Экстремумы функций
Содержание.1. Введение
2. Историческая справка
3. Экстремумы функций одной переменной.
3.1. Необходимое условие
3.2.1. Достаточное условие. Первый признак
3.2.2. Достаточное условие. Второй признак
3.3. Использование высших производных
4. Экстремумы функций трех переменных.
4.1. Необходимое условие
4.2. Достаточное условие
5. Экстремумы функций многих переменных.
5.1. Необходимое условие
5.2. Достаточное условие
5.3. Метод вычисления критериев Сильвестера
5.4. Замечание об экстремумах на множествах
6. Условный экстремум.
6.1. Постановка вопроса
6.2. Понятие условного экстремума
6.3. Метод множителей Лагранжа для нахождения точек условного экстремума
6.4. Стационарные точки функции Лагранжа
6.5. Достаточное условие
7. Заключение
8. Библиография
Цель данного дипломномного проекта заключается в рассмотрении экстремумов функции одной и многих переменных и подробном описании методов их нахождения.
Задача состоит в формулировании необходимых и достаточных условий существования максимума и минимума функции, выборе метода нахожденя экстремумов и их полном математическом обосновании.
Гипотезой дипломного проекта является рассмотрение и описание экстремумов функции трёх переменных, формулировании необходимого и достаточного условия их существования, а также рассмотрение метода вычисления критериев Сильвестера.
В качестве объекта для исследования и описания использовались функции одной и многих переменных.
1.Введение.Вмире не происходит ничего, в чем бы не был виден
Смысл какого-нибудь максимума или минимума.
Л.Эйлер.
В математике изучение задач на нахождение максимума и минимума началось очень давно. Но только лишь в эпоху формирования математического анализа были созданы первые методы решения и исследования задач на экстремум.
Потребности практической жизни, особенно в области экономики и техники, в последнее время выдвинули такие новые задачи, которые старыми методами решить не удавалось. Надо было идти дальше.
Потребности техники, в частности космической, выдвинули серию задач, которые также не поддавались средствам вариационного исчисления. Необходимость решать их привела к созданию новой теории, получившей название теории оптимального управления. Основной метод в теории оптимально управления был разработан в пятидесятые – шестидесятые годы советскими математиками – Л.С. Понтрягиным и его учениками. Это привело к тому, что теория экстремальных задач получила новый мощный толчок к дальнейшим исследованиям.
Цель дипломного проекта – рассмотрение и описание функций одной и многих переменных, а также в рассмотрении методов, используемых при этом.
Данный дипломный проект рассчитан на абитуриентов высших учебных заведений. На вопрос - можно ли ввести рассмотрение этой темы в старших классах школы – ответ будет дан в последней главе дипломного проекта, после рассмотрения задач и возможных методов их решения.
В дипломном проекте с большей логической стройностью и без повторений приведено изложение темы – функции одной и многих переменных, сообщены сведения из математического анализа, необходимые при изучении физики и ряда инженерных дисциплин.
2.Историческая справка.В жизни постоянно приходится сталкиваться с необходимостью принять наилучшее возможное (иногда говорят - оптимальное) решение. Огромное число подобных проблем возникает в экономике и технике. При этом часто случается так, что полезно прибегнуть к математике.
В математике исследование задач на максимум и минимум началось очень давно – двадцать пять веков назад, Долгое время к задачам на отыскание экстремумов не было сколько – нибудь единых подходов. Но примерно триста лет назад – в эпоху формирования математического анализа – были созданы первые общие методы решения и исследования задач на экстремум.
Накопление методов дифференциального исчисления приняло наиболее явную форму у Ферма. В 1638 году он сообщил в письме Декарту, что решил задачу определения экстремальных значений функции f(x). Ферма составлял уравнение (f(x+h)-f(x))/h=0 и после преобразований в левой части полагал h=0, вопреки мнению позднейших исследователей, которые видели в этой идеи исчисления бесконечно малых. В действительности, Ферма нашел это условие и аналогичное (f(y)-f(x))/(y-x)=0 при y=x ещё алгебраическими путями.
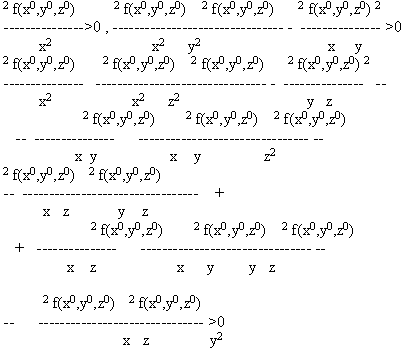
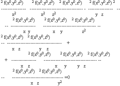
Рассуждения при нахождении экстремума функции f(x) следующие. Пусть для некоторого x функция достигает максимума. Тогда f(x h) К сожалению, Ферма не стремился публиковать свои работы, кроме того, пользовался труднодоступными для усвоения алгебраическими средствами Виета с его громоздкой символикой. Видимо, поэтому он не сделал последнего, уже небольшого, шага на пути к созданию дифференциального исчисления. Накопление фактов дифференциального исчисления происходило быстро. В “Дифференциальном исчислении” (1755) Эйлера это исчисление появляется уже в весьма полном виде. Правила определения экстремумов функции одной переменной y=f(x) были даны Маклореном. Эйлер разработал этот вопрос для функции двух переменных. Лагранж показал (1789), как отличать вид условного экстремума для функции многих переменных. В XVIII веке возникло исчисление вариаций. В трудах Эйлера и Лагранжа оно приобрело вид логически стройной математической теории. Главной задачей, решаемой средствами этого исчисления, являются отыскание экстремумов функционалов. Пусть функция f(x), определенная и непрерывная в промежутке (a,b), не является в нем монотонной. Найдутся такие части ( , ) промежутка (a,b), в которых наибольшее и наименьшее значение достигается функцией во внутренней точке, т.е. между и . Говорят, что функция f(x) имеет в точке максимум (или минимум), если эту точку можно окружить такой окрестностью (x0- ,x0+ ), содержащейся в промежутке, где задана функция, что для всех её точек выполняется неравенство. f(x) < f(x0)(или f(x)>f(x0)) Иными словами, точка x0 доставляет функции f(x) максимум (минимум), если значение f(x0) оказывается наибольшим (наименьшим) из значений, принимаемых функцией в некоторой (хотя бы малой) окрестности этой точки. Отметим, что самое определение максимума (минимума) предполагает, что функция задана по обе стороны от точки x0. Если существует такая окрестность, в пределах которой (при x=x0) выполняется строгое неравенство f(x) то говорят, что функция имеет в точке x0 собственный максимум (минимум), в противном случае – несобственный. Если функция имеет максимумы в точках x0 и x1 , то, применяя к промежутку (x0,x1) вторую теорему Вейерштрасса, видим, что наименьшего своего значения в этом промежутке функция достигает в некоторой точке x2 между x0 и x1 и имеет там минимум. Аналогично, между двумя минимумами непременно найдется максимум. В том простейшем (и на практике – важнейшим) случае, когда функция имеет вообще лишь конечное число максимумов и минимумов, они просто чередуются. Заметим, что для обозначения максимума или минимума существует и объединяющий их термин – экстремум. Понятия максимум (max f(x)) и минимум (min f(x)) являются локальными свойствами функции и имеют место в определенной точке х0. Понятия наибольшего (sup f(x)) и наименьшего (inf f(x)) значений относятся к конечному отрезку (a,b) и являются глобальными свойствами функции на отрезке. Из рисунка 1 видно, что в точках х1 и х3 локальные максимумы, а в точках х2 и х4 – локальные минимумы. Однако, наименьшего значения функция достигает в точке х=а, а наибольшего – в точке х=b. Поставим задачу о разыскании всех значений аргумента, доставляющих функции экстремум. При решении ее основную роль будет играть производная. Предположим сначала, что для фунции f(x) в промежутке(a,b) существует конечная производная. Если в точке х0 функция имеет экстремум, то, применяя к промежутку (х0- ,х0+ ), о которой была речь выше, теорему Ферма, заключаем, что f (x)=0 этом состоит необходимое условие экстремума. Экстремум следует искать только в тех точках, где производная равна нулю. Не следует, думать, однако, что каждая точка, в которой производная равна нулю, доставляет функции экстремум : указанное только что необходимое условие неявляется достаточным. 3.2.1.Достаточное услоие.Первый признак. Дополним, что точки, где производная равна нулю, называются стационарными ; а точки, где производная не существует называются критическими. Итак, если точка х0 есть стационарная точка для функции f(x) или если в этой точке не существует для неё двусторонней конечной производной, то точка х0 представляется, так сказать лишь “подозрительной” по экстремуму и подлежит дальнейшему испытанию. Это испытание состоит а проверке достаточных условий для существования экстремума, которые мы сейчас утановим. Предположим, что в некоторой окрестности (х- ,х+ ) точки х0 (по крайней мере, для х=х0) существует конечная производная и как слева от х0 , так и справа от х0 (в отдельности) сохраняет определенный знак. Тогда возможны следующие три случая: I f’(x)>0 при х<х0 и f’(x)<0 при х>х0, т. е. производная f’(x) при переходе через точку х0 меняет знак плюс на минус. В этом случае, в промежутке (х0- ,х0) функция f(x) возрастает, a в промежутке (х0,х0+ ) убывает, так что значение f(x) будет наибольшим в промежутке (х0- ,х0+ ) , т. е. в точке х0 функция имеет собственный максимум. II f’(x)<0 при х<х0 и f’(x)>0 при х>х0 , т. е. производная f’(x) при переходе через точку х0 меняет знак минус на плюс. В этом случае аналогично убеждаемся, что в точке х0 функция имеет собственный минимум. III f’(x)>0 как при х<х0 так и при х>х0 либо же f’(x) и слева и справа от х0 , т. е. при переходе через х0 , не меняет знака. Тогда функция либо всё время возрастает, либо всё время убывает; в любой юлизости от х0 с одной стороны найдутся точки х, в которых f(x) Итак, мы получаем правило для испытания “подозрительного” значения х0 : подставляя в производную f’(x) сначала х<х0 , а затем х>х0, устанавливаем знак производной вблизи от точки х0 слева и справа от неё; если при этом производная f’(x) меняет знак плюс на минус , то налицо максимум, если меняет знак с минуса на плюс, то – минимум ; если же знака не меняет, то экстремума вовсе нет. Это правило полностью решает вопрос в том случае, когда в промежутке (а,b), как это обычно бывает, всего лишь конечное число стационарных точек или точек, где отсутствует конечная производная: a<х1<х2<… <хk<хk+1<… <хn именно ,тогда прежде всего, в любом промежутке (а,х1), (х1,х2), … ,(хk,хk+1), … ,(хn,b) существует конечная производная f’(x) и, кроме того, в каждом таком промежутке f’(x) сохраняет постоянный знак.Действинельно, если бы f’(x) меняла знак, например, в промежутке (хk,хk+1) , то по теореме Дарбу, она обращалась бы в нуль в некоторой точке между хk и хk+1, что невозможно, поскольку все корни производной уже содержатся в ряду точек (3.1). Последнее замечание бывает полезно в некоторах случаях на практике: знак производной f’(x) во всем промежутке (хk,хk+1) определяется , если вычислить значение (или даже только установить знак) её в одной какой-либо точке этого промежутка. 3.2.2.Достаточное условие. Второй признак. Нередко более удобным на практике оказывается другой признак существования экстремума, основанный на выяснении знака второй производной в стационарной точке. Справедлива следующая теорема. Теорема 3.1:Если х0 есть стационарная точка функции f(x) и f’’(x)<0, то в точке х0 функция иммет максимум,а если f’’(x)>0 , то функция имеет в точке х0 минимум. Доказательство: По определению второй производной По условию теоремы f’(x)=0. Поэтому Допустим , что f’’(x)<0. Тогда по теореме о пределах функции найдётся такой интервал (x0-,x0+), в котором переменная величина f’(x)/(x-x0) сохраняет знак своего предела, т. е. выполняется неравенство Отсюда следует,что f’(x)>0 , если х-х0<0, или х>х0, и f’(x)<0, если х-х0>0, или х>х0. На оснавании первого достаточного признака существования экстремума заключаем, что в точке х0 функция f(x) имеет максимум. Аналогично показывается, что условие f’’(x)>0 обеспечивает минимум функции f(x). ч.т.д. Таким образом получаем правило нахождения экстремумов (для дважды дифференцируемых функций): 1.Вычисляем первую производную f’(x) и из уравнения f’(x)=0 находим стационарные точки функции f(x). 2.Вычсляем вторую производную, и каждую стационарную точку х0 подвергаем испытанию: Замечание 1 : если f’’(x)=0 ,то это правило теряет силу и нужно воспользоваться первым признаком нахождения экстремумов. При этом экстремум может существовать , а может и не существовать. Однако в случае своей применимости второй признак окаывается весьма удобным : вместо рассмотрения знака функции f’(x) в точках, отличных от предполагаемой точки экстремума, он позволяет дать ответ по знаку функции f’’(x) в той же точке. В случае, когда f’’(x)=0 (f’(x)=0) экстремум может быть, а может и не быть. Рассмотрим общий случай. Теорема 3.2:Пусть функция f:U(x0) R, определенная в окрестности U(x0) точки х0, имеем в х0 производные до порядка n включительно (n>1). Если f’(x0)=…=f (n-1)(x0)=0 и f(n)(x0)=0 , то при n нечетном в х0 экстремума нет, а при n четном экстремум есть, причем это строгий локальный минимум, если f(n)(x0)>0 , и строгий локальный максимум, если f (n)(x0). Доказательство:Используя локальную фурмулу Тейлора f(x)-f(x0)=f(n)(x0)(x-x0)n+ (x)(x-x0)n (3.2) где (x) 0 при x x0,будем рассуждать так же, как при доказательстве леммы Ферма. Перепишем (2) в виде f(x)-f(x0)=(f(n)(x0)+ (x))(x-x0)n (3.3) Поскольку f(n)(x0)=0,а (x) 0 при x x0, сумма имеет знак fn(x0),когда х достаточно близок к х0. Если n нечетно, то при переходе через х0 скобка (х-х0)n меняет знак и тогда изменяется знак всей правой , а следовательно, и левой части равенства (3.3). Значит, при n=2k+1 экстремума нет. Если n четно, то (x-x0)n>0 при x=x0 и,следовательно, а малой окрестности точки х0 знак разности f(x)-f(x0), как видно из равенства (3.3), совпадает со знаком f(n)(x0) : Пусть функция v=f(x,y,z) определена в области D и (x0,y0,z0) будет внутренней точкой этой области. Говорят, что функция v=f(x,y,z) в точке (x0,y0,z0) имеет максимум (минимум), если её можно окружить такой окрестностью (x0- ,x0+ , y0- ,y0+ ,z0- ,z0+ ) что бы для всех точек этой окрестности выполнялось неравенство f(x,y,z) (>) Если эту окрестность взять настлько малой, что бы знак равенства был исключён, т. е. чтобы в каждой её точке, кроме самой точки (x0,y0,z0) выполнялось строгое неравенство f(x,y,z) (>) то говорят, что в точке (x0,y0,z0) имеет место собственный максимум (минимум), в противном случае максимум (минимум) называют несобственным. Для обозначения максимума и минимума (как и в случае одной переменной) употребляется общий термин – экстремум. Предположим, что наша функция в некоторой точке (x0,y0,z0) имеет экстремум, Покажем, что если в этой точке существуют (конечные) частные производные fx’(x0,y0,z0), fy’(x0,y0,z0) ,fz’(x0,y0,z0) то все эти частные производные равны нулю, так что обращение в нуль частных производныхпервого порядка является необходимым условием существования экстремума. С этой целью положим y= y0,z= z0 сохраняя х переменным ; тогда у нас получится функция от одной переменной х : v=f(x, y0,z0) Так как мы предположили, что в точке (x0,y0,z0) существует экстремум (для определенности - пуcть это будет максимум), то, в частности, отсюда следует, что в некоторой окрестности (x0- ,x0+ ) точки x=x0, необходимо должно выполняться неравенство f(x, y0,z0) так что упомянутая выше функция одной переменной в точке будет иметь максимум, а отсюда по теореме Ферма следует, что fx’(x0,y0,z0)=0 Таким образом можно показать, что в точке и остальные частные производные равны нулю. Итак, “подозрительными” на экстремум являются те точки, в которых частные производные первого порядка все обращаются в нуль: их координаты можно найти, решив систему уравнений fx’(x,y,z)=0 fy’(x,y,z)=0 (4.2) fz’(x,y,z)=0 Как и в случае функции одной переменной, подобные точки называются стационарными. Как и в случае функции одной переменной, в стационарной точке вовсе не обеспечено наличие экстремума.Таким образом, встает вопрос об достаточных для существования (или отсутствия) экстремума в стационарной точке, то есть о том исследоовании, которому эта точка должна быть дополнительно подвергнута. Предположим, что функция v=f(x,y,z) определена, непрерывна и имеет непрерывные частные производные первого и второго порядков в окрестности некоторой точки (x0,y0,z0), которая является стационарной, т.е. удовлетворяет условиям fx’(x0,y0,z0)=0,fy’(x0,y0,z0)=0 ,fz’(x0,y0,z0)=0 Чтобы установить, действительно ли наша функция имеет в точке (x0,y0,z0) экстремум или нет, естественно обратимся к рассмотрению разности = f(x,y,z)- f(x0,y0,z0) Разложим ее по формуле Тейлора, = { fx ’’ x12+fx ’’ x22+…+fx ’’ xn2+2fx1x2 ’’ x1 x2+ +2fx1x3 ’’ x1 x3+…+2fxn-1xn ’’ xn-1 xn}= fxixj ’’ xi xj где x= xi-xi0 ; производные все вычеслены в некоторой точке (x10+0 x1, x20+0 x2,…, xn0+0 xn) (0<0<1) Введём и здесь значения fxixj ’’ (x10,x20,…,xn0)=aik (i,k=1,2,…,n) (4.2) так что fxixj ’’ (x10+0 x1, x20+0 x2,…, xn0+0 xn)= aik+ ik и ik 0 при x1 0,…, xn 0 (4.3) Теперь интеесующее нас выражение можно написать в виде: = { aik xi xk+ ik xi xk} (4.4) На первом месте в скобках здесь стоит второй дифференциал функции f в рассматриваемой точке : он представляет собой однородный одночлен второй степени или, как говорят, квадратичную форму от переменных x1,…, xn. От свойств этой квадратичной формы, как мы увидим, и зависит решение интересующего нас вопроса. В высшей алгебре квадратичную форму aik yi yk (aik = aki) (4.5) от переменных y1,…,yn называют определенной положительно (отрицательно), если она имеет положительные (отрицательные) значения при всех значениях аргументов, не равных одновременно нулю. Необходимое и достаточное условие для того, чтобы форма (4.5) была определенной и положительной принадлежит Сильвестеру (J.J.Sylvester). Оно выражается цепью неравенств: a11 a12 a11 a12 a13 a11>0, a21 a22 , a21 a22 a23 >0, a31 a32 a33 Так как определенная отрицательная форма с изменением знака всех её членов переходит в определенню положительную, и обратно, то отсюда легко найти и характеристику отицательной формы : она дается цепью неравенств, которая получается из написанной выше изменением смысла неравенств через одно (начиная с первого). a11 a12 a11 a12 a13 a11>0, a21 a22 a21 a22 a23 >0 a31 a32 a33 Следовательно, чтобы исследовать точку М(x0,y0,z0) на экстремум , надо исследовать квадратичную форму ( 4.5). Сформулируем полученный результат в виде теоремы. Теорема : Пусть в некоторой области, содержащей точку М(x0,y0,z0), функция f(x,y,z) имеет непрерывные частные производные до второго порядка включительно; пусть кроме того, точка М(x0,y0,z0) является критической точкой функции f(x,y,z), т.е. Тогда при x=x0,y=y0,z=z0 : то экстремум может быть , а может и не быть (в этом случае требуется дальнейшее исследование ) Пусть функция u=f(x1,x2,…,xn) определена в области D и (x10,x20,…,xn0) будет внутренней точкой этой области. Говорят, что функция u=f(x1,x2,…,xn) в точке (x10,x20,…,xn0) имеет максимум (минимум), если её можно окружить такой окрестностью (x10 x10 x20 x20 xn0 xn0 ) что бы для всех точек этой окрестности выполнялось неравенство f(x1,x2,…,xn) (>) Если эту окрестность взять настлько малой, что бы знак равенства был исключён, т. е. чтобы в каждой её точке, кроме самой точки (x10,x20,…,xn0) выполнялось строгое неравенство f(x1,x2,…,xn) (>) то говорят, что в точке (x10,x20,…,xn0) имеет место собственный максимум (минимум), в противном случае максимум (минимум) называют несобственным. Для обозначения максимума и минимума (как и в случае одной переменной) употребляется общий термин – экстремум. Предположим, что наша функция в некоторой точке (x10,x20,…,xn0) имеет экстремум, Покажем, что если в этой точке существуют (конечные) частные производные fx1’(x10,x20,…,xn0) ,…, f ’xn(x10,x20,…,xn0) то все эти частные производные равны нулю, так что обращение в нуль частных производныхпервого порядка является необходимым условием существования экстремума. С этой целью положим x2=x20,…,xn= xn0 сохраняя x1 переменным ; тогда у нас получится функция от одной переменной x1 : u=f(x1, x20,…,xn0) Так как мы предположили, что в точке (x10,x20,…,xn0) существует экстремум (для определенности - пуcть это будет максимум), то, в частности, отсюда следует, что в некоторой окрестности(x10- , x10+ ) точки x1= x10, необходимо должно выполняться неравенство f(x1, x20,…,xn0)< f(x10,x20,…,xn0) так что упомянутая выше функция одной переменной в точке x1= =x10 будет иметь максимум, а отсюда по теореме Ферма следует, что fx1’(x10,x20,…,xn0)=0 Таким образом можно показать, что в точке (x10,x20,…,xn0) и остальные частные производные равны нулю. Итак, “подозрительными” на экстремум являются те точки, в которых частные производные первого порядка все обращаются в нуль: их координаты можно найти, решив систему уравнений fx1’(x10,x20,…,xn0)=0 ……………………. (5.1) f ’xn(x10,x20,…,xn0)=0 Как и в случае функции одной переменной, подобные точки называются стационарными. Замечения :Необходимое условие существования экстремума в случае дифференцируемой функции кратко можно записать так : d f(x1,x2,…,xn)=0 так как, если fx1’= fx2’=…= f ’xn , то каковы бы ни были dx1,dx2,…,dxn всегда f(x1,x2 d,…,xn)= fx1’ dx1+ fx2’ dx2+…+ f ’xn dxn=0 И обратно : если в данной точке тождественно выполняется это условие, то ввиду произвольности dx1,dx2,…,dxn производные fx1’, fx2’,…, f ’xn порознь равны нулю. Обычно, рассматриваемая функция f(x1,x2,…,xn) имеет (конечные) частные производные во всей области, и тогда точки, доставляющие функции экстреммы, следует искать лишь среди стационарных точек. Однако встречаются случаи, когда в отдельных точках некоторые частные производные имеют бесконечные значения или вовсе не существуют (в то время как остальные равны нулю). Подобные точки, собственно, тоже следует причислить к “подозрительным” по экстремуму, наряду со стационарными. Иногда дается и не прибегая к достаточным условиям выяснить характер стационарной точки функции. Так, если из условия задачи непременно следует, что рассматриваемая функция имеет где-то максимум или минимум и при этом системе уравнений (5.1) удовлетворяет только одна точка, то ясно, что эта точка и будет искомой точкой экстремума функции. Заметим, наконец, что точками экстремума непрерывной функции могут быть точки, в которых функция недифференцируема (им соответствуюя, например, острия поверхности – графика функции). Так же как и для функции одной переменной, необходимый признак экстремума в случае многих переменных не является достаточным. Это значит, что из равенства нулю частных производных в данной точке вовсе не следует, что этаточка обязательно является точкой эксремума. Достаточные условия экстремума для функций нескольких переменных носит значительно более сложный характер, чем для функции одной переменной. Пусть функция f(x1,x2,…,xn) определена, непрерывна и имеет непрерывные производные первого и второго порядковокрестности некоторой стационарной точки (x10,x20,…,xn0).Разлагая разность = f(x1,x2,…,xn)-f(x10,x20,…,xn0) по формyле Тейлора, получим = { fx ’’ x12+fx ’’ x22+…+fx ’’ xn2+2fx1x2 ’’ x1 x2+ +2fx1x3 ’’ x1 x3+…+2fxn-1xn ’’ xn-1 xn}= fxixj ’’ xi xj где x= xi-xi0 ; производные все вычеслены в некоторой точке (x10+0 x1, x20+0 x2,…, xn0+0 xn) (0<0<1) Введём и здесь значения fxixj ’’ (x10,x20,…,xn0)=aik (i,k=1,2,…,n) (5.2) так что fxixj ’’ (x10+0 x1, x20+0 x2,…, xn0+0 xn)= aik+ ik и ik 0 при x1 0,…, xn 0 (5.3) Теперь интеесующее нас выражение можно написать в виде: = { aik xi xk+ ik xi xk} (5.4) На первом месте в скобках здесь стоит второй дифференциал функции f в рассматриваемой точке : он представляет собой однородный одночлен второй степени или, как говорят, квадратичную форму от переменных x1,…, xn. От свойств этой квадратичной формы, как мы увидим, и зависит решение интересующего нас вопроса. В высшей алгебре квадратичную форму aik yi yk (aik = aki) (5.5) от переменных y1,…,yn называют определенной положительно (отрицательно), если она имеет положительные (отрицательные) значения при всех значениях аргументов, не равных одновременно нулю. Необходимое и достаточное условие для того, чтобы форма (5.5) была определенной и положительной принадлежит ,как было уже сказано выше , Сильвестеру (J.J.Sylvester). Оно выражается цепью неравенств: a11 a12 a11 a12 a13 a11 a12… a1n a11>0, a21 a22 , a21 a22 a23 >0,…, a21 a22… a2n a31 a32 a33 ………………… an1 an2… ann Так как определенная отрицательная форма с изменением знака всех её членов переходит в определенню положительную, и обратно, то отсюда легко найти и характеристику отицательной формы : она дается цепью неравенств, которая получается из написанной выше изменением смысла неравенств через одно (начиная с первого). Пользуясь этими понятиями. Сформулируем достаточные для существования экстремума условия : Если второй дифференциал,т. е. квадратичная форма aik xi xk (5.6) со значениями (5.2) коэффициентов – оказывается определенной положительной (отрицательной) формой, то в используемой точке (x10,x20,…, xn0) будет собственный минимум (максимум). Для доказательства введем расстояние = x12+…+ xn2 между точками (x10,x20,…,xn0) и (x1,x2,…,xn). Вынося в (5.5) за скобку и полагая xi (i=1,2,…,n) перепишем выражение для в виде = { aik Ei Ek+ ik Ei Ek} (5.7) Числа Ei зараз не обращаются в нуль, поэтому, если форма (5.7) – положительная, первая сумма в скобках в формуле (5.7) иммет всегда положительный знак. Больше того, так как Ei=1 (5.8) то найдется такое постоянное положительное число m, что при всех возможных значениях Ei будет aik Ei Ek>m Действительно, эта сумма представляет собой непрерывную функцию от аргументов Ei во всем пространстве,в частности же и в множестве М тех точек(E1,…, En), которые удовлетворяют соотношению (5.8) (“сферическая поверхность”). Но множество это, как нетрудно видеть, замкнуто, т. е. содержит все свои точки сгущения ; а тогда, по теореме Вейерштрасса, названная сумма будет иметь в М наименьшее значение , необходимо положительное (как и все ее значения в М). С другой стороны, ввиду (5.3) вторая сумма в (5.7) для достаточно малых ,очевидно, будет по абсолютной величине уже меньше m, так что вся скобка окажется положительной. Итак, в достаточно малой сфере, с центром в точке (x10,x20,…,xn0) разность будет положительна, откуда и явствует, что в названной точке функция f(x1,x2,…,xn) имеет собственный минимум. Аналогично исчерпывается и случай, когда форма (5.6) будет определенной, но отрицательной. Для того, чтобы квадратичная форма (5.6) была отрицательно определенной, необходимо и достаточно, чтобы a11 a12 a11 a12 a13 a11 a12… a1n a11<0, a21 a22 , a21 a22 a23 <0,…,(-1)n a21 a22… a2n a31 a32 a33 ………………… an1 an2… ann Применение критерия Сильвестера для определения экстремума функции многих переменных требует вычисления определителей порядка. Рассмотрим один из возможных методов диагонализации матриц и соответственно получения треугольных определителей.Метод основан на последовательном понижении порядка определителя. При этом : 1.На каждом этапе понижения порядка определителя, удобная для применения вычислительной техники. 2.Получаемые в результате диагональные элементыопределителей являются элементами критерия Сильвестера и позволяют, так сказать, в “ходе вычисления” вести контроль знакоопределенности квадратичной формы. В основу алгоритма вычислений положины два свойства определителей. 1.Известно, что a11 a12 a21 a22 Впредь замена любого определителя второго порядка элементом a11 назовем “сверткой” определителя. 2.Определитель порядка не изменится, если элементы какой-либо строки умножить (разделить) на какое-либо число, не равное нулю, и сложить (вычесть) с элементами другой строки. Итак, рассмотрим определитель n-го порядка, составленный из вторых частных производных некоторой функции n– переменных f(x1,x2,…,xn). Положим aik= fxixk ’’ .Имеем a11 a12… a1n ………………… (5.9) an1 an2… ann Умножим в (5.9) элементы первой строки на a21/ a11 и вычтем их из элементов второй строки. Умножим в (5.9) элементы первой строки на a31/ a11и вычтем их из элементов третьей строки. … Умножим в (5.9) элементы первой строки на an1/ a11 и вычтем их из элементов последней строки. Выполнив последовательно эти операции, получим a11 a12 … a1n 0 a22- a12 a21/ a11…a2n -a1n an1/ a11 …………………………………………(5.10) 0 an2- a12 an1/ a11… ann- a1n an1/ a11 Умножим каждую строку в (5.10), начиная со второй на a11,при этом определитель (5.10) умножится на a11n-2 где a11 a22- a12 a21 a11 a23- a13 a21 … a11 a2n- a1n a21 a11 a32- a12 a31 a11 a33- a13 a31 … a11 a13n- a1n a31 …………………………………………...............……… (5.12) a11 an2- a12 an1 a11 an3- a13 an1 … a11 ann- a1n an1 Рассмотрим более внимательно элементы (5.12). Перепишем (5.12) в виде a11 a12 … a1n-1 a21 a22 … a2n-1 …………… ......…… (5.13) an-11 an-12… an-1n-1 Из сравнения (5.12) и(5.13) видно, что a11 – есть свертка определителя a11 a12 a21 a22 a12 – есть свертка определителя a11 a13 a21 a23 ………………………………………………….. a1n-1 – есть свертка определителя a11 a1n a21 a2n Таким образом, первая строка 1n-1 является сверткой элементов первых двух строк определителя n. Более наглядно это можно сфрмклировать так : последовательно каждый “прямоугольник” элементов первой и второй строк заменяется его сверткой ; причем первые элементы двух строк “участвуют” во всех прямоугольниках этих строк. a11 a12 a13… a1n a11 a12 a1n-1 a21 a22 a23… a2n Аналогично вторая строка определителя n-1 является сверткой элементов первой и третьей строк исходного определителя. a11 a12 a13… a1n a21 a22 a2n-1 a31 a32 a33… a3n Наконец для последней строки n-1 имеем a11 a12 a13… a1n an-1 1 an-1 2 an-1n-1 an1 an2 an3… ann Если теперь применить те же опервции к определителю n-1, т. е. к (5.13), получим где a11 a12 … a1 n-2 a21 a22 … a2 n-2 …………………………….. an-2 1 an-2 2… an-2 n-2 а элементы aik являются сверткой соответствующих определителей – прямоугольников. Очевидно, повторяя эту операцию n–1 раз, получим следующую формулу, предварительно введя более простые обозначения : a11 = a1– левый угловой верхний элемент a11 = a2 – левый угловой верхний элемент a11 = a3 – левый угловой верхний элемент ………………………………………… a11 = an – левый угловой верхний элемент. С учетом этого Пример №1. Пример №2. Вычесленные в порядке получения определителий n, n-1, …, 2 их верхние левые угловые элементы a1,a2,…,an являются критерием Сильвестера в части знаков, т.е. sign a11=sign a1 sign a11=sign a2=sign a11 a12 a21 a22 ……… a11… a1n sign a11=sign an=sign ……….. an1… ann По сути метод дает возможность вычисления определителей . Однако нас интересуют лишь знаки определителей.Это существенно упрощает задачу. Рассмотрим функцию f(x1,x2,…,xn). имеющую экстремум,а именно максимум в точке М0(x10,x20,…,xn0).Это значит,что все коэффициенты a1, a2,…, an должны быть положительными. Поэтому процесс определения максимума функции в точке М0 заканчивается на любом этапе понижения определителя ,если после положительных a1, a2,…, ak коэффициент аk+1 стал отрицательным или нулевым. Если же в точке М0 – минимум, то коффициенты a1, a2,…, an образуют знакочередующуюся последоватнльность, а именно a1<0, a2>0, a3<0,… Аналогично процесс прекращается, если нарушается эта знакопеременность. Итак, общая схема выглядит следующим образом : 1.Определяются стационарные точки функции, в которых 2.Определяются коэффициенты аik в этих точках 2f xi xr 3.Выясняем знак первого диагонального элемента а11=а1 а) если а11>0, то все последующие элементы а2,а3,…,аn должны быть положительными,если в точке М0 действительно максимум б)если а11<0, то знаки последующих элементов а2,а3,…,аn должны чередоваться, если в точке М0 действительно минимум. 4.При нарушении какой-либо из закономерностей в п.3 процесс прекращается и формулируется вывод о том,что в точке М0 экстремума нет. Наконец отметим следующее важное обстоятельство. Так как коэффициенты аik являются частными производными второго порядка и для дифференцируемой функции с непрерывными 2f/ xi xr в соответствии с теоремой Шварца эти частные производные не зависят от порядка дифференцирования, то аik= аki. Это важное свойство приводит к тому, что матрица (аik) является симметрической вместе со своим определителем аik Покажем, что учет этого факта сокращант объем вычислений по крайней мере вдвое . Во-первых, покажем, что определитель n-1 также остается симметрическим,т. е. применяется операция понижения порядка инварианта и сохраняет это свойство при переходе от n-1 к n и т.д. Диагональные элементы любого определителя, очевидно, равны сами себе. Рассмотрим произвольный элемент аik в определителе n-1, i=k, i,k=1,2,…,n-1. аik= аik – а1 k а1i / а11 (*) Если переставить индексы i,k ,то aki= аki – а1 i а1k / а11 (**) Сравнивая (*) и (**) видим, что из того, что аik= аki следует, что аik= аki. Этим доказано, что из того, что n- симметрический определитель, определитель n-1 также симметрический.Что это дает для вычисления n-1 ? Пусть вычислена первая строка коэффициентов а1k (k=1,2,…,n-1) определителя n-1 , т.е. а11, а12, а13,…, а1n-1 Теперь вычислим первый столбец , он имеет вид а11 а21 а31 ….. аn-1 1 Но ввиду симметричности коэффициентов, этот столбец совпадает со строкой. Другими словами, сосчитав элементы первой строки, первый столбец уже считать нет необходимости, его нужно просто записать. Для наглядности запишем a11 a12 … a1 n-1 a21 a22… a2 n-1 …………………. an1 an2… an-1 n-1 Вычислим теперь элементы второй строки, начиная с а22 ,т.е. а22, а23, а24,…, а2 n-1.Эта строка полностью совпадает со вторым столбцом, начиная с а22,т.е. а22 а31 ….. аn-1 2 Итак, второй столбец автоматически заполняется элементами второй строки.Т.е. иммем a11 a12 а13 … a1 n-1 a21 a22 а23 … a2 n-1 n-1= a31 a32 а33 … a3 n-1 ………………………….. an-1 1 an-1 2 an-1 3 … an-1 n-1 И т.д. Общий вывод : необходимо расчитать лишь правую треугольную часть элементов. Нижняя же левая часть определителя заполняется автоматически. Формально ее можно вообще не заполнять, т.е. оставлять в виде a11 a12 а13 … a1 n-1 a22 а23 … a2 n-1 n-1= а33 … a3 n-1 (5.16) ………….. an-1 n-1 Отсюда для получения следующегоопределителя можно применить правило, условно назовем, треугольника. a11= a11 a22- a122 a22= a11 a33- a132 и т.д. Для недиагоналных элементов схема несколько сложнее a12= a11 a23- a13 a12 a11 a12 а13 а23 и т.д. Пример №3. Исследовать на экстремум функцию z=x3+y3-3xy 1.Находим 2.Находим стационарные точки, решая систему 3x2-3y=0 3y2-3x=0 Получили две стационарные точкм (0;0) и (1;1). 3.Находим 4.Для точки (0;0) имеем a11=0 a22=0 a12= a21= -3 Для точки (1;1) иммем b11=6 b22=6 a12= a21= -3 5.Находим a11 a12 0 -3 a21 a22 -3 0 b11 b12 6 -3 b21 b22 -3 6 Так как <0 , то в точке (0;0) экстремума нет. Так как >0 и a11>0, то (1;1) – точка минимма функции, причем zmin = -1. Пример №4. Исследовать на экстремум функцию w=x2/3+y2/3+z2/3 Ищем критичес


(x0- 



(5.11)
(5.14)
(5.15) n>2


