Атомне ядро
РЕФЕРАТ
на тему:”Атомне ядро”
План
1. Основні характеристики атомних ядер (лінійні розміри, заряд, зарядове й масове числа, спін, магнітний момент)
2. Будова ядра. Нуклони, їх характеристики і взаємоперетворення. Нейтрино
3. Енергія зв’язку нуклонів у ядрі. Дефект маси. Ядерні сили і їх природа Мезони
4. Феноменологічні моделі будови атомного ядра
1. Основні характеристики атомних ядер (лінійні розміри, заряд, зарядове й масове числа, спін, магнітний момент)
В дослідах Резерфорда з розсіювання частинок на атомах важких металів вперше було встановлено існування атомних ядер. Атомне ядро кожного хімічного елемента, як і будь-який інший матеріальний об’єкт, має ряд характерних властивостей. Серед них: електричний заряд, маса, електричний і магнітний моменти, спін та ін. Розглянемо деякі характеристики атомних ядер.
Електричний заряд є однією з найважливіших характеристик атомів і ядер. Ядро атома завжди має позитивний заряд. Носіями позитивних зарядів у ядрі є протони. Носіями негативних електричних зарядів є електрони, які рухаються на значних відстанях від ядра, утворюючи електронну хмарку. Величину електричного заряду атома визначає число протонів у ядрі і число електронів у нейтральному атомі. Заряд qs = Ze, де Z – зарядове число ядра, яке дорівнює порядковому номеру елемента в таблиці Менделєєва.
Розподіл густини зарядів електричного заряду в ядрах вперше встановив у 1957 році Хофштадтер. Для цього були використані електрони високих енергій (до 1000 МеВ). Якщо електрон великої енергії пролітає на відстані в від ядра із зарядом Ze, то він за допомогою кулонівських сил ядра відхилиться на кут (рис. 3.1). Можна розрахувати залежність від в.

У випадку коли в = R, де R – радіус ядра, кут = max. Виходячи з експериментальних даних і проведених теоретичних розрахунків класичним квантовим методами знайдено, що позитивний заряд в ядрі розподілений з однаковою густиною по об’єму ядра. Про це свідчить рис. 3.2.

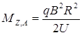
Маса ядра є наступною важливою характеристикою. Практично вся маса атомного ядра збігається з масою атома, оскільки маса електронів на оболонках дуже незначна. Масу атомів, а, відповідно, і масу ядер, визначають за допомогою відхилення іонів цих атомів при їх русі в електричному й магнітному полях. Для цих цілей Астоном сконструював прилад, який називається мас-спектрометром.
Мас-спектрометр складається із джерела іонів Д, вакуумної камери і приймача іонів П (рис. 3.3).

Іонізовані атоми попадають в поле конденсатора К, де прискорюються електричним полем
qU =
, (3.1.1.1)
де MZ,A – маса іона;
– швидкість іона; U – різниця потенціалів між пластинками конденсатора; q – заряд іона.
При відповідній швидкості
іонізовані атоми влітають в область дії лише магнітного поля
. В цьому випадку на такі атоми діятиме сила Лоренца
qB=![]()
. (3.1.1.2)
Виключивши з (3.1.1) і (3.1.2) швидкість іона, одержуємо
. (3.1.1.3)
Попадання в приймач П іонів можливе лише при певній напрузі між пластинками конденсатора. Іони з різною масою попадуть в приймач при різних значеннях U.
На рис. 3.4 показано спектр атомів молібдену при їх дослідженні за допомогою мас-спектрометра.

Рис. 3.4
Висота піка визначає процентний вміст даного ізотопу в природному молібдені. Окремі піки в спектрі визначають наявність окремих ізотопів. Точність мас спектроскопічних досліджень не нижче (10-4 – 10-3)%.
В результаті проведених досліджень встановлено, що радіус атомного ядра дорівнює:
R=1.2. 10-15 ·A1/3 м, (3.1.1.4)
де А – атомна маса ядра в атомних одиницях маси.
Знаючи середній радіус атомного ядра, можна розрахувати масову густину ядерної речовини, яка не залежить від розмірів ядра і дорівнює
(3.1.1.5)
Дослідження електричного поля ядра дали можливість зробити висновок про його форму. Встановлено, що не всі ядра є сферично-симетричними, але для всіх ядер без винятку характерна осьова симетрія. Однак відомо, що осьова симетрія можлива лише у випадках, коли ядро має сферичну форму або є еліпсоїдом обертання.
Спін ядра поряд з зарядом і масою є його найважливішою характеристикою. Спіном ядра називають його повний механічний момент, який є сумою власних механічних моментів складових частинок ядра та їхніх орбітальних механічних моментів, зумовлених внутрішньоядерними рухами. Спін ядра залежить від його стану. Оскільки в будь-якому ядрі є Z- протонів і A - Z - нейтронів, спіни яких дорівнюють ½, то всі ядра з парним А мають цілий або нульовий спін, а ядра з непарним А мають завжди півцілий спін. В залежності від величини А ядра можуть бути або ферміонами (А – непарне), або бозонами (А – парне).
Магнітні моменти ядер визначають за допомогою явища магнітного резонансу. Суть цього явища полягає в резонансному поглинанні енергії високочастотного електромагнітного поля, яке відбувається при переорієнтації попередньо зорієнтованих за допомогою постійного магнітного поля магнітних моментів ядер. Вимірюють магнітні моменти ядер у ядерних магнетонах, які вводяться аналогічно магнетона Бора
(3.1.1.6)
де mp– маса протона; е – заряд протона;
–стала Планка;
гіромагнітне відношення.
Аналіз показує, що магнітні моменти ядер є дуже малими і експериментально їх важко виміряти. Це приводить до висновку, що нуклони в ядрі розміщуються так, що їхні спіни і магнітні моменти взаємно компенсуються.
2. Будова ядра. Нуклони, їх характеристики і взаємоперетворення. Нейтрино
Ядро складається із Z- протонів і A-Z- нейтронів. Протони і нейтрони називають ще нуклонами. Вважають, що ядерна частинка – нуклон, може бути в двох “зарядових станах”: протонному з зарядом +е і нейтронному з зарядом 0. Маси спокою цих двох станів дещо різні, що має велике значення при радіоактивних перетвореннях. Нуклони характеризуються масою, зарядом, спіном, магнітними моментами тощо.
Протон має масу mp=1.007276 a.o.м. Заряд протона позитивний, рівний заряду електрона 1,6.10-19 Кл. Спін протона півцілий, рівний ½. Магнітний момент протона
де
- ядерний магнетон. Спін і магнітний момент у протона орієнтовані в одному напрямі.
Перша ядерна реакція взаємодії - частинок з ядрами азоту, в результаті якої утворились вільні протони, була здійснена Резерфордом у 1919 році.
(3.1.2.1)
Дія частинок на атоми азоту викликала появу нових частинок з великою проникною здатністю. Ретельне вивчення їх в електричному і магнітному полях показало, що ці частини є протонами, тобто ядрами атома водню. Пізніше Резерфорд і Чедвік показали, що крім ядер азоту протони випромінюються під дією швидких частинок і на ядра інших легких елементів. Проте більш важкі ядра розщепити частинками не вдавалось, частинка, попадаючи в ядро, припиняє своє існування, а замість неї вилітає протон. Імовірність попадання частинки в ядро атома азоту дуже мала.
Наступна частинка після електронів і протонів була ідентифікована лише у 1932 році Чедвіком. Такими частинками з масою близькою до протона і зарядом, рівним нулю, виявились нейтрони. Ефективним джерелом нейтронів є берилієва мішень, яку опромінюють частинками радію. Однак потужні джерела нейтронів були побудовані пізніше – ними виявились атомні реактори.
Реакцію утворення нейтронів при бомбардуванні берилію - частинками можна записати так
(3.1.2.2)
Маса нейтрона mn = 1.0086649 а.о.м., а заряд нейтрона рівний нулю. Магнітний момент нейтрона протилежний до спіна й дорівнює
де
- ядерний магнетон, менший у 1840 разів за магнетон Бора. Спін нейтрона – ½.
Існують припущення, що внутрішня будова протона досить складна. Так вважається, що у протона позитивний заряд розподілений по всьому об’єму. В центральній частині протона розміщена важка серцевина (корн), в якій зосереджено біля 10% заряду. Решта заряду розміщено в середній частині й на оболонці.
У нейтрона корн і середня частина заряджені негативно, а оболонка має позитивний заряд. Позитивний і негативний заряди компенсують один одного, так що заряд нейтрона дорівнює нулю. І в протона і в нейтрона окремі частини їх будови різко не виражені, тому можна говорити про плавний розподіл їх заряду по об’єму.
Вільний протон є надзвичайно стійкою частинкою. Жодного випадку перетворення протона з вільного стану в інші частинки не зареєстровано. Вважається, що якщо такий факт перетворення протона можливий, то його імовірність близька до нуля.
Вільні нейтрони є радіоактивними. Так, середній вік життя вільного нейтрона не перевищує 11.7 хвилини.
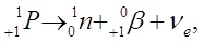
Перетворення нейтрона в протон з виділенням - частинки і антинейтрино можна показати за допомогою такої реакції
(3.1.2.3)
де
- електрон;
- антинейтрино.
Нейтрони в ядрах атомів у випадку, коли їх число близьке до числа протонів, є досить стабільними частинками. Такі елементи в таблиці Менделєєва розміщуються в середній її частині.
Якщо ядро містить надлишок протонів, то його склад може змінитись завдяки перетворенню протона в нейтрон:
(3.1.2.4)
де
позитрон, античастинка до електрона;
- нейтрино.
Таке перетворення протона в нейтрон може відбуватись тільки в ядрі. При цьому маса материнського ядра повинна перевищувати масу дочірнього ядра не менше ніж на дві електронні маси.
Існування таких частинок, як нейтрино й антинейтрино було передбачено Паулі ще в 1930 році. Але експериментально цей факт було підтверджено лише в 1953 році. Джерелом антинейтрино був ядерний реактор, який створював досить потужний потік цих частинок, близько 1013 частинок через площадку 1 см2 за 1 секунду. Експериментальна установка розміщувалась глибоко під землею далеко від реактора з потужним захистом від космічного випромінювання і випромінювання реактора. Реєстрація здійснювалась за допомогою рідкого сцинтилятора, який містив кадмій. Були створені всі умови для реєстрації дуже рідкісного явища взаємодії антинейтрино з протоном
(3.1.2.5)
Позитрон
, зустрівшись з електроном сцинтилятора, анігілював на два гамма-кванти
(3.1.2.6)
Ця реакція давала перший спалах сцинтилятору. Після цього нейтрон в реакції (3.1.11) за малий проміжок часу сповільнювався і поглинався ядром кадмію. Ядро кадмію спочатку збуджувалось, а потім переходило в нормальний стан, випромінюючи цілий каскад гамма-квантів. Ці гамма-кванти уже давали другий спалах, який теж реєструвався сцинтилятором. Така подія повторювалась в умовах цього експерименту приблизно один раз на три години. Рейнес і Коцен – фізики, які здійснювали цей експеримент, підрахували, що реєстрація антинейтрино одне із найменш імовірних явищ ядерної фізики.
Уже багато років усе частіше й частіше не тільки в вагомих наукових журналах, але й на сторінках газет і популярних видань приходиться зустрічатися з "таємничою" елементарною частинкою, яка носить досить дивну назву - "нейтрино". Що ж це за частинка, яку роль вона відіграє у фізиці елементарних частинок й у Всесвіті?
Коли ця частинка вперше з'явилася у фізиці вчені уже твердо знали, що існують такі елементарні частинки, як нейтрони й протони - "цеглинки", з яких складається атомне ядро.
У 1931 р. відомий швейцарський фізик Вольфганг Паулі прийшов до висновку, що в природі повинна існувати ще одна нейтральна частинка з масою, набагато меншою, ніж у нейтрона, як він говорив, "маленький нейтрон". Коли Паулі викладав цю ідею з трибуни однієї міжнародної наукової конференції, італійський фізик Енріко Фермі перебив його словами:
- Називайте її "нейтрино"!
Справа в тім, що на італійській мові зменшувальне "ино" відповідає російським суфіксам "чик" або "ушк". Так що нейтрино в перекладі з італійської буде означати "маленький нейтральний", або просто "нейтрончик".
Так нейтрино було винайдено Паулі, а одержало назву з легкої руки Фермі. "Винахід" нейтрино було здійснено завдяки труднощам, виявленим при експериментальному дослідженні так званого процесу бета - розпаду. Цей процес полягає у випромінюванні ядрами деяких хімічних елементів негативних електронів (е-). Коли нейтрино ще не було "винайдене", припускали, що бета-розпад ядра Z, що має заряд + Ze, відбувається за схемою
Z
(Z+1)+е-. (3.1.2.7)
Але виявилося, що енергії електронів, які вилітають, у цьому процесі не мають дискретного значення. У більшості випадків енергії явно не вистачало в порівнянні з тією, яку вони повинні були теоретично мати. Створювалося враження, що енергія кудись зникає, начебто порушувався закон збереження енергії. Труднощі були настільки значними, що деякі великі фізики пропонували навіть відмовитися від цього фундаментального закону.
Удаване незбереження енергії, однак, мало досить дивний характер. Дійсно, якщо енергія не зберігається в процесі бета-розпаду, то ми повинні були б очікувати, що іноді енергії електронів буде не вистачати, а іноді з'явиться "зайва". Однак виявилося, що "зайвої" енергії не буває.
Таким чином, не природне прагнення зберегти непорушними закони фізики, а факти, яким у науці завжди належить останнє слово, змусили встати на захист закону збереження енергії. Але як?
"Винахідник" нейтрино міркував так. Удаване незбереження енергії обумовлене просто тим, що вищенаведена схема неправильно описує процес бета-розпаду. У цьому процесі повинна брати участь ще одна, не виявлена дослідним шляхом нейтральна (а тому практично невловима) частинка, яка несе "зниклу" енергію. Вона і була названа нейтрино (
). Таким чином, схема бета-розпаду виглядала так:
Z
(Z+1)+е-+
, (3.1.2.8)
де е-- електрон;
- антинейтрино.
І хоча для всіх частинок, які виділяються в цьому процесі, сумарна енергія має точно визначену величину, вона розподіляється між продуктами розпаду так, що в різних випадках електрон одержує різні її порції. Сам фундаментальний процес бета-розпаду - розпад нейтрона буде тому описаний схемою
n
p+е-+
. (3.1.2.9)
Всередині атомних ядер протон також може перетворюватися в нейтрон з випромінюванням позитивного електрона (або позитрона) і нейтрино:
p
n + е+ +
, (3.1.2.10)
де е+ -позитрон, позитивно заряджений електрон;
- нейтрино.
Отже, нейтрино - це частинка, яка при бета-розпаді несе частину енергії. Так припускали фізики-теоретики, що із самого початку вважали її як "невловиму" частинку. І відразу ж були передбачені властивості нової частинки: вона повинна бути електрично- нейтральною, мати високу проникну здатність і бути надзвичайно малою за масою. Інакше експериментаторам було б неважко знайти її, а це виявилося зовсім не просто. Остання властивість - вкрай мала маса - відповідно до теорії відносності приводить до того, що нейтрино не може знаходитися в стані спокою: воно завжди рухається зі швидкістю світла.
Після того як гіпотеза про існування нейтрино була сформульована, фізики спробували знайти й інші докази його присутності в бета-розпаді. Як відомо, при перетвореннях частинок, як і при будь-яких фізичних процесах, що відбуваються в будь-якій системі, зберігається не тільки енергія, але і кількість руху або імпульс.
Якщо нейтрон, який дає бета-розпад, нерухомий, то його імпульс дорівнює нулю. Виходить, і сумарний імпульс усіх частинок - продуктів розпаду - також повинен бути рівним нулю. Але в численних дослідах, перший з яких ще в 1934 р. поставив радянський фізик О. Лейпунський, було показано, що сумарний імпульс електрона й ядра віддачі (Z+1) при бета-розпаді ядра Z не дорівнює нулю. Це підтверджує гіпотезу про нейтрино: невловима частинка несе "зниклий" імпульс.

Схема бета - розпаду нейтрона й протона
Як з'ясувалося після відкриття інших елементарних частинок, особливо мезонів, нейтрино бере участь не тільки в бета-розпаді ядер, але й в інших процесах. Його присутність виявляється завжди, коли енергія начебто зникає. До речі, у деяких з цих процесів, де число частинок, що утворюються, дорівнює двом, а не трьом, як у процесі бета-розпаду, характер "незбереження енергії" більш ніж підозрілий і вимагає існування нейтрино ще ясніше, ніж у випадку бета-розпаду.
Наприклад, при розпаді так званого піона (або пі-мезона) завжди "зникає" певна енергія, близько 30 МеВ. У процесі захоплення мюона (або мю-мезона) ядром гелію-3
µ- + 3He
3H +
, (3.1.2.11)
виявленому в Об'єднаному інституті ядерних досліджень у Дубні, "зникає" близько 100 МеВ (енергія нейтрино), а ядра віддачі тритію 3H мають енергію, завжди точно рівну 1,9 МеВ. Якби ці процеси були відомі раніше, ніж бета-розпад, не було б необхідності в генії Паулі для "відкриття" нейтрино.
Нейтрино й антинейтрино відрізняються одне від одного тим, що мають різний напрямок "спіральності", причому нейтрино нагадує гвинт із лівим різьбленням, а антинейтрино - із правим.
3. Енергія зв’язку нуклонів у ядрі. Дефект маси. Ядерні сили і їх природа. Мезони
Внутрішню енергію ядра можна розрахувати за формулою
(3.1.3.1)
де
- сумарна енергія спокою всіх нуклонів у ядрі;
- маса довільного нуклона; с2 – квадрат швидкості світла;
- сумарна кінетична енергія внутрішнього ядерного руху нуклонів; Еn – потенціальна енергія взаємодії нуклонів.
Внутрішню енергію ядра також можна розрахувати за формулою:
(3.1.3.2)
де
- маса спокою ядра; с – швидкість світла.
Праві сторони рівностей (3.1.13) і (3.1.14) прирівняємо

звідки
(3.1.3.3)
В лівій стороні рівності (3.1.3.3) сумарну кінетичну енергію внутрішньоядерного руху нуклонів у ядрі в сумі з потенціальною енергією їх взаємодії називають повною енергією зв’язку, взятою із протилежним знаком. Тому
(3.1.3.4)
Повна енергія зв’язку ядра визначається роботою, яку треба виконати, щоб розділити ядро на окремі нуклони без надання їм кінетичної енергії.
Якщо масу нуклонів у ядрі і масу ядра виразити в а.о.м., то повна енергія зв’язку ядра буде виражатись в МеВ згідно з рівністю
(3.1.3.5)
де
- сумарна маса спокою всіх нуклонів;
- маса ядра спокою; 913.48 МеВ – величина, еквівалентна енергії а.о.м.
З урахуванням числа протонів Z у ядрі і числа нейтронів A-Z вираз (3.1.3.5) перепишеться
(3.1.3.6)
де mp – маса протона; mn – маса нейтрона; Me – маса ядра.
Втрачаючи енергію на зв’язок нуклонів у ядрі, втрачається також маса. Ядро в зібраному стані завжди має масу меншу за сумарну масу нуклонів, з яких це ядро складається. Тому різницю мас в цьому випадку прийнято називати дефектом маси.
Дефект маси довільного ядра знаходиться за формулою
. (3.1.3.7)
Надзвичайно великі значення енергії зв’язку атомних ядер свідчать про існування надзвичайно великих ядерних сил взаємодії між нуклонами.
Важливим є той факт, що енергія зв’язку, розрахована на один нуклон у будь-якому ядрі, приблизно однакова і складає біля Е08 МеВ.
, (3.1.3.8)
де А – число нуклонів у ядрі.
Залежність енергії зв’язку, розрахованої на один нуклон, в залежності від масового числа атома А стабільних ізотопів відображена на графіку (рис.3.5)

Рис. 3.5
Зменшення енергії зв’язку на один нуклон (питома енергія зв’язку) в ядрах атомів, які розташовані в кінці періодичної системи, вказує на те, що при поділі важкого ядра на два легших ядра виділятиметься енергія і такий процес може бути самочинним. Це дає змогу використати такі елементи для промислового виділення ядерної енергії, наприклад у ядерних реакторах.
Аналогічно можна звільняти достатньо велику енергію при синтезі з легких ядер більш важких. Цю енергію прийнято називати термоядерною.
Те, що при поділі важких ядер і синтезі з легких ядер більш важких звільняється значна енергія, вказує на значне притягання нуклонів у ядрі, тобто на існування ядерних сил.
Розрахунки показують, що ядерні сили майже у 137 разів перевищують сили кулонівського виштовхування і взаємодії магнітних моментів нуклонів. Це новий тип взаємодій, який істотно відмінний від інших видів взаємодії, серед яких можна назвати гравітаційні та електромагнітні.
Розглянемо основні характерні властивості ядерних сил. Ядерні взаємодії між двома протонами (р-р), двома нейтронами (n-n), протоном і нейтроном (p-n) однакові. Це говорить про те, що ядерні сили не залежать від електричного заряду. Протони й нейтрони мають однаковий ядерний заряд і відносяться до одного типу ядерних частинок – нуклонів. Властивість зарядової незалежності ядерних сил пояснює стійкість ядра дейтерію, яке складається лише з протона і нейтрона.
Ядерні сили мають властивість насичення. Кожний із нуклонів ядра вступає в ядерну взаємодію лише з обмеженим числом інших нуклонів. Такий висновок можна зробити з величини питомої енергії зв’язку нуклонів у ядрі, яка майже не залежить від числа нуклонів. Повна енергія зв’язку нуклонів у ядрі в цьому випадку пропорційна масовому числу А, а не А2, у випадку відсутності насичення ядерних сил.
Ядерні сили належать до короткодіючих. Радіус їх дії не перевищує 2.0.10-15м. Дослідження взаємодій - частинок з ядрами легких елементів показали, що від відстані 2.0.10-15м. діють ядерні сили притягання, а на відстанях менших за 0.7.10-15м сили притягання між нуклонами змінюються на досить сильне відштовхування, інакше густина ядерної речовини не була б однаковою для будь-яких ядер.
Ядерні сили не є центральними, оскільки залежать не лише від відстані між нуклонами, а й від взаємної орієнтації їх спінів.
Ядерні взаємодії дістали назву сильних взаємодій. Для сильних взаємодій питома енергія зв’язку нуклонів у ядрі складає від 7 до 8.7 МеВ.
Відомо, що будь-який вид взаємодій зводиться до обміну квантами. Так, квантами електромагнітних взаємодій є фотони; гравітаційних взаємодій – гравітони. У ядерних взаємодіях теж повинні існувати кванти ядерного поля.
У 1935 році японський фізик Юкава висунув сміливу гіпотезу про те, що в природі існують частинки з масою в 200300 разів більшою від маси електрона і що саме через них здійснюється взаємодія нуклонів. Носіями ядерних сил виявились – мезони, відкриті в космічному випромінюванні у 1947 році. Було встановлено, що існують позитивні + - мезони й негативні - - мезони, маса яких 273 me, та нейтральні 0- мезони, з масою 264 mе. Згідно з мезонною теорією нуклони в ядрі постійно обмінюються відповідними мезонами. Цей процес відбувається через кожні 4.10-24с. Мезони при цьому рухаються з швидкістю, близькою до швидкості світла.
Якщо два протони, або два нейтрони, або протон і нейтрон обмінюються нейтральними 0 – мезонами, то в цьому випадку на час обміну перетворення нуклонів не відбувається. Нейтрон з протоном також обмінюються --мезоном. Втративши один --мезон нейтрон на короткий час перетворюється в протон. В цей же час протон, поглинувши один - - мезон, стає нейтроном. Протон з нейтроном можуть обмінюватись + - мезоном. При цьому протон, втративши один + - мезон, перетворюється в нейтрон, а нейтрон, поглинувши + - мезон, перетворюється в протон.
Безпосередніх змін у масі протона або нейтрона внаслідок випромінювання або поглинання мезона не виявлено. Це дало можливість припустити, що вільними мезони в ядрі перебувають так мало часу, що виявити їх неможливо. Частинки такого типу у фізиці були названі віртуальними.
4. Феноменологічні моделі будови атомного ядра
Для побудови теорії ядра слід точно знати властивості ядерних сил. Але в науці ще не має достатньо ясного уявлення про природу цих сил. Тому фізикам при моделюванні ядерних процесів приходиться робити деякі спрощення. Та чи інша модель має право на існування, якщо зіставлення теоретичних розрахунків підтверджується відповідними експериментальними дослідженнями. Сьогодні мають право на існування кілька моделей ядра. Жодна з них не є універсальною. Всі моделі, якими користуються при поясненні тих чи інших процесів в ядрах атома, є наближені.
Здатність до насичення ядерних сил та дуже мала стисливість ядерної речовини стали основою для введення ще в 30-х роках Вейцзекером краплинної моделі ядра атома. За цією моделлю ядро схоже на краплю рідини сферичної форми, яка наповнена нуклонами. Відомо, що між молекулами краплі будь-якої рідини проявляються короткодіючі міжмолекулярні сили. Кожна молекула рідини взаємодіє лише з обмеженим числом інших молекул. Молекули в краплі рідини рухаються хаотично, часто взаємодіють одна з одною. На поверхні краплі молекули втягуються в середину, а це призводить до виникнення поверхневого натягу. Густина рідини краплі не залежить від її розмірів. Такі ж властивості спостерігаються у ядрах атомів. Нуклони, згідно з крапельною моделлю, інтенсивно і хаотично рухаються. Будь-яка взаємодія нуклонів у ядрі супроводжується обміном енергією і імпульсом. Ядерна крапля не розтікається, оскільки існує поверхневий натяг тощо.
Введення краплинної моделі будови ядра дозволило визначити радіуси ядер; показати, що густина ядерної речовини не залежить від масового числа. Вдалим застосуванням цієї моделі є пояснення на її основі процесу поділу атомних ядер Бором і Уілером. Процес поділу атомних ядер розглядався як розрив електрично зарядженої краплини на дві окремі краплини меншого розміру.
Проте, незважаючи на ці аналогії, слід пам’ятати, що ядерні і молекулярні явища є принципово різними. Так, сили молекулярної взаємодії в рідинах мають електромагнітну природу, тоді як ядерні сили мають зовсім іншу природу. Ядерна “рідина” є сумішшю двох “рідин”: протонної і нейтронної. Не слід також забувати, що рух нуклонів у ядрах є квантовим.
Головним недоліком крапельної моделі ядра є повна відсутність схожості речовини ядра і рідини. Навіть у найменшій краплі рідини містяться мільярди молекул, в той час як у ядрі атома може бути не більше 300 нуклонів. Не пояснює крапельна модель ядра дискретний характер -випромінювання. Не ясно також, чому серед багатьох хімічних елементів таблиці Менделєєва є особливо стійкі ядра? Виникло і ряд інших запитань, на які ця модель не давала відповіді.
У 1949 – 1950 р.р. Гепперд - Маєр і Йенсон запропонували більш реалістичну оболонкову модель будови атомного ядра. Згідно з цією моделлю в ядрах атомів є досить багато вільного місця. Тому нуклони в ядрах перебувають не в хаотичному русі, а рухаються на певних нуклонних оболонках, подібно до електронних енергетичних рівнів в атомах. Однак, на відміну від атома, в якому є виділений силовий центр – ядро і в якому діють електромагнітні сили з наближеним радіусом дії, для нуклонів такого центра в ядрі немає. Вважається, що нуклони на нуклонних оболонках рухаються в самоузгодженому полі інших нуклонів. Потенціальна енергія кожного нуклона має форму потенціальної ями. В цій моделі ядра були одержані магічні числа, було пояснено спіни і парність основних і деяких збуджених станів атомних ядер. У магічних ядер спостерігається особлива стійкість. Ця стійкість періодично повторюється при магічних числах протонів 2, 8, 20, 50 і 82 і магічних числах нейтронів 2, 8, 20, 50, 82 і 126. Якщо порівняти хімічні властивості елементів з властивостями магічних ядер, то можна відмітити:
- хімічні властивості елементів періодично повторюються при збільшенні порядкового номера Z, а магічні властивості ядер – при збільшенні масового числа А.
Така своєрідна періодичність повторення властивостей ядер стала основою для створення оболонкової моделі ядер. Згідно з цією моделлю нуклони в ядрах групуються на оболонках, кожна із яких за принципом Паулі може містити обмежене число нуклонів. Магічні властивості у ядер спостерігаються тоді, коли зовнішня нуклонна оболонка стане повністю заповненою. Перша нуклонна оболонка повністю заповнена у гелію
і складається з двох протонів і двох нейтронів. Друга нуклонна оболонка заповнена у кисню
. Наступні магічні ядра мають ізотопи
,
,
.
В цій моделі ядра було пояснено спіни і парність основних і деяких збуджених станів атомних ядер.
Крапельна й оболонкова моделі не лише суперечать одна одній, а й доповнюють одна одну. Кожна із цих моделей описує властивості ядер, які зовсім не пояснюються іншою моделлю.
Всі переваги крапельної і оболонкової моделі будови атомних ядер були об’єднані у так звану узагальнену модель. Ця модель була запропонована Рейнуотером, Бором і Моттельсоном у 1950-1953 рр. В цій узагальненій моделі вважається, що в ядрі існує достатньо стійкий остов, який складається із замкнутих оболонок. Зовнішні нуклони розглядаються в цій моделі незалежними, і що вони рухаються в полі остова. На відміну від оболонкової моделі тут допускається деформація остова під дією зовнішніх нуклонів. Узагальнена модель пояснила існування несферичних ядер, їх обертальні і коливальні значення енергій. Узагальнена модель будови ядра атома поділяє ядерні рівні на одночастинні і колективізовані, обумовлені рухом остова, а також дає можливість розрахувати спін кожного такого рівня.