой атом водорода, С1-С3алкильную, С5-С7циклоалкильную, фенилкар-бонильную, фенилсульфонильную или пириди-нильную группу, а R6 представляет собой С1-С3алкильную, карбокси-С1-С3алкильную или карбокси-С1-С3 алкилкарбонильную группу, или обозначает С1-С3алкильную группу, замещенную С2-С4алканоильной либо С5-С7 циклоалканоильной группой, и замещенную атомом хлора, брома либо иода С1-С3алкильную группу, Rb обозначает атом водорода или С1-С3ал-кильную группу и Rc обозначает цианогруппу или необязательно замещенную одной либо двумя С1-С3 алкильными группами амидиновую группу.
Указанные при расшифровке значений вышеназванных остатков карбоксигруппы могут быть, кроме того, заменены на группу, переводимую in vivo в карбоксигруппу, либо на отрицательно заряженную в физиологических условиях группу или указанные при расшифровке значений вышеназванных остатков амино- и иминогруппы могут быть, кроме того, замещены отщепляемой in vivo группой.
Под группой, переводимой in vivo в кар-оксигруппу, имеются в виду, например, гидроксиметильная группа, этерифицированная спиртом карбоксигруппа, в которой спиртовой фрагмент представляет собой предпочтительно С1-С6алканол, фенил-С1-С3алканол, С3-С9циклоалканол, при этом С5-С8циклоалканол дополнительно может быть замещен одной либо двумя С1-С3алкильными группами, С5-С8циклоалканол, в котором метиленовая группа в положении 3 или 4 заменена на атом кислорода либо на необязательно замещенную С1-С3алкильной, фенил-С1-С3алкильной, фенил-С1-С3алкокси-карбонильной или С2-С6алканоильной группой иминогруппу, а циклоалканольный фрагмент дополнительно может быть замещен одной либо двумя С1-С3 алкильными группами, С4-С7 цикло-алкенол, С3-С5алкенол, фенил-С3-С5алкенол, С3-С5алкинол или фенил-С3-С5алкинол, при условии, что отсутствует связь между атомом кислорода и атомом углерода, несущим двойную либо тройную связь, С3-С8циклоалкил-С1-С3 алканол, бициклоалканол с в общей сложности 8-10 атомами углерода, который в бициклоалкильном фрагменте дополнительно может быть замещен одной либо двумя С1-С3алкильными группами, 1,3-дигидро-3-оксо-1-изобензфуранол или же спирт формулы Rd-СО-О-(ReCRf)-ОН, где Rd представляет собой С1-С8алкильную, С5-С7циклоалкильную, фенильную либо фенил-С1-С3алкильную группу, Rе представляет собой атом водорода, С1-С3алкильную, С5-С7циклоалкильную либо фе-нильную группу и Rf представляет собой атом водорода либо С1-С3алкильную группу; под отрицательно заряженной в физиологических условиях группой имеются в виду такие группы, как тетразол-5-ильная, фенилкар-бониламинокарбонильная, трифторметилкарбо-ниламинокарбонильная, С1-С6алкилсульфонил-амино-, фенилсульфониламино-, бензилсульфо-ниламино-, трифторметилсульфониламино-, С1-С6алкилсульфониламинокарбонильная, фенил-сульфониламинокарбонильная, бензилсульфо-ниламинокарбонильная или перфтор-С1-С6 алкилсульфониламинокарбонильная группа, а под отщепляемой in vivo от имино- или аминогруппы группой имеются в виду, например, гидроксигруппа, ацильная группа, такая как одно- либо двузамещенная атомами фтора, хлора, брома или иода, С1-С3алкильными либо С1-С3алкоксигруппами бензоильная группа, при этом заместители могут быть идентичными или разными, пиридиноильная группа или С1-С16алканоильная группа, такая как формильная, ацетильная, пропионильная, бутаноильная, пентаноильная и гексаноильная группа, 3,3,3-трихлорпропионильная либо аллилоксикарбонильная группа, С1-С16алкоксикарбонильная либо С1-С16алкилкарбонилоксигруппа, в которых атомы водорода полностью или частично могут быть заменены на атомы фтора либо хлора, такие как метоксикарбонильная, этоксикарбонильная, пропоксикарбонильная, изопропок-сикарбонильная, бутоксикарбонильная, трет-бутоксикарбонильная, пентоксикарбонильная, гексоксикарбонильная, октилоксикарбонильная, нонилоксикарбонильная, децилоксикарбониль-ная, ундецилоксикарбонильная, додецилокси-карбонильная, гексадецилоксикарбонильная, метилкарбонилокси-, этилкарбонилокси-,2,2,2-трихлорэтилкарбонилокси-, пропилкарбонилок-си-, изопропилкарбонилокси-, бутилкарбони-локси-, трет-бутилкарбонилокси-, пентилкарбонилокси-, гексилкарбонилокси-, октилкарбонилокси-, нонилкарбонилокси-, децилкарбонилокси-, ундецилкарбонилокси-, додецилкарбонилокси- или гексадецилкарбонилоксигруппа, фенил-С1-С6алкоксикарбонильная группа, такая как бензилоксикарбонильная, фенилэтоксикарбонильная или фенилпропоксикарбонильная группа, 3-аминопропионильная группа, в которой аминогруппа является одно- либо двузамещенной С1-С6алкильными или С3-С7циклоал-кильными группами и заместители могут быть идентичными или разными, С1-С3алкилсульфо-нильная, С2-С4алкоксикарбонильная, С1-С3ал-кокси-С2-С4алкокси-С2-С4алкоксикарбонильная, Rd-CO-О-(RdCRf)-О-CO-, С1-С6алкил-СО-NН-(RgCRh)-О-СО- или С1-С6aлкил-CO-О-(RgCRh)-(RgCRh)-O-CO-группa, в которых Rd-Rf имеют значения, указанные выше, a Rg и Rh, которые могут быть идентичными или разными, представляют собой атомы водорода или С1-С3ал-кильные группы.
Кроме того, группы, указанные при расшифровке значений вышеназванных насыщенных алкильных и алкоксифрагментов, содержащих более двух атомов углерода, включают также их разветвленные изомеры, как, например, изопропильная, трет-бутильная, изобу-тильная и т.д. группа.
К предпочтительным соединениям относятся такие соединенияобщей формулы

в которой А обозначает С1-С3алкиленовую группу, В обозначает атом кислорода либо серы, метиленовую, карбонильную, сульфинильную или сульфонильную группу, необязательно замещенную С1-С3алкильной группой иминогруппу, в которой алкильный фрагмент может быть одно- либо двузамещенной карбоксигруппой, Rа обозначает R1-СО-С3-С5 циклоалкиль-ную группу, где R1 представляет собой С1-С3алкокси-, амино-, С1-С4алкиламино-либо ди(С1-С4алкил)аминогруппу, в которых соответственно алкильный фрагмент может быть замещен карбоксигруппой, 4-7-членную циклоалкиленилимино- либо циклоалкенилениминогруппу, которые могут быть замещены одной или двумя C1-С3-алкильными группами, при этом один алкильный заместитель одновременно может быть замещен гидрокси-, С1-С3алкокси-, карбокси-, карбокси-С1-С3алкокси-, карбокси-С1-С3алки-ламино-, N-(С1-С3алкил)-N-(карбокси-С1-С3ал-кил)амино-, карбокси-C1-С3алкиламинокарбо-нильной, N-(С1-С3алкил)-N-(карбокси-С1-С3ал-кил)аминокарбонильной, карбокси-С1-С3алкил-аминокарбониламино-, 1-(С1-С3алкил)-3-(карбо-кси-С1-С3алкил)аминокарбониламино-, 3-(С1-С3 алкил)-3-(карбокси-С1-С3алкил)аминокарбонил амино- либо 1,3-ди(С1-С3алкил)-3-(карбокси-С1-С3алкил)аминокарбониламиногруппой, замещенную гидроксигруппой 4-7-членную циклоалкилениминогруппу, необязательно замещенную С1-С3ал-кильной группой 5-7-членную циклоалкилени-миногруппу, с которой через два смежных атома углерода сконденсировано фенильное кольцо, морфолиновую, пиперазиновую, N-(С1-С3 алкил)пиперазиновую, пирролиновую, 3,4- дегидропиперидиновую или пиррол-1-ильную группу,или обозначает R2-СХ-С3-С5циклоал-кильную группу, где R2 представляет собой необязательно замещенную С1-С3алкильной группой фенильную, нафтильную либо моноциклическую 5- или 6-членную гетероарильную группу, при этом 6-членная гетероарильная группа содержит один, два или три атома азота, а 5-членная гетероарильная группа содержит необязательно замещенную С1-С3алкильной группой иминогруппу, один атом кислорода либо серы или необязательно замещенную С1-С3алкильной группой иминогруппу и один атом кислорода либо серы или один либо два атома азота и упомянутый выше алкильный заместитель может быть замещен карбокси-, карбокси-С1-С3 алкок-си-, карбокси-С1-С3алкиламино- либо N-(С1-С3 алкил)карбокси-С1-С3алкиламиногруппой, и Х представляет собой атом кислорода, С1-С3 алки-лимино-, С1-С3алкоксиимино-, С1-С3алкилгидра-зиновую, ди(С1-С3алкил)гидразиновую, С2-С4 алканоилгидразиновую, N-(С1-С3алкил)-С2-С4 алканоилгидразиновую или С1-С3алкилиде-новую группу, каждая из которых соответственно в алкильном или алканоильном фрагменте либо в алкильном и алканоильном фрагментах может быть замещена карбоксигруппой, или обозначает замещенную имидазольной либо имидазолоновой группой С1-С3алкильную или С3-С5циклоалкильную группу, где имидазольное кольцо может быть замещено фенильной либо карбоксигруппой и одной или двумя С1-С3алкильными группами либо одной, двумя или тремя С1-С3алкильными группами, при этом заместители могут быть идентичными или разными и один из вышеназванных алкильных заместителей одновременно может быть замещен карбоксигруппой или в положении 2 либо 3 амино-, С2-С4алкано-иламино-, С1-С3алкиламино-, N-(С2-С4алка-ноил)-С1-С3алкиламино- либо ди(С1-С3ал-кил)аминогруппой, а имидазолоновое кольцо может быть замещено С1-С3алкильной группой, при этом алкильный заместитель может быть замещен карбоксигруппой или в положении 2 либо 3 амино-, С2-С4алканоиламино-, С1-С3ал-киламино-, N-(С2-С4алканоил)-С1-С3алкилами-но- либо ди(С1-С3алкил)аминогруппой, и дополнительно с вышеуказанными имидазольным и имидазолоновым кольцами через два смежных атома углерода может быть сконденсировано фенильное либо пиридиновое кольцо, или обозначает имидазолидин-2,4-диoн-5-ильную группу, которая может быть замещена одной или двумя С1-С3алкильными группами, при этом одновременно один алкильный заместитель может быть замещен карбоксигруппой, или обозначает С1-С4алкильную группу, замещенную -С1-С3алкил-Y1-С1-С3алкильной,НООС- С1-С3алкил-Y1-С1-С3алкильной, тетразолил-С1- С3алкил-Y2-, R3NR4- или R3NR4-С1-С3алкильной группой и необязательно замещенной С1-С3алкиль- ной группой изоксазолидин-1-илкарбонильной группой, пирролинокарбонильной, 3,4-дегидро- пиперидинокарбонильной, пирролил-1-илкарбо- нильной, карбокси-, аминокарбонильной, С1-С3 алкиламинокарбонильной, ди(С1-С3алкил)ами- нокарбонильной или 4-7-членной циклоалкиле- ниминокарбонильной группой, при этом в вышеназванных группах циклоалкилениминовый фрагмент замещен одной либо двумя С1- С3алкильными группами и одновременно в каж дой из указанных выше С1-С3алкиламино- карбонильных, ди(С1-С3алкил)аминокарбонильных или циклоалкилениминокарбонильных групп один алкильный фрагмент или алкильный заместитель может быть соответственно заме щен карбоксигруппой, а остальные атомы водорода С1-С4алкильной группы могут быть полностью либо частично заменены на атомы фтора,где R3 представляет собой атом водорода или необязательно замещенную карбоксигруппой С1-С3алкильную группу, а R4 представляет собой атом водорода, С1-С3алкил-Y1-С1-С3алкилY2-, карбокси-С1-С3алкил-Y1-С1-С3алкил-Y2-, С1-С3алкил-Y2- или карбокси-С1-С3алкил-Y2- группу или R3 и R4 вместе с расположенным между ними атомом азота представляют собой необязательно замещенную карбокси-, С1-С3 алкильной либо карбокси-С1-С3алкильной группой 4-7-членную циклоалкилениминогруппу, при этом Y1 представляет собой углерод-углеродную связь, атом кислорода, сульфениль-ную, сульфинильную, сульфонильную, -NH-, -NH-CO-или -NH-CO-NH-группу, а Y2 представляет собой углерод-азотную связь или карбонильную, сульфонильную, имино- либо -NH-CO-группу, причем карбонильная группа в составе -NH-CO-группы соединена с атомом азота R3NR4-группы, а каждая из указанных при расшифровке значений остатков Y1 и Y2 иминогрупп дополнительно может быть замещена соответственно С1-С3алкильной либо карбокси-С1-С3алкильной группой, или обозначает замещенную R5NR6-группой С1-С3алкильную или С3-С5циклоал-кильную группу, где R5 представляет собой атом водорода, С1-С3алкильную, С5-С7циклоалкильную, фенилкар-бонильную, фенилсульфонильную или пириди-нильную группу, а R6 представляет собой С1-С3алкильную, карбокси-С1-С3алкильную или карбокси-С1-С3алкилкарбонильную группу, или обозначает С1-С3алкильную группу, замещенную С2-С4алканоильной либо С5-С7 циклоалканоильной группой, и замещенную атомом хлора, брома либо иода С1-С3алкильную группу, Rb обозначает атом водорода или С1-С3 алкильную группу и Rc обозначает цианогруппу или амидиновую группу, которая может быть замещена гидроксигруппой, одной либо двумя С1-С3алкильными группами, одной либо двумя С1-С8алкоксикарбонильными группами, при этом указанные выше при расшифровке значений остатков карбокси-, амино- и ими-ногруппы могут быть замещены, кроме того, отщепляемой in vivo группой, их таутомеры, их стереоизомеры и их соли.
Особенно предпочтительными являются такие соединения вышеприведенной общей формулы Iа, в которых А обозначает С1-С3алкиленовую группу, В обозначает атом кислорода, метиленовую, ими-но- или N-(С1-С3алкил)иминогруппу, в которой алкильный фрагмент может быть замещен кар-боксигруппой, Ra обозначает замещенную в положении 1 R1-СО-группой С3-С5циклоалкиль-ную группу, где R1 представляет собой С1-С3алкокси-, амино-, С1-С4алкиламино-либо ди(С1-С4алкил)аминогруппу, в каждой из которых соответственно алкильный фрагмент может быть замещен карбоксигруппой, 4-7-членную циклоалкилениминогруппу, которая может быть замещена гидроксигруппой либо одной или двумя С1-С3алкильными группами, при этом один алкильный заместитель одновременно может быть замещен гидрокси-, С1-С3алкокси-, карбокси-, карбокси-С1-С3алкок-си-, карбокси-С1-С3алкиламино-, N-(С1-С3ал-кил)-N-(карбокси-С1-С3алкил)амино-, карбокси-С1-С3алкиламинокарбонильной, N-(С1-С3алкил)-N-(карбокси-С1-С3алкил)аминокарбонильной, карбокси-С1-С3алкиламинокарбониламино-, 1-(С1-С3алкил)-3-(карбокси-С1-С3алкил)аминокар-бониламино-, 3-(С1-С3алкил)-3-(карбокси-С1-С3алкил)аминокарбониламино- либо 1,3-ди(С1-С3алкил)-3-(карбокси-С1-С3алкил)аминокарбо-ниламиногруппой, необязательно замещенную С1-С3алкильной группой 5-7-членную циклоалкилениминогруппу, с которой через два смежных атома углерода сконденсировано фенильное кольцо, морфолиновую, пиперазиновую, N-(С1-С3алкил)пиперазиновую, пирролиновую, 3,4-дегидропиперидиновую или пиррол-1-ильнуюгруппу, или обозначает замещенную в положении 1 R2-СХ-группой С3-С5циклоалкильную группу, где R2 представляет собой необязательно замещенную С1-С3алкильной группой фенильную, нафтильную либо моноциклическую 5- или 6-членную гетероарильную группу, при этом 6-членная гетероарильная группа содержит один, два или три атома азота, а 5-членная гетероа-рильная группа содержит необязательно замещенную С1-С3алкильной группой иминогруппу, один атом кислорода либо серы или необязательно замещенную С1-С3алкильной группой иминогруппу и один атом кислорода либо серы или один либо два атома азота и упомянутый выше алкильный заместитель может быть замещен карбокси-, карбокси-С1-С3алкокси-, кар-бокси-С1-С3алкиламино- либо N-(С1-С3алкил) карбокси-С1-С3алкиламиногруппой, и Х представляет собой атом кислорода, С1-С3алкилимино-, С1-С3алкоксиимино- или С1-С3алкилиденовую группу, которые соответственно в алкильном либо алкоксифрагменте могут быть замещены карбоксигруппой, или обозначает замещенную в положении 1 имидазольной либо имидазолоновой группой С1-С3алкильную группу, где имидазольное кольцо может быть замещено фенильной либо карбоксигруппой и одной или двумя С1-С3алкильными группами либо одной, двумя или тремя С1-С3алкильными группами, при этом заместители могут быть идентичными или разными и один из вышеназванных алкильных заместителей одновременно может быть замещен карбоксигруппой или в положении 2 либо 3 амино-, С2-С4алка-ноиламино-, С