Углеводы
Творческая работа по химии.
Выполнила: учащаяся группы ОТ-07-2
Семенищева Полина
Департамент образования г. Астана. Политехнический колледж
Астана 2008
Введение.
Ежедневно сталкиваясь с множеством бытовых предметов, продуктов питания, природных объектов, продуктов промышленного производства, мы не задумываемся о том, что все вокруг есть и индивидуальные химические вещества или совокупность этих веществ. Любое вещество обладает собственной структурой и свойствами. Человек с момента своего появления на Земле употреблял растительную пищу, содержащую крахмал, фрукты и овощи, содержащие глюкозу, сахарозу и другие углеводы, использовал для своих нужд древесину и другие растительные объекты, состоящие главным образом из другого природного полисахарида — целлюлозы. И только в начале XIX в. стало возможным изучение химического состава природных высокомолекулярных веществ, строения их молекул. В этой области были сделаны важнейшие открытия.
В бескрайнем мире органических веществ есть соединения, о которых можно сказать, что они состоят из углерода и воды. Они так и называются – углеводы. Впервые термин “углеводы” предложил русский химик из Дерпта (ныне Тарту) К. Шмидт в 1844 году. В 1811 году русский химик Константин Готлиб Сигизмунд (1764-1833) впервые получил глюкозу гидролизом крахмала. Углеводы широко распространены в природе и играют большую роль в биологических процессах живых организмов и человека.
Углеводы в зависимости от строения можно подразделить на моносахариды, дисахариды и полисахариды: ( см. приложение 1)
1. Моносахариды:
- глюкоза С6Н12О6
- фруктоза С6Н12О6
- рибоза С5Н10О5
Из шестиуглеродных моносахаридов – гексоз – наиболее важное значение имеют глюкоза, фруктоза и галактоза.
Если в одной молекуле объединяются два моносахарида, такое соединение называется дисахаридом.
2. Дисахариды:
- сахароза С12Н22О11
Сложные углеводы, образованные многими моносахаридами, называются полисахаридами.
3. Полисахариды:
- крахмал (С6Н10О5)n
- целлюлоза (С6Н10О5)n
В молекулах моносахоридов может содержаться от 4-х до 10-ти атомов углерода. Названия всех групп моносахаридов, а также названия отдельных представителей оканчиваются на –оза. Поэтому в зависимости о числа атомов углерода в молекуле моносахариды подразделяют на тетрозы, пентозы, гексозы и т.д. наибольшее значение имеют гексозы и пентозы.
Классификация углеводов.
| Пентозы | Гексозы | Дисахариды | Полисахариды |
Глюкоза Рибоза Дезоксирибоза Арабиноза Ксилоза Ликсоза Рибулоза Ксилулоза | Глюкоза Галактоза Манноза Гулоза Идоза Талоза Аллоза Альтроза Фруктоза Сорбоза Такатоза Псикоза Фукоза Рамноза | Сахароза Лактоза Трегалоза Мальтоза Целлобиоза Аллолактоза Гентиобиоза Ксилобиоза Мелибиоза | Гликоген Крахмал Целлюлоза Хитин Амилоза Амилопектин Стахилоза Инулин Декстрин Пектины |
Животные и человек не способны синтезировать сахара и получают их с различными пищевыми продуктами растительного происхождения.
В растениях углеводы образуются из двуокиси углерода и воды в процессе сложной реакции фотосинтеза, осуществляемой за счет солнечной энергии с участием зелёного пигмента растений - хлорофилла.
I.Моносахариды.
Из шестиуглеродных моносахаридов – гексоз – важное значение имеют глюкоза, фруктоза и галактоза.
Глюкоза.
Основные понятия. Строение молекулы.
Для установления структурной формулы молекулы глюкозы необходимо знать её химические свойства. Экспериментально доказали, что один моль глюкозы реагирует с пятью молями уксусной кислоты с образованием сложного эфира. Это означает, что в молекуле глюкозы имеется пять гидроксильных групп. Так как глюкоза в аммиачном растворе оксида серебра (II) дает реакцию «серебрянного зеркала», то в её молекуле должна быть альдегидная группа.
Опытным путем так же одказали, что глюкоза имеет неразветвленную углеродную цепь. На основании этих данных строение молекулы глюкозы можно выразить следующей формулой:

Как видно из формулы, глюкоза является одновременно многоатомным спиртом а альдегидом, т.е альдегидоспиртом.
Дальнейшие исследование показали, что кроме молекул с открытой цепью, для глюкозы характерны молекулы циклического строения. Это объясняется тем, что молекулы глюкозы, вследствие вращения атомов углерода вокруг связей могут принимать изогнутую форму и гидроксильная группа 5 углерода может приблизиться к гидроксильной группе. В последней под действием гидроксильной группы разрывается π-связь. К свободной связи присоединяется атом водорода, и образуется шестичленное кольцо, в котором альдегидная группа отсутствует. Доказано, что в водном растворе существуют обе формы молекул глюкозы – альдегидная и циклическая, между которыми устанавливается химическое равновесие:

В молекулах глюкозы с открытой цепью альдегидная группа может свободно вращаться вокруг σ-связи, которая находится между первым и вторым атомами углерода. В молекулах циклической формы такое вращение не возможно. По этой причине циклическая форма молекулы может иметь различное пространственное строение:
α-форма глюкозы - гидроксильные группы (-ОН) при первом и втором атомах углерода расположены по одну сторону кольца.

б - форма глюкозы - гидроксильные группы находятся по разные стороны кольца молекулы.

Физические свойства.
Глюкоза - бесцветное кристаллическое вещество со сладким вкусом, хорошо растворимое в воде. Из водного раствора кристаллизуется. По сравнению со свекловичным сахаром менее сладкая.
Химические свойства.
Глюкоза обладает химическими свойствами, характерными для спиртов (гидроксильная (-ОН) группа) и альдегидов ( группа альдегида (-СНО). Кроме того, она обладает и некоторыми специфическими свойствами.
1. Свойства, характерные для спиртов:
а) взаимодействие с оксидом меди (II):
C6H12O6 + Cu(OH)2 → C6H10O6Cu + H2O
алкоголят меди (II)
б) взаимодействие с карбоновыми кислотами с образованием сложных эфиров (реакция этерификации).
C6H12O6+5CH3COOH→C6H7O6(CH3CO)5
2. Свойства, характерные для альдегидов
а) взаимодействие с оксидом серебра ( I ) в аммиачном растворе (реакция "серебряного зеркала"):
C6H12O6 + Аg2O → C6H12O7 +2Ag↓
глюкоза глюконовая кислота
б)восстановление (гидрирование) - до шестиатомного спирта (сорбита):
C6H12O6 + H2 → C6H14O6
глюкоза сорбит
3. Специфические реакции - брожение:
а) спиртовое брожение (под действием дрожжей):
С6Н12О6 → 2С2Н5ОН + 2СО2
глюкоза этиловый спирт
б) молочнокислые брожение (под действие молочнокислых бактерий):
С6Н12О6 → С3Н6О3
глюкоза молочная кислота
в) маслянокислое брожение:
С6Н12О6 → С3Н7СООН +2Н2 +2СО2
глюкоза масляная кислота
Получение глюкозы.
Первый синтез простейших углеводов из формальдегида в присутствии гидроксида кальция был произведен А.М.Бутлеровым в 1861 году:
са(он)2
6НСОН → С6Н12О6
формальдегид люкоза
На производстве глюкозу чаще всего получают гидролизом крахмала в присутствии серной кислоты:
Н2SО4
(С6Н10О5)n + nН2О → nC6H12O6
крахмал глюкоза
Применение глюкозы.
Глюкоза является ценным питательным продуктом. В организме она подвергается сложным биохимическим превращениям, в результате которых освобождается энергия, которая накопилась в процессе фотосинтеза. Упрощено процесс окисления глюкозы в организме можно выразить следующим уравнением:
С6Н12О6 + 6О2→6СО2+6H2O+Q
Так как глюкоза легко усваивается организмом, ее используют в медицине в качестве укрепляющего лечебного средства. Широко применяют глюкозу в кондитерском деле (изготовление мармелада, карамели, пряников).
Большое значение имеют процессы брожения глюкозы. Так, например, при квашении капусты, огурцов, молока происходит молочнокислое брожение глюкозы, так же, как при силосований кормов. Если подвергаемая силосованию масса недостаточно уплотнена, то под влиянием проникшего воздуха происходит маслянокислое брожение и корм становится непригоден к применению.
На практике используется также спиртовое брожение глюкозы, например при производстве пива.
Нахождение в природе и организме человека.
В организме человека глюкоза содержится в мышцах, в крови и в небольших количествах во всех клетках. Много глюкозы находится во фруктах, ягодах, нектаре цветов, особенно много в винограде.
В природе глюкоза образуется в растениях в результате фотосинтеза в присутствии зелёного вещества - хлорофилла, содержащего атом магния. В свободном виде глюкоза содержится почти во всех органах зеленых растений. Особенно ее много в соке винограда, поэтому глюкозу иногда называют виноградным сахаром. Мед в основном состоит из смеси глюкозы с фруктозой.
II Дисахариды.
Дисахариды - кристаллические углеводы, молекулы которых построены из соединённых между собой остатков двух молекул моносахаридов.
Простейшими представителями дисахаридов являются обычный свекловичный или тростниковый сахар - сахароза, солодовый сахар - мальтоза, молочный сахар - лактоза и целлобиоза. Все эти дисахариды имеют одну и туже формулу С12Н22О11.
Сахароза.
Основные понятия. Строение молекулы
Опытным путем доказано, что молекулярная формула сахарозы C12H22O11. При исследовании химических свойств сахарозы можно убедиться, что для нее характерна реакция многоатомных спиртов: при взаимодействии с гидроксидом меди (II) образуется ярко-синий раствор. Реакцию «серебряного зеркала» с сахарозой осуществить не удается. Следовательно, в ее молекуле имеются гидроксильные группы, но нет альдегидной.
Но если раствор сахарозы нагреть в присутствии соляной или серной кислоты, то образуются два вещества, одно из которых, подобно альдегидам, реагирует как с аммиачным раствором оксида серебра (I), так и с гидроксидом меди (II). Эта реакция доказывает, что в присутствии минеральных кислот сахароза подвергается гидролизу и в результате образуются глюкоза и фруктоза. Так подтверждается, что молекулы сахарозы состоят из взаимно связанных остатков молекул глюкозы и фруктозы.


Физические свойства.
Чистая сахароза — бесцветное кристаллическое вещество сладкого вкуса, хорошо растворимое в воде.
Химические свойства.
Главным свойством дисахаридов, отличающим их от моносахаридов, является способность к гидролизу в кислой среде (или под действием ферментов в организме):
С12Н22О11+Н2О→ С6Н12О6+ С6Н12О6
сахароза глюкоза фруктоза
Образовавшуюся в процессе гидролиза глюкозу можно обнаружить реакцией «серебряного зеркала» или при взаимодействии ее с гидроксидом меди (II).
Получение сахарозы.
Сахарозу C12H22O11 (сахар) получают в основном из сахарной свеклы и сахарного тростника. При производстве сахарозы не происходят химические превращения, ибо она уже имеется в природных продуктах. Ее лишь выделяют из этих продуктов по возможности в более чистом виде.
Процесс выделения сахарозы из сахарной свеклы:
Очищенную сахарную свеклу в механических свеклорезках превращают в тонкую стружку и помещают ее вспециальные сосуды — диффузоры, через которые пропускают горячую воду. В результате из свеклы вымывается почти вся сахароза, но вместе с ней в раствор переходят различные кислоты, белки и красящие вещества, которые требуется отделить от сахарозы.
Образовавшийся в диффузорах раствор обрабатывают известковым молоком.
С12Н22О11+Ca(OH)2→ С12Н22О11∙2CaO∙H2O
Гидроксид кальция реагирует с содержащимися в растворе кислотами. Так как кальциевые соли большинства органических кислот малорастворимы, то они выпадают в осадок. Сахароза же с гидроксидом кальция образует растворимый сахарат типа алкоголятов - С12Н22О11∙2CaO∙H2O
3. Чтобы разложить образовавшийся сахарат кальция и нейтрализовать избыток гидроксида кальция, через их раствор пропускают оксид углерода (IV). В результате кальций осаждается в виде карбоната:
С12Н22О11∙2CaO∙H2O + 2СО2 → С12Н22О11 + 2CaСO3↓ 2Н2О
4. Полученный после осаждения карбоната кальция раствор фильтруют, затем упаривают в вакуумных аппаратах и кристаллики сахара отделяют центрифугированием.
Однако выделить весь сахар из раствора не удается. Остается бурый раствор (меласса), который содержит еще до 50% сахарозы. Мелассу используют для получения лимонной кислоты и некоторых других продуктов.
5. Выделенный сахарный песок обычно имеет желтоватый цвет, так как содержит красящие вещества. Чтобы их отделить, сахарозу вновь растворяют в воде и полученный раствор пропускают через активированный уголь. Затем раствор снова упаривают и подвергают кристаллизации. ( см. приложение 2)
Применение сахарозы.
Сахароза в основном используется в качестве продукта питания и в кондитерской промышленности. Путем гидролиза из нее получают искусственный мед.
Нахождение в природе и организме человека.
Сахароза входит в состав сока сахарной свеклы (16 — 20%) и сахарного тростника (14 — 26%). В небольших количествах она содержится вместе с глюкозой в плодах и листьях многих зеленых растений.
III Полисахариды.
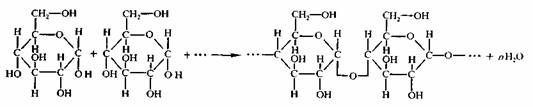
Некоторые углеводы представляют собой природные полимеры, состоящие из многих сотен и даже тысяч моносахаридных звеньев, входящих в состав одной макромолекулы. Поэтому такие вещества получили название полисахариды. Наиболее важными среди полисахаридов являются крахмал и целлюлоза. Оба они образуются в растительных клетках из глюкозы, основного продукта процесса фотосинтеза.
Крахмал
Основные понятия. Строение молекулы.
Экспериментально доказано, что химическая формула крахмала (C6H10O5)n, где п достигает нескольких тысяч. Крахмал является природным полимером, молекулы которого состоят из отдельных звеньев C6H10O5. Так как при гидролизе крахмала образуется только глюкоза, то можно сделать вывод, что эти звенья являются остатками молекул α-глюкозы.

Ученым удалось доказать, что макромолекулы крахмала состоят из остатков молекул циклической глюкозы. Процесс образования крахмала можно представить так:
Кроме того, установлено, что крахмал состоит не только из линейных молекул, но и из молекул разветвленной структуры. Этим объясняется зернистое строение крахмала.
Физические свойства.
Крахмал — белый порошок, нерастворимый в холодной воде. В горячей воде он набухает и образует клейстер. В отличие от моно- и олигосахаридов полисахариды не обладают сладким вкусом.
Химические свойства.
Качественная реакция на крахмал.
Характерной реакцией крахмала является его взаимодействие с йодом. Если к охлажденному крахмальному клейстеру добавить раствор йода, то появляется синее окрашивание. При нагревании клейстера оно исчезает, а при охлаждении появляется вновь. Этим свойством пользуются при определении крахмала в пищевых продуктах. Так, например, если каплю йода поместить на срез картофеля или ломтик белого хлеба, то появляется синее окрашивание.
Реакция гидролиза:
(С6Н6О5)n + nH2O → nC6H12O6
Получение крахмала.
В промышленности крахмал получают в основном из картофеля, риса или кукурузы.
Применение крахмала.
Крахмал является ценным питательным продуктом. Чтобы облегчить его усвоение, содержащие крахмал продукты подвергают действию высокой температуры, т. е. картофель варят, хлеб пекут. В этих условиях происходит частичный гидролиз крахмала и образуются декстрины, растворимые в воде. Декстрины в пищеварительном тракте подвергаются дальнейшему гидролизу до глюкозы, которая усваивается организмом. Избыток глюкозы превращается в гликоген (животный крахмал). Состав гликогена такой же, как у крахмала, но его молекулы более разветвленные. Особенно много гликогена содержится в печени (до 10%). В организме гликоген является резервным веществом, которое превращается в глюкозу по мере ее расходования в клетках.
В промышленности крахмал путем гидролиза превращают в патоку и глюкозу. Для этого его нагревают с разбавленной серной кислотой, избыток которой затем нейтрализуют мелом. Образовавшийся осадок сульфата кальция отфильтровывают, раствор упаривают и выделяют глюкозу. Если гидролиз крахмала не доводить до конца, то образуется смесь декстринов с глюкозой — патока, которую применяют в кондитерской промышленности. Получаемые из крахмала декстрины используются в качестве клея, для загустения красок при нанесении рисунков на ткань.
Крахмал применяется для накрахмаливания белья. Под горячим утюгом происходит частичный гидролиз крахмала и превращение его в декстрины. Последние образуют на ткани плотную пленку, которая придает блеск ткани и предохраняет ее от загрязнения.
Нахождение в природе и организме человека.
Крахмал, являясь одним из продуктов фотосинтеза, широко распространен в природе. Для различных растений он является запасным питательным материалом и содержится главным образом в плодах, семенах и клубнях. Наиболее богато крахмалом зерно злаковых растений: риса (до 86%), пшеницы (до 75%), кукурузы (до 72%), а также клубни картофеля (до 24%). В клубнях крахмальные зерна плавают в клеточном соке, поэтому картофель является основным сырьем для получения крахмала. В злаках частицы крахмала плотно склеены белковым веществом клейковиной.
Для организма человека крахмал наряду с сахарозой служит основным поставщиком углеводов — одного из важнейших компонентов пищи. Под действием ферментов крахмал гидролизуется до глюкозы, которая окисляется в клетках до углекислого газа и воды с выделением энергии, необходимой для функционирования живого организма. Из продуктов питания наибольшее количество крахмала содержится в хлебе, макаронных и других мучных изделиях, крупах, картофеле.
Целлюлоза.
Вторым наиболее распространенным в природе полисахаридом является целлюлоза или клетчатка (см. приложение 4).
Основные понятия. Строение молекулы.

.Формула целлюлозы, как и крахмала - (С6Н10О5)n, элементарным звеном этого природного полимера также служат остатки глюкозы. Степень полимеризации у целлюлозы намного больше, чем у крахмала.
Макромолекулы целлюлозы, в отличие от крахмала, состоят из остатков молекул б-глюкозы и имеют только линейное строение. Макромолекулы целлюлозы располагаются в одном направлении и образуют волокна (лен, хлопок, конопля).
Физические свойства.
Чистая целлюлоза — твердое белое вещество, имеющее волокнистую структуру. Она нерастворима в воде и органических растворителях, но хорошо растворяется в аммиачном растворе гидроксида меди (II). Как известно, сладкого вкуса целлюлоза не имеет.
Химические свойства.
Горение. Целлюлоза легко горит с образованием углекислого газа и воды.
(С6Н10О5)n + 6nО2 → nСО2 + nН2О + Q
Гидролиз. В отличие от крахмала клетчатка гидролизуется с трудом. Только очень длительное кипячение в водных растворах сильных кислот приводит к заметному расщеплению макромолекулы до глюкозы:
(С6Н10О5)n + nH2O → nC6H12O6
Образования сложных эфиров. Каждое элементарное звено молекулы целлюлозы имеет три гидроксильные группы, которые могут участвовать в образовании сложных эфиров как с органическими, и с неорганическими кислотами.
Нитраты целлюлозы. При обработке целлюлозы смесью концентрированных азотной и серной кислот (нитрующая смесь) образуются нитраты целлюлозы. В зависимости от условий проведении реакции и соотношения реагирующих веществ можно получить продукт по двум (динитрат) или трем (тринитрат) гидроксильным группам
Получение целлюлозы.
Образцом почти чистой целлюлозы является вата, полученная из очищенного хлопка. Основную массу целлюлозы выделяют из древесины, в которой она содержится вместе с другими веществами. Наиболее распространенным методом получения целлюлозы в нашей стране является так называемый сульфитным. По этому методу, измельченную древесину в присутствии раствора гидросульфита кальция или гидросульфита натрия нагревают в автоклавах при давлении 0,5-0,6 МПа и температуре 150 °С. При этом все другие вещества разрушаются, а целлюлоза выделяется в сравнительно чистом виде. Ее промывают водой, сушат и направляют на дальнейшую переработку, большей частью на производство бумаги.
Применение целлюлозы.
Целлюлоза используется человеком с очень древних времен. Ее применение весьма разнообразно. Из целлюлозы изготавливают многочисленные искусственные волокна, полимерные пленки, пластмассы, бездымный порох, лаки. Большое количество целлюлозы идет на производство бумаги. Большое значение имеют продукты этерификации целлюлозы. Так, например, из ацетилцеллюлозы получают ацетатный шелк. Для этого триацетилцеллюлозу растворяют в смеси дихлорметана и этанола. Образовавшийся вязкий раствор продавливают через фильеры — металлические колпачки с многочисленными отверстиями. Тонкие струи раствора опускаются в шахту, через которую противотоком проходит нагретый воздух. В результате растворитель испаряется и триацетилцеллюлоза выделяется в виде длинных нитей, из которых прядением изготовляют ацетатный шелк .Ацетилцеллюлоза идет также на производство негорючей пленки и органического стекла, пропускающего ультрафиолетовые лучи.
Тринитроцеллюлоза (пироксилин) используется как взрывчатое вещество и для производства бездымного пороха. Для этого тринитроцеллюлозу растворяют в этил-ацетате или в ацетоне. После испарения растворителей компактную массу размельчают и получают бездымный порох. Исторически это был первый полимер, из которого была изготовлена промышленная пластмасса — целлулоид. Ранее пироксилин использовался для изготовления кино- и фотопленки и лаков. Его главный недостаток — легкая горючесть с образованием токсичных оксидов азота.
Динитроцеллюлоза (коллоксилин) применяется также для получения коллодия. В этих целях ее растворяют в смеси спирта и эфира. После испарения растворителей образуется плотная пленка — коллодий, применяемый в медицине. Динитроцеллюлоза идет также на производство пластмассы целлулоида. Его получают путем сплавления ди-нитроцеллюлозы с камфорой.
Нахождение в природе и организме человека.
Целлюлоза является основной частью стенок растений. Относительно чистой целлюлозой являются волокна хлопчатника, джута и конопли. Древесина содержит от 40 до 50% целлюлозы, солома — 30%. Целлюлоза растений служит питательным веществом для травоядных животных, в организме которых имеются расщепляющие клетчатку ферменты. Целлюлоза, так же как и крахмал, образуется в растениях при реакции фотосинтеза. Она является основной составной частью оболочки растительных клеток; отсюда происходит ее название —- целлюлоза («целлула» — клетка). Волокна хлопка — это почти чистая целлюлоза (до 98%). Волокна льна и конопли тоже состоят главным образом из целлюлозы. В древесине ее содержится примерно 50%.
Заключение:
Биологическое значение углеводов очень велико:
Углеводы выполняют пластическую функцию, то есть участвуют в построении костей, клеток, ферментов. Они составляют 2-3 % от веса.
Углеводы выполняют две основные функции: строительную и энергетическую. Целлюлоза образует стенки растительных клеток. Сложный полисахарид хитин служит главным структурным компонентом наружного скелета членистоногих. Строительную функцию хитин выполняет и у грибов.
Углеводы являются основным энергетическим материалом (см. ). При окислении 1 грамма углеводов выделяются 4,1 ккал энергии и 0,4 воды. Крахмал у растений и гликоген у животных откладываются в клетках и служат энергетическим резервом.
В крови содержится (0,1-0,12%) глюкозы. От концентрации глюкозы зависит осмотическое давление крови.
Пентоза (рибоза и дезоксирибоза) участвуют в постоении АТФ.
В суточном рационе человека и животных преобладают углеводы. Животные получают крахмал, клетчатку, сахарозу. Хищники получают гликоген с мясом.
Ежедневная потребность человека в сахарах составляет около 500 граммов, но она пополняется в основном за счет крахмала, содержащегося в хлебе, картофеле, макаронных изделиях. При рациональном питании суточная доза сахарозы не должна превышать 75 граммов (12 – 14 стандартных кусочков сахара, включая тот, что расходуется на приготовление пищи).
Кроме того, углеводы играют значительную роль в современной промышленности – технологии и продукты, в которых используются углеводы, не загрязняют окружающей среды, не приносят ей ущерба.
Приложения.
Приложение 1:
Приложение 2:
История открытия и производства сахара из свёклы.
Родиной сахарного тростника считается Индия (слово «сахар» тоже «родом» из Индии: «сакхара» на языке одного из древних народов полуострова означало сначала просто «песок», а затем – «сахарный песок»). Из Индии это растение было вывезено в Египет и Персию; оттуда через Венецию сахар поступал в европейские страны. Долгое время он стоил очень дорого и считался роскошью.
Культивировалась свекла с давних времен. В древних Ассирии и Вавилоне свекла выращивалась уже за 1,5 тыс. лет до н.э. Окультуренные формы свеклы известны на Ближнем Востоке с VIII-VI вв. до н.э. А в Египте свекла служила главной пищей рабов. Так, из диких форм свеклы, благодаря соответствующей селекции, постепенно были созданы сорта кормовой, столовой и белой свеклы. Из белых сортов столовой свеклы были выведены первые сорта сахарной свеклы.
Появление нового альтернативного тростнику, сахароноса историки науки связывают с эпохальным открытием немецкого ученого-химика, члена Прусской академии наук А. С. Маргграфа (1705-1782). В докладе на заседании Берлинской академии наук в 1747 г. он изложил результаты опытов по получению кристаллического сахара из свеклы.
Полученный сахар, как утверждал Маргграф, по своим вкусовым качествам не уступал тростниковому. Однако Маргграф не видел широких перспектив практического применения своего открытия.
Дальше в исследовании и изучении данного открытия пошел ученик Маргграфа - Ф. К. Ахард (1753-1821). Он с 1784 года активно взялся за усовершенствование, дальнейшую разработку и внедрение в практику открытия своего учителя.
Ахард прекрасно понимал, что одним из важнейших условий успеха нового, весьма перспективного дела, является улучшение сырья-свеклы, т.е. повышение ее сахаристости. Уже в 1799 году труды Ахарда увенчались успехом. Появилась новая ветвь культурной свеклы – сахарная. В 1801 году в своем имении в Кюцерне (Силезия) Ахард построил один из первых сахарных заводов в Европе, на котором освоил получение сахара из свеклы.
Комиссия, направленная Парижской академией наук, провела обследование ахардовского завода и пришла к выводу, что выработка сахара из свеклы нерентабельна.
Лишь единственные на то время английские промышленники, которые являлись монополистами по производству и продаже тростникового сахара, усмотрели в сахарной свекле серьезного конкурента и несколько раз предлагали Ахарду крупные суммы при условии, что он откажется от проведения своих работ и публично заявит бесперспективности производства сахара из свеклы.
Но Ахард, свято веривший в перспективность нового сахароноса, на компромисс не шел.С 1806 года Франция отказывается от производства сахара из тростника и переходит на свеклосахарное, которое со временем получало все большее распространение. Наполеон оказывал большую поддержку тем, кто проявлял желание выращивать свеклу и производить из нее сахар, т.к. увидел в развитии новой отрасли возможность одновременного развития сельского хозяйства и промышленности
Старинный русский способ получения сахара из растений, содержащих сахарозу.
Этот простой метод получения сахара, рассчитан специально для домашних условий. Способ содержит элементы старинных русских рецептов получения сахара, в том числе использованы методики, предложенные еще в 1850-1854 г. инженером Толпыгиным. Сырьем для получения сахара служат растения - сахароносы, содержащие сахарозу. Для получения сахара следует использовать ягоды, фрукты, овощи с наибольшим содержанием сахара, т.е. наиболее сладкие.
Последовательность получения сахара следующая:
Измельчение продукта;
Получение сока;
Отделение от примесей;
Сгущение сока до сиропа;
Извлечение кристаллического сахара.
Первый этап: Итак, превращение сахаросодержащего продукта в сахар основано на добывании сока из него.
Если вы используете нежные плоды (земляника, клубника и др. ягоды), то достаточно их размять. Если это, например, абрикосы, персики, то их следует разломить, вынуть косточки. Если применяется арбуз или дыня, то содержимое плода извлекается из оболочки и освобождается от семечек. Также рекомендуется свежесорванные ягоды, плоды выдержать предварительно 2-3 часа для повышения выхода сока. Если это сахарная свекла, яблоки или морковь и др., продукт измельчается в стружку. Чем тоньше и длиннее стружка, тем больше факторов, благоприятствующих ее обессахариванию. Хорошая стружка рекомендуется с шириной полоски 2-3 мм, а толщина 1-1,5 мм.
Второй этап: Измельченный продукт заливается водой до полного его покрытия и проваривается при температуре 70-72 °С. Если температура будет ниже 70°С, то не убиваются возможные микробы, если выше 72°С, то начинается размягчение стружки.
Время варки 45-60 минут при помешивании деревянной лопаткой. Сахар из стружки переходит в воду, которая становится соком. Стружка после извлечения из нее сахара называется жом. Из жома отжимается сок и жом убирается.
Третий этап: Полученный сок имеет темный цвет и высокое содержание примесей. Темная окраска, если от нее не избавиться, передается потом кристаллам сахара. Если на этой стадии выпарить из сока воду, вы получите сахар, но он будет иметь привкус исходного продукта, его цвет и запах. Сок имеет кислую реакцию, поэтому необходима его нейтрализация. Если этого не сделать, сок будет сильно пениться при выпаривании и тем затруднять этот процесс. Наиболее дешевый способ счистки сока - его обработки обожженой гашенной известью СА (ОН)2. В сок, подогретый до 80-90 °С, добавляем известь (в крайнем случае можно использовать строительную известку). На 10 л сока требуется примерно 0,5 кг извести. Известь следует добавлять постепенно, постоянно помешивая сок. Дать раствору выдержку 10 минут. Затем для того, чтобы осадить известь нужно пропустить через сок углекислый газ СО2. Можно использовать углекислый газ из баллончиков к бытовым сифонам (для получения газированной воды), промышленные баллоны с газом для сатураторов или из огнетушителей серии ОУ и ОВП. Газ из баллончика по трубке подается в нижнюю часть сосуда с горячим соком. На конце трубки следует установить распылитель (рассеиватель) с множеством мелких отверстий для более эффективного использования газа. Еще лучшего результата можно добиться одновременно помешивая раствор. Хорошее распыление газа гарантирует высокий коэффициент его использования и сокращает время процесса (около 10 минут). Раствору надо отстояться, затем профильтровать. Более эффективными являются фильтры с использованием активизированного древесного или костяного угля. Но в крайнем случае можно использовать тканевый фильтр.
Для окончательного осветления сока и удаления запаха сырья предлагаю русский проверенный способ. Через сок следует пропустить сернистый газ SO2. Обработку сернистым газом важно провести именно перед выпариванием, т. к. действие газа сказывается и при выпарке, что способствует меньшему потемнению сиропа. Необходимо иметь серу. Сера при нагревании плавится и в смеси с воздухом образуется сернистый газ. Старыми мастерами применялись два герметичных сосуда, соединенных между собой трубкой. В одном - вода, в другой закладывалась сера. Из сосуда с серой выходила 2-я трубка к рассеивателю на дно емкости с соком. При нагревании обоих сосудов водяной пар, проходя по трубке, вытеснял сернистый газ из 2-го сосуда и поступал к рассеивателю. Рассеиватель можно взять тот же.
Эту схему можно несколько упростить: взять только один сосуд с серой, к входной трубке его подсоединить компрессор для аквариума или другой насос и продувать воздухом газ, скапливающийся в сосуде с серой. Продувку газом надо проводить до полного осветления сока. Для ускорения процесса лучше одновременно подмешивать сок. Сернистый газ бесследно улетучивается из раствора в открытом сосуде, но работать следует в хорошо проветриваемом помещении.
Сернистый газ SO2 является лучшим антисептиком. Он сильно коррозирует металлическую посуду, поэтому следует использовать эмалированную. Очень большим достоинством этого газа, в значительной мере перекрывающим его недостатки, является возможность полостью удалить его из продукта. При нагревании продукта, обработанного сернистым газом, последний улетучивается, не оставляя ни запаха, ни привкуса. Газ широко используется на консервных заводах для консервирования различных продуктов.
Серу можно купить в хозяйственном магазине или в магазине для садоводов, она там продается как "Сера садовая" - содержит 99,9 % серы. Если найти серу Вам не удалось, не расстраивайтесь. Ваш сахар будет не такой белый, сохранит оттенок исходного продукта, но по вкусовым качествам будет не хуже белого.
Четвертый этап: Следующий этап - сгущение очищенного и обесцвеченного сока в сироп. Необходимо удалить из сока большое количество воды. Лучше всего это сделать выпариванием сока на русской печи, на малом огне плиты, ни в коем случае не доводя сироп до кипения (во избежание его потемнения).
В процессе выпаривания сироп все более сгущается. Если в пересыщенный раствор, не имеющий кристаллов сахара, ввести затравку в виде нескольких граммов сахарной пудры, то она вызовет образование новых кристаллов. Определение момента заводки в раствор пудры является очень ответственным и заключается с следующем простейшем способе: капля сиропа, зажатая между пальцами, при их раздвигании образует тонкую нить (волос), тогда наступает момент затравки. На 10 литров сиропа количество затравки составит половину чайной ложки пудры. Если завести мало пудры, то кристаллы образующегося сахара будут крупными, если много - мелкими. Достаточное количество кристаллов образуется примерно через 10-15 минут после внесения затравки. Дальнейшую кристаллизацию следует проводить при непрерывном охлаждении и перемешивании продукта,
Полученный продукт называется «утфель», в нем содержится до 7-10% воды и 50-60% выкристаллизовавшегося сахара и межкристаллическая жидкость (патока).
Пятый этап: Следующая операция отделение кристаллов от патоки. После окончания кристаллизации всю массу нужно выгрузить в ткань с ячейкой 0,3 мм, подвесить ее за углы в один узел над емкостью для слива патоки. При этом постараться отжать массу. Для увеличения процента выхода сахара патоку лучше использовать повторно в качестве добавки к сиропу.
Сахар после слива патоки получается желтоватого цвета. Далее можно использовать метод пробелки, отлично зарекомендовавший себя в 1854 г. и предложенный инженером Толпыгиным. Этот метод, внедренный в России, быстро распространился в мировой сахарной промышленности и именовался «русским». Сейчас метод незаслуженно забыт. Он заключается в пробелке утфеля паром и позволяет получить белый сахар высокого качества. Ткань с сахаром надо плотно подвязать на таз с малым количеством кипящей воды. Пар, поднимаясь, будет проходить через сахар, очищая его от белой патоки. Полученный белый сахар даже на ощупь влажный при хранении будет комковаться и превратит